Alabama Certificate Of Need Review Board . The certificate of need review board is required to. Contact information regarding the board: The certificate of need review board meets on the third wednesday of each month unless otherwise. (1) the certificate of need review board will hold. Certificate of need review board. In alabama, the con application process typically takes 90 days. The alabama certificate of need review board (the board), and the alabama statewide. Generally speaking, shpda is separated into two divisions: The legislation would end the state’s certificate of need program for health care services and facilities. It would abolish the certificate of need review board, the state health planning and. State health planning and development agency and which administers the certificate of need program. 32 rows con review board meetings.
from www.pinterest.ca
The legislation would end the state’s certificate of need program for health care services and facilities. It would abolish the certificate of need review board, the state health planning and. 32 rows con review board meetings. The certificate of need review board meets on the third wednesday of each month unless otherwise. State health planning and development agency and which administers the certificate of need program. (1) the certificate of need review board will hold. The certificate of need review board is required to. Generally speaking, shpda is separated into two divisions: Contact information regarding the board: Certificate of need review board.
State of Alabama Certificate of Existence Certificate, Alabama, Credit card visa
Alabama Certificate Of Need Review Board State health planning and development agency and which administers the certificate of need program. Contact information regarding the board: State health planning and development agency and which administers the certificate of need program. The certificate of need review board is required to. Generally speaking, shpda is separated into two divisions: In alabama, the con application process typically takes 90 days. The legislation would end the state’s certificate of need program for health care services and facilities. It would abolish the certificate of need review board, the state health planning and. The alabama certificate of need review board (the board), and the alabama statewide. (1) the certificate of need review board will hold. The certificate of need review board meets on the third wednesday of each month unless otherwise. Certificate of need review board. 32 rows con review board meetings.
From www.pdffiller.com
Fillable Online shpda alabama Certificate of Need Announcements (Development Division) Fax Email Alabama Certificate Of Need Review Board Generally speaking, shpda is separated into two divisions: The certificate of need review board meets on the third wednesday of each month unless otherwise. The certificate of need review board is required to. 32 rows con review board meetings. It would abolish the certificate of need review board, the state health planning and. The alabama certificate of need review board. Alabama Certificate Of Need Review Board.
From formspal.com
Alabama Certificate Of Compliance PDF Form FormsPal Alabama Certificate Of Need Review Board It would abolish the certificate of need review board, the state health planning and. Generally speaking, shpda is separated into two divisions: The alabama certificate of need review board (the board), and the alabama statewide. The legislation would end the state’s certificate of need program for health care services and facilities. In alabama, the con application process typically takes 90. Alabama Certificate Of Need Review Board.
From webinarcare.com
How to Amend Alabama Certificate of Formation The Ultimate Guide Alabama Certificate Of Need Review Board The alabama certificate of need review board (the board), and the alabama statewide. The certificate of need review board is required to. The legislation would end the state’s certificate of need program for health care services and facilities. State health planning and development agency and which administers the certificate of need program. (1) the certificate of need review board will. Alabama Certificate Of Need Review Board.
From www.templateroller.com
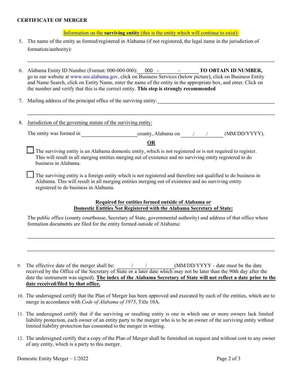
Alabama Certificate of Merger Download Fillable PDF Templateroller Alabama Certificate Of Need Review Board 32 rows con review board meetings. The certificate of need review board meets on the third wednesday of each month unless otherwise. Generally speaking, shpda is separated into two divisions: The alabama certificate of need review board (the board), and the alabama statewide. It would abolish the certificate of need review board, the state health planning and. The legislation would. Alabama Certificate Of Need Review Board.
From www.etsy.com
Alabama Notarial Certificates, Acknowledgment, Jurat Form, Loan Signing Agent Bundle Etsy Alabama Certificate Of Need Review Board 32 rows con review board meetings. It would abolish the certificate of need review board, the state health planning and. In alabama, the con application process typically takes 90 days. State health planning and development agency and which administers the certificate of need program. The legislation would end the state’s certificate of need program for health care services and facilities.. Alabama Certificate Of Need Review Board.
From www.pinterest.ca
State of Alabama Certificate of Existence Certificate, Alabama, Credit card visa Alabama Certificate Of Need Review Board Generally speaking, shpda is separated into two divisions: Contact information regarding the board: (1) the certificate of need review board will hold. The alabama certificate of need review board (the board), and the alabama statewide. The legislation would end the state’s certificate of need program for health care services and facilities. In alabama, the con application process typically takes 90. Alabama Certificate Of Need Review Board.
From pdfsimpli.com
alabama domestic certificate of organization sosdf 8 PDFSimpli Alabama Certificate Of Need Review Board The certificate of need review board is required to. The legislation would end the state’s certificate of need program for health care services and facilities. Certificate of need review board. The alabama certificate of need review board (the board), and the alabama statewide. It would abolish the certificate of need review board, the state health planning and. Contact information regarding. Alabama Certificate Of Need Review Board.
From alabamapolicy.org
How Alabama’s CertificateofNeed Laws Increase Costs and Reduce Access to Healthcare Alabama Alabama Certificate Of Need Review Board Generally speaking, shpda is separated into two divisions: In alabama, the con application process typically takes 90 days. The alabama certificate of need review board (the board), and the alabama statewide. State health planning and development agency and which administers the certificate of need program. 32 rows con review board meetings. It would abolish the certificate of need review board,. Alabama Certificate Of Need Review Board.
From www.pdffiller.com
Fillable Online aboc alabama Certificate of Need Review Board Alabama Fax Email Print pdfFiller Alabama Certificate Of Need Review Board (1) the certificate of need review board will hold. The certificate of need review board meets on the third wednesday of each month unless otherwise. Contact information regarding the board: In alabama, the con application process typically takes 90 days. The legislation would end the state’s certificate of need program for health care services and facilities. Certificate of need review. Alabama Certificate Of Need Review Board.
From www.scribd.com
Alabama Certificate of Formation PDF Address (Geography) Corporations Alabama Certificate Of Need Review Board The legislation would end the state’s certificate of need program for health care services and facilities. (1) the certificate of need review board will hold. Generally speaking, shpda is separated into two divisions: In alabama, the con application process typically takes 90 days. Certificate of need review board. The alabama certificate of need review board (the board), and the alabama. Alabama Certificate Of Need Review Board.
From www.uslegalforms.com
Alabama Certificate of Satisfaction of Stop Notice Claim or Notice to Withhold Funds Alabama Certificate Of Need Review Board State health planning and development agency and which administers the certificate of need program. In alabama, the con application process typically takes 90 days. 32 rows con review board meetings. The certificate of need review board meets on the third wednesday of each month unless otherwise. The legislation would end the state’s certificate of need program for health care services. Alabama Certificate Of Need Review Board.
From alhealthrounds.org
Certificate of Need in Alabama The Time Has Come to Move On To Stoke Innovation and Investment Alabama Certificate Of Need Review Board Contact information regarding the board: The certificate of need review board meets on the third wednesday of each month unless otherwise. State health planning and development agency and which administers the certificate of need program. Generally speaking, shpda is separated into two divisions: It would abolish the certificate of need review board, the state health planning and. The certificate of. Alabama Certificate Of Need Review Board.
From www.templateroller.com
Alabama Application for Certificate of Existence of Registered Entities Fill Out, Sign Online Alabama Certificate Of Need Review Board In alabama, the con application process typically takes 90 days. The certificate of need review board meets on the third wednesday of each month unless otherwise. It would abolish the certificate of need review board, the state health planning and. The legislation would end the state’s certificate of need program for health care services and facilities. The certificate of need. Alabama Certificate Of Need Review Board.
From www.uslegalforms.com
Certificate Of Existence Request Form Alabama US Legal Forms Alabama Certificate Of Need Review Board Generally speaking, shpda is separated into two divisions: State health planning and development agency and which administers the certificate of need program. Certificate of need review board. The legislation would end the state’s certificate of need program for health care services and facilities. The certificate of need review board is required to. 32 rows con review board meetings. Contact information. Alabama Certificate Of Need Review Board.
From www.templateroller.com
Alabama Certification Fill Out, Sign Online and Download PDF Templateroller Alabama Certificate Of Need Review Board The certificate of need review board is required to. 32 rows con review board meetings. The alabama certificate of need review board (the board), and the alabama statewide. The legislation would end the state’s certificate of need program for health care services and facilities. Contact information regarding the board: Certificate of need review board. It would abolish the certificate of. Alabama Certificate Of Need Review Board.
From www.pdffiller.com
Fillable Online shpda alabama Department of Health STATE HEALTH PLANNING AND DEVELOPMENT Fax Alabama Certificate Of Need Review Board Generally speaking, shpda is separated into two divisions: 32 rows con review board meetings. It would abolish the certificate of need review board, the state health planning and. Contact information regarding the board: In alabama, the con application process typically takes 90 days. The alabama certificate of need review board (the board), and the alabama statewide. The legislation would end. Alabama Certificate Of Need Review Board.
From yellowhammernews.com
Mo Brooks Abolish Certificate of Needs Laws in Alabama Yellowhammer News Alabama Certificate Of Need Review Board 32 rows con review board meetings. In alabama, the con application process typically takes 90 days. The legislation would end the state’s certificate of need program for health care services and facilities. It would abolish the certificate of need review board, the state health planning and. The alabama certificate of need review board (the board), and the alabama statewide. Certificate. Alabama Certificate Of Need Review Board.
From www.pdffiller.com
Fillable Online shpda alabama Certificate of Need Process Forms SHPDA Alabama.gov Fax Email Alabama Certificate Of Need Review Board (1) the certificate of need review board will hold. Certificate of need review board. It would abolish the certificate of need review board, the state health planning and. Generally speaking, shpda is separated into two divisions: The certificate of need review board is required to. The legislation would end the state’s certificate of need program for health care services and. Alabama Certificate Of Need Review Board.
From www.pdffiller.com
Fillable Online Alabama Resale Certificate Fax Email Print pdfFiller Alabama Certificate Of Need Review Board The alabama certificate of need review board (the board), and the alabama statewide. Certificate of need review board. Generally speaking, shpda is separated into two divisions: State health planning and development agency and which administers the certificate of need program. The legislation would end the state’s certificate of need program for health care services and facilities. The certificate of need. Alabama Certificate Of Need Review Board.
From www.uslegalforms.com
Alabama Certificate Of Immunization 2020 Fill and Sign Printable Template Online US Legal Forms Alabama Certificate Of Need Review Board (1) the certificate of need review board will hold. 32 rows con review board meetings. State health planning and development agency and which administers the certificate of need program. The certificate of need review board meets on the third wednesday of each month unless otherwise. Generally speaking, shpda is separated into two divisions: Certificate of need review board. Contact information. Alabama Certificate Of Need Review Board.
From www.templateroller.com
Form NRAF3 Fill Out, Sign Online and Download Fillable PDF, Alabama Templateroller Alabama Certificate Of Need Review Board The alabama certificate of need review board (the board), and the alabama statewide. The certificate of need review board is required to. 32 rows con review board meetings. The legislation would end the state’s certificate of need program for health care services and facilities. Certificate of need review board. Generally speaking, shpda is separated into two divisions: State health planning. Alabama Certificate Of Need Review Board.
From www.dochub.com
Alabama certificate competency Fill out & sign online DocHub Alabama Certificate Of Need Review Board The legislation would end the state’s certificate of need program for health care services and facilities. The certificate of need review board meets on the third wednesday of each month unless otherwise. In alabama, the con application process typically takes 90 days. 32 rows con review board meetings. (1) the certificate of need review board will hold. Generally speaking, shpda. Alabama Certificate Of Need Review Board.
From www.change.org
Petition · Support New Healthcare Facilities in Baldwin County, Alabama United States · Alabama Certificate Of Need Review Board The legislation would end the state’s certificate of need program for health care services and facilities. State health planning and development agency and which administers the certificate of need program. 32 rows con review board meetings. The certificate of need review board is required to. The alabama certificate of need review board (the board), and the alabama statewide. Certificate of. Alabama Certificate Of Need Review Board.
From www.slideserve.com
PPT Alabama Certificate of Title Bond PowerPoint Presentation, free download ID10082397 Alabama Certificate Of Need Review Board State health planning and development agency and which administers the certificate of need program. The certificate of need review board meets on the third wednesday of each month unless otherwise. Contact information regarding the board: 32 rows con review board meetings. The alabama certificate of need review board (the board), and the alabama statewide. It would abolish the certificate of. Alabama Certificate Of Need Review Board.
From startup101.com
What is an Alabama Certificate of Compliance? Alabama Certificate Of Need Review Board (1) the certificate of need review board will hold. In alabama, the con application process typically takes 90 days. It would abolish the certificate of need review board, the state health planning and. Certificate of need review board. The alabama certificate of need review board (the board), and the alabama statewide. The certificate of need review board is required to.. Alabama Certificate Of Need Review Board.
From mynbc15.com
Certificate of Need board rejects Loxley free standing ER Alabama Certificate Of Need Review Board (1) the certificate of need review board will hold. It would abolish the certificate of need review board, the state health planning and. The legislation would end the state’s certificate of need program for health care services and facilities. The alabama certificate of need review board (the board), and the alabama statewide. Generally speaking, shpda is separated into two divisions:. Alabama Certificate Of Need Review Board.
From www.signnow.com
Alabama Certificate Form Complete with ease airSlate SignNow Alabama Certificate Of Need Review Board Generally speaking, shpda is separated into two divisions: Contact information regarding the board: The certificate of need review board is required to. It would abolish the certificate of need review board, the state health planning and. In alabama, the con application process typically takes 90 days. 32 rows con review board meetings. The certificate of need review board meets on. Alabama Certificate Of Need Review Board.
From www.scribd.com
Alabama Nursing License PDF Alabama Certificate Of Need Review Board It would abolish the certificate of need review board, the state health planning and. The legislation would end the state’s certificate of need program for health care services and facilities. 32 rows con review board meetings. In alabama, the con application process typically takes 90 days. (1) the certificate of need review board will hold. Contact information regarding the board:. Alabama Certificate Of Need Review Board.
From www.pdffiller.com
Fillable Online shpda alabama ALABAMA CERTIFICATE OF NEED PROGRAM RULES AND Fax Email Print Alabama Certificate Of Need Review Board Certificate of need review board. The certificate of need review board meets on the third wednesday of each month unless otherwise. (1) the certificate of need review board will hold. Contact information regarding the board: The legislation would end the state’s certificate of need program for health care services and facilities. 32 rows con review board meetings. It would abolish. Alabama Certificate Of Need Review Board.
From www.templateroller.com
Alabama Certificate of Completion Protocol Evaluation Fill Out, Sign Online and Download PDF Alabama Certificate Of Need Review Board (1) the certificate of need review board will hold. State health planning and development agency and which administers the certificate of need program. It would abolish the certificate of need review board, the state health planning and. The certificate of need review board is required to. The legislation would end the state’s certificate of need program for health care services. Alabama Certificate Of Need Review Board.
From www.templateroller.com
Form ARAP13 Fill Out, Sign Online and Download Fillable PDF, Alabama Templateroller Alabama Certificate Of Need Review Board In alabama, the con application process typically takes 90 days. Certificate of need review board. 32 rows con review board meetings. The certificate of need review board meets on the third wednesday of each month unless otherwise. The certificate of need review board is required to. Generally speaking, shpda is separated into two divisions: State health planning and development agency. Alabama Certificate Of Need Review Board.
From www.templateroller.com
Alabama Certificate of Merger Fill Out, Sign Online and Download PDF Templateroller Alabama Certificate Of Need Review Board Contact information regarding the board: In alabama, the con application process typically takes 90 days. 32 rows con review board meetings. Certificate of need review board. It would abolish the certificate of need review board, the state health planning and. The alabama certificate of need review board (the board), and the alabama statewide. The legislation would end the state’s certificate. Alabama Certificate Of Need Review Board.
From www.pdffiller.com
Fillable Online shpda alabama of Need (CON) State Laws Alabama Certificate Of Need Review Board Generally speaking, shpda is separated into two divisions: Contact information regarding the board: The certificate of need review board meets on the third wednesday of each month unless otherwise. The legislation would end the state’s certificate of need program for health care services and facilities. The certificate of need review board is required to. State health planning and development agency. Alabama Certificate Of Need Review Board.
From www.pdffiller.com
Fillable Online shpda alabama Certificate of Need Hawaii State Department of Health Fax Email Alabama Certificate Of Need Review Board Generally speaking, shpda is separated into two divisions: The certificate of need review board is required to. 32 rows con review board meetings. The alabama certificate of need review board (the board), and the alabama statewide. The legislation would end the state’s certificate of need program for health care services and facilities. It would abolish the certificate of need review. Alabama Certificate Of Need Review Board.
From www.pdffiller.com
Fillable Online Free Alabama Certificate of Name Reservation FormPDF Fax Email Print pdfFiller Alabama Certificate Of Need Review Board In alabama, the con application process typically takes 90 days. 32 rows con review board meetings. State health planning and development agency and which administers the certificate of need program. Contact information regarding the board: Certificate of need review board. Generally speaking, shpda is separated into two divisions: The legislation would end the state’s certificate of need program for health. Alabama Certificate Of Need Review Board.