Two Dice Are Rolled What Is The Probability Of Getting Doubles . In probability, an event is a certain subset of the sample space. How often an event occurs. The dice probability calculator is a great tool if you want to estimate the dice roll probability over numerous variants. Let a, b, c be the events of getting a sum of 2, a sum of 3 and a sum of 4 respectively. If we roll two dice at the same time, the probability that both dice land on the same number (i.e. We roll “doubles”) is 6/36 or 1/6. To correctly determine the probability of a dice roll, we need to know two things: The size of the sample space or the set of total possible outcomes. Supposing we roll two dice that have $q$ sides, $n$ times and ask about each double appearing at least once. The number of different outcomes on two dice is the number of different outcomes on the first die (6) times the number of different outcomes on. To calculate the probability of any outcome in a 2 dice roll, follow these few simple steps: To understand why this is the case, we must. Count all the possible outcomes, assuming you can identify the dice.
from www.storyofmathematics.com
The size of the sample space or the set of total possible outcomes. In probability, an event is a certain subset of the sample space. If we roll two dice at the same time, the probability that both dice land on the same number (i.e. Supposing we roll two dice that have $q$ sides, $n$ times and ask about each double appearing at least once. Let a, b, c be the events of getting a sum of 2, a sum of 3 and a sum of 4 respectively. Count all the possible outcomes, assuming you can identify the dice. To correctly determine the probability of a dice roll, we need to know two things: To understand why this is the case, we must. How often an event occurs. To calculate the probability of any outcome in a 2 dice roll, follow these few simple steps:
Dice probability Explanation & Examples
Two Dice Are Rolled What Is The Probability Of Getting Doubles To correctly determine the probability of a dice roll, we need to know two things: To calculate the probability of any outcome in a 2 dice roll, follow these few simple steps: The dice probability calculator is a great tool if you want to estimate the dice roll probability over numerous variants. How often an event occurs. In probability, an event is a certain subset of the sample space. Count all the possible outcomes, assuming you can identify the dice. The size of the sample space or the set of total possible outcomes. If we roll two dice at the same time, the probability that both dice land on the same number (i.e. The number of different outcomes on two dice is the number of different outcomes on the first die (6) times the number of different outcomes on. To understand why this is the case, we must. To correctly determine the probability of a dice roll, we need to know two things: Let a, b, c be the events of getting a sum of 2, a sum of 3 and a sum of 4 respectively. Supposing we roll two dice that have $q$ sides, $n$ times and ask about each double appearing at least once. We roll “doubles”) is 6/36 or 1/6.
From www.youtube.com
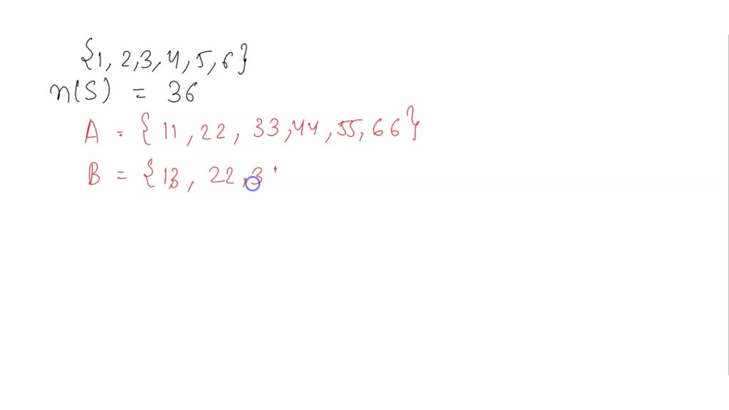
Statistics Probability and Probability Distributions 7 On Rolling Two Dice Are Rolled What Is The Probability Of Getting Doubles To understand why this is the case, we must. To correctly determine the probability of a dice roll, we need to know two things: To calculate the probability of any outcome in a 2 dice roll, follow these few simple steps: Supposing we roll two dice that have $q$ sides, $n$ times and ask about each double appearing at least. Two Dice Are Rolled What Is The Probability Of Getting Doubles.
From www.slideserve.com
PPT Theoretical Probability PowerPoint Presentation, free download Two Dice Are Rolled What Is The Probability Of Getting Doubles Let a, b, c be the events of getting a sum of 2, a sum of 3 and a sum of 4 respectively. Count all the possible outcomes, assuming you can identify the dice. The dice probability calculator is a great tool if you want to estimate the dice roll probability over numerous variants. The size of the sample space. Two Dice Are Rolled What Is The Probability Of Getting Doubles.
From www.teachoo.com
[MCQ] Two dice are rolled simultaneously. What is the probability Two Dice Are Rolled What Is The Probability Of Getting Doubles Let a, b, c be the events of getting a sum of 2, a sum of 3 and a sum of 4 respectively. How often an event occurs. To understand why this is the case, we must. To correctly determine the probability of a dice roll, we need to know two things: The size of the sample space or the. Two Dice Are Rolled What Is The Probability Of Getting Doubles.
From www.gauthmath.com
Solved Two dice are rolled. Find the probability of getting the Two Dice Are Rolled What Is The Probability Of Getting Doubles In probability, an event is a certain subset of the sample space. Let a, b, c be the events of getting a sum of 2, a sum of 3 and a sum of 4 respectively. The dice probability calculator is a great tool if you want to estimate the dice roll probability over numerous variants. If we roll two dice. Two Dice Are Rolled What Is The Probability Of Getting Doubles.
From www.numerade.com
SOLVED Two dice are rolled. Determine the probability of the following Two Dice Are Rolled What Is The Probability Of Getting Doubles The size of the sample space or the set of total possible outcomes. We roll “doubles”) is 6/36 or 1/6. How often an event occurs. To correctly determine the probability of a dice roll, we need to know two things: Supposing we roll two dice that have $q$ sides, $n$ times and ask about each double appearing at least once.. Two Dice Are Rolled What Is The Probability Of Getting Doubles.
From www.youtube.com
Probability of the Sum of Two Dice + Probability of Rolling Doubles Two Dice Are Rolled What Is The Probability Of Getting Doubles The size of the sample space or the set of total possible outcomes. How often an event occurs. We roll “doubles”) is 6/36 or 1/6. Let a, b, c be the events of getting a sum of 2, a sum of 3 and a sum of 4 respectively. Supposing we roll two dice that have $q$ sides, $n$ times and. Two Dice Are Rolled What Is The Probability Of Getting Doubles.
From www.numerade.com
SOLVED Two standard dice are rolled. What is the probability of Two Dice Are Rolled What Is The Probability Of Getting Doubles In probability, an event is a certain subset of the sample space. The dice probability calculator is a great tool if you want to estimate the dice roll probability over numerous variants. The size of the sample space or the set of total possible outcomes. Let a, b, c be the events of getting a sum of 2, a sum. Two Dice Are Rolled What Is The Probability Of Getting Doubles.
From www.numerade.com
VIDEO solution 10. Two dice are rolled What is Ihe probability of not Two Dice Are Rolled What Is The Probability Of Getting Doubles In probability, an event is a certain subset of the sample space. The dice probability calculator is a great tool if you want to estimate the dice roll probability over numerous variants. Count all the possible outcomes, assuming you can identify the dice. To correctly determine the probability of a dice roll, we need to know two things: Let a,. Two Dice Are Rolled What Is The Probability Of Getting Doubles.
From www.numerade.com
Two dice are rolled. Find the probability of getting a. A sum of 8,9 Two Dice Are Rolled What Is The Probability Of Getting Doubles Let a, b, c be the events of getting a sum of 2, a sum of 3 and a sum of 4 respectively. The size of the sample space or the set of total possible outcomes. The dice probability calculator is a great tool if you want to estimate the dice roll probability over numerous variants. How often an event. Two Dice Are Rolled What Is The Probability Of Getting Doubles.
From www.youtube.com
two dice rolled ,sum is 7 or 11, probability 7 comes before 11 Two Dice Are Rolled What Is The Probability Of Getting Doubles To calculate the probability of any outcome in a 2 dice roll, follow these few simple steps: The size of the sample space or the set of total possible outcomes. Count all the possible outcomes, assuming you can identify the dice. Supposing we roll two dice that have $q$ sides, $n$ times and ask about each double appearing at least. Two Dice Are Rolled What Is The Probability Of Getting Doubles.
From www.youtube.com
Two dice are rolled simultaneously. What is the probability that 6 will Two Dice Are Rolled What Is The Probability Of Getting Doubles To correctly determine the probability of a dice roll, we need to know two things: If we roll two dice at the same time, the probability that both dice land on the same number (i.e. Supposing we roll two dice that have $q$ sides, $n$ times and ask about each double appearing at least once. How often an event occurs.. Two Dice Are Rolled What Is The Probability Of Getting Doubles.
From www.youtube.com
Probability of Doubles With 2 Dice Probability Of Any Doubles With Two Dice Are Rolled What Is The Probability Of Getting Doubles The dice probability calculator is a great tool if you want to estimate the dice roll probability over numerous variants. Let a, b, c be the events of getting a sum of 2, a sum of 3 and a sum of 4 respectively. The number of different outcomes on two dice is the number of different outcomes on the first. Two Dice Are Rolled What Is The Probability Of Getting Doubles.
From www.numerade.com
SOLVED 'If two dice are rolled one time, find the probability of Two Dice Are Rolled What Is The Probability Of Getting Doubles To correctly determine the probability of a dice roll, we need to know two things: The size of the sample space or the set of total possible outcomes. If we roll two dice at the same time, the probability that both dice land on the same number (i.e. We roll “doubles”) is 6/36 or 1/6. How often an event occurs.. Two Dice Are Rolled What Is The Probability Of Getting Doubles.
From www.toppr.com
Two dice are thrown simultaneously. Find the probability of gettinga Two Dice Are Rolled What Is The Probability Of Getting Doubles In probability, an event is a certain subset of the sample space. The size of the sample space or the set of total possible outcomes. We roll “doubles”) is 6/36 or 1/6. Supposing we roll two dice that have $q$ sides, $n$ times and ask about each double appearing at least once. Count all the possible outcomes, assuming you can. Two Dice Are Rolled What Is The Probability Of Getting Doubles.
From theprobability.netlify.app
Probability Of Two Dice theprobability Two Dice Are Rolled What Is The Probability Of Getting Doubles Let a, b, c be the events of getting a sum of 2, a sum of 3 and a sum of 4 respectively. How often an event occurs. To understand why this is the case, we must. In probability, an event is a certain subset of the sample space. If we roll two dice at the same time, the probability. Two Dice Are Rolled What Is The Probability Of Getting Doubles.
From www.teachoo.com
Find the probability of getting a doublet in a throw of a pair of dice Two Dice Are Rolled What Is The Probability Of Getting Doubles The size of the sample space or the set of total possible outcomes. To correctly determine the probability of a dice roll, we need to know two things: To calculate the probability of any outcome in a 2 dice roll, follow these few simple steps: Count all the possible outcomes, assuming you can identify the dice. How often an event. Two Dice Are Rolled What Is The Probability Of Getting Doubles.
From www.numerade.com
SOLVEDIf two dice are rolled one time, find the probability of getting Two Dice Are Rolled What Is The Probability Of Getting Doubles To calculate the probability of any outcome in a 2 dice roll, follow these few simple steps: Let a, b, c be the events of getting a sum of 2, a sum of 3 and a sum of 4 respectively. How often an event occurs. In probability, an event is a certain subset of the sample space. The number of. Two Dice Are Rolled What Is The Probability Of Getting Doubles.
From www.vecteezy.com
dice roll probability table to calculate the probability of 2 dices Two Dice Are Rolled What Is The Probability Of Getting Doubles In probability, an event is a certain subset of the sample space. Count all the possible outcomes, assuming you can identify the dice. Let a, b, c be the events of getting a sum of 2, a sum of 3 and a sum of 4 respectively. To understand why this is the case, we must. The dice probability calculator is. Two Dice Are Rolled What Is The Probability Of Getting Doubles.
From www.storyofmathematics.com
Dice probability Explanation & Examples Two Dice Are Rolled What Is The Probability Of Getting Doubles To understand why this is the case, we must. Supposing we roll two dice that have $q$ sides, $n$ times and ask about each double appearing at least once. The dice probability calculator is a great tool if you want to estimate the dice roll probability over numerous variants. In probability, an event is a certain subset of the sample. Two Dice Are Rolled What Is The Probability Of Getting Doubles.
From brainly.in
Two fair dice are rolled. What is the probability of getting doubles or Two Dice Are Rolled What Is The Probability Of Getting Doubles Supposing we roll two dice that have $q$ sides, $n$ times and ask about each double appearing at least once. The size of the sample space or the set of total possible outcomes. Count all the possible outcomes, assuming you can identify the dice. Let a, b, c be the events of getting a sum of 2, a sum of. Two Dice Are Rolled What Is The Probability Of Getting Doubles.
From www.numerade.com
Rolling Two Dice If two dice are rolled one time, find the probability Two Dice Are Rolled What Is The Probability Of Getting Doubles To calculate the probability of any outcome in a 2 dice roll, follow these few simple steps: Count all the possible outcomes, assuming you can identify the dice. If we roll two dice at the same time, the probability that both dice land on the same number (i.e. The size of the sample space or the set of total possible. Two Dice Are Rolled What Is The Probability Of Getting Doubles.
From www.chegg.com
Solved Two dice are rolled. What is the probability P(sum is Two Dice Are Rolled What Is The Probability Of Getting Doubles We roll “doubles”) is 6/36 or 1/6. To correctly determine the probability of a dice roll, we need to know two things: To understand why this is the case, we must. To calculate the probability of any outcome in a 2 dice roll, follow these few simple steps: The dice probability calculator is a great tool if you want to. Two Dice Are Rolled What Is The Probability Of Getting Doubles.
From www.youtube.com
Two dice are rolled together. Find the probability of getting a doublet Two Dice Are Rolled What Is The Probability Of Getting Doubles Supposing we roll two dice that have $q$ sides, $n$ times and ask about each double appearing at least once. To understand why this is the case, we must. How often an event occurs. The size of the sample space or the set of total possible outcomes. The number of different outcomes on two dice is the number of different. Two Dice Are Rolled What Is The Probability Of Getting Doubles.
From scales.arabpsychology.com
What Is The Probability Of Rolling Doubles With Dice? Two Dice Are Rolled What Is The Probability Of Getting Doubles To calculate the probability of any outcome in a 2 dice roll, follow these few simple steps: The dice probability calculator is a great tool if you want to estimate the dice roll probability over numerous variants. How often an event occurs. The number of different outcomes on two dice is the number of different outcomes on the first die. Two Dice Are Rolled What Is The Probability Of Getting Doubles.
From www.youtube.com
Probability of Rolling Doubles with 2 Dice YouTube Two Dice Are Rolled What Is The Probability Of Getting Doubles The number of different outcomes on two dice is the number of different outcomes on the first die (6) times the number of different outcomes on. Let a, b, c be the events of getting a sum of 2, a sum of 3 and a sum of 4 respectively. Supposing we roll two dice that have $q$ sides, $n$ times. Two Dice Are Rolled What Is The Probability Of Getting Doubles.
From www.numerade.com
SOLVED 0 1 12 What is the probability of rolling pair of dice and Two Dice Are Rolled What Is The Probability Of Getting Doubles To correctly determine the probability of a dice roll, we need to know two things: Let a, b, c be the events of getting a sum of 2, a sum of 3 and a sum of 4 respectively. The size of the sample space or the set of total possible outcomes. We roll “doubles”) is 6/36 or 1/6. To calculate. Two Dice Are Rolled What Is The Probability Of Getting Doubles.
From www.youtube.com
Two dice are rolled simultaneously. Find the probability of getting a Two Dice Are Rolled What Is The Probability Of Getting Doubles Supposing we roll two dice that have $q$ sides, $n$ times and ask about each double appearing at least once. The number of different outcomes on two dice is the number of different outcomes on the first die (6) times the number of different outcomes on. In probability, an event is a certain subset of the sample space. The dice. Two Dice Are Rolled What Is The Probability Of Getting Doubles.
From www.youtube.com
Two dice are rolled. What is the probability of getting a sum of 6 Two Dice Are Rolled What Is The Probability Of Getting Doubles To calculate the probability of any outcome in a 2 dice roll, follow these few simple steps: The size of the sample space or the set of total possible outcomes. Count all the possible outcomes, assuming you can identify the dice. We roll “doubles”) is 6/36 or 1/6. If we roll two dice at the same time, the probability that. Two Dice Are Rolled What Is The Probability Of Getting Doubles.
From gbu-presnenskij.ru
Dice Roll Probability Table Calculate Probability Stock, 48 OFF Two Dice Are Rolled What Is The Probability Of Getting Doubles Count all the possible outcomes, assuming you can identify the dice. To understand why this is the case, we must. To correctly determine the probability of a dice roll, we need to know two things: The size of the sample space or the set of total possible outcomes. In probability, an event is a certain subset of the sample space.. Two Dice Are Rolled What Is The Probability Of Getting Doubles.
From www.youtube.com
Rolling Two Dice YouTube Two Dice Are Rolled What Is The Probability Of Getting Doubles The number of different outcomes on two dice is the number of different outcomes on the first die (6) times the number of different outcomes on. Let a, b, c be the events of getting a sum of 2, a sum of 3 and a sum of 4 respectively. If we roll two dice at the same time, the probability. Two Dice Are Rolled What Is The Probability Of Getting Doubles.
From kunduz.com
[ANSWERED] Two dice are rolled What is the probability P sum is 3 1 4 Two Dice Are Rolled What Is The Probability Of Getting Doubles To correctly determine the probability of a dice roll, we need to know two things: In probability, an event is a certain subset of the sample space. To understand why this is the case, we must. The dice probability calculator is a great tool if you want to estimate the dice roll probability over numerous variants. If we roll two. Two Dice Are Rolled What Is The Probability Of Getting Doubles.
From kunduz.com
[ANSWERED] Two dice are rolled What is the probability P sum is 3 OO 11 Two Dice Are Rolled What Is The Probability Of Getting Doubles Count all the possible outcomes, assuming you can identify the dice. If we roll two dice at the same time, the probability that both dice land on the same number (i.e. To correctly determine the probability of a dice roll, we need to know two things: The size of the sample space or the set of total possible outcomes. To. Two Dice Are Rolled What Is The Probability Of Getting Doubles.
From www.omtexclasses.com
OMTEX CLASSES Two unbiased dice are rolled once. Find the probability Two Dice Are Rolled What Is The Probability Of Getting Doubles To understand why this is the case, we must. Count all the possible outcomes, assuming you can identify the dice. The size of the sample space or the set of total possible outcomes. To calculate the probability of any outcome in a 2 dice roll, follow these few simple steps: Let a, b, c be the events of getting a. Two Dice Are Rolled What Is The Probability Of Getting Doubles.
From kunduz.com
[ANSWERED] If you rolled two dice, what is the probability that yo Two Dice Are Rolled What Is The Probability Of Getting Doubles To calculate the probability of any outcome in a 2 dice roll, follow these few simple steps: In probability, an event is a certain subset of the sample space. If we roll two dice at the same time, the probability that both dice land on the same number (i.e. How often an event occurs. Supposing we roll two dice that. Two Dice Are Rolled What Is The Probability Of Getting Doubles.
From www.numerade.com
SOLVED Two dice are rolled. What is the probability of having both Two Dice Are Rolled What Is The Probability Of Getting Doubles The size of the sample space or the set of total possible outcomes. The dice probability calculator is a great tool if you want to estimate the dice roll probability over numerous variants. Let a, b, c be the events of getting a sum of 2, a sum of 3 and a sum of 4 respectively. To correctly determine the. Two Dice Are Rolled What Is The Probability Of Getting Doubles.