Write The Emf Equation Of An Alternator . Emf equation of an alternator and ac generator. An alternator or synchronous generator (also known as ac generator or dynamo) is a device which converts mechanical energy into electrical energy. In today post, we will show the emf equation of alternator and ac generators using two methods. We know that in a synchronous generator or alternator when the conductors of the rotor cuts the alternating magnetic flux lines. We know that synchronous generator or alternator will generate an emf. The speed of the rotor is ‘n’ rpm. Let us derive the emf equation of the alternator, ac generator, or synchronous generator. The emf equation of an alternator is a mathematical expression to calculate the effective value of emf induced in each phase of. Calculate the e.m.f induced (line voltage) in a 3φ, 8 pole star connected alternator. The stator has 160 slots with six conductor per. The following is the derivation of emf equation of. The rotor completes the ‘n’ revolution in 1 minute or 60 seconds.
from www.youtube.com
We know that in a synchronous generator or alternator when the conductors of the rotor cuts the alternating magnetic flux lines. We know that synchronous generator or alternator will generate an emf. The rotor completes the ‘n’ revolution in 1 minute or 60 seconds. In today post, we will show the emf equation of alternator and ac generators using two methods. Let us derive the emf equation of the alternator, ac generator, or synchronous generator. The speed of the rotor is ‘n’ rpm. Emf equation of an alternator and ac generator. The following is the derivation of emf equation of. An alternator or synchronous generator (also known as ac generator or dynamo) is a device which converts mechanical energy into electrical energy. The stator has 160 slots with six conductor per.
EMF equation of alternator in detail explanation EMF equation of AC
Write The Emf Equation Of An Alternator We know that synchronous generator or alternator will generate an emf. In today post, we will show the emf equation of alternator and ac generators using two methods. The rotor completes the ‘n’ revolution in 1 minute or 60 seconds. We know that in a synchronous generator or alternator when the conductors of the rotor cuts the alternating magnetic flux lines. The following is the derivation of emf equation of. The emf equation of an alternator is a mathematical expression to calculate the effective value of emf induced in each phase of. The speed of the rotor is ‘n’ rpm. We know that synchronous generator or alternator will generate an emf. Calculate the e.m.f induced (line voltage) in a 3φ, 8 pole star connected alternator. The stator has 160 slots with six conductor per. An alternator or synchronous generator (also known as ac generator or dynamo) is a device which converts mechanical energy into electrical energy. Let us derive the emf equation of the alternator, ac generator, or synchronous generator. Emf equation of an alternator and ac generator.
From www.youtube.com
EMF Equation of Alternator. YouTube Write The Emf Equation Of An Alternator The emf equation of an alternator is a mathematical expression to calculate the effective value of emf induced in each phase of. An alternator or synchronous generator (also known as ac generator or dynamo) is a device which converts mechanical energy into electrical energy. Emf equation of an alternator and ac generator. The stator has 160 slots with six conductor. Write The Emf Equation Of An Alternator.
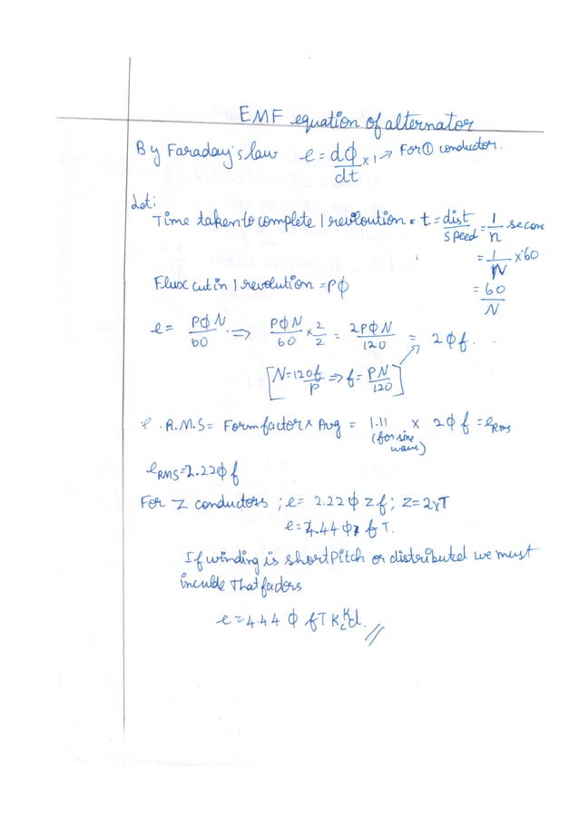
From www.electricalengineeringinfo.com
Derivation of EMF Equation of Synchronous Generator or Alternator Write The Emf Equation Of An Alternator The following is the derivation of emf equation of. The stator has 160 slots with six conductor per. Calculate the e.m.f induced (line voltage) in a 3φ, 8 pole star connected alternator. The rotor completes the ‘n’ revolution in 1 minute or 60 seconds. We know that in a synchronous generator or alternator when the conductors of the rotor cuts. Write The Emf Equation Of An Alternator.
From www.youtube.com
EMF Equation of Alternator YouTube Write The Emf Equation Of An Alternator In today post, we will show the emf equation of alternator and ac generators using two methods. We know that synchronous generator or alternator will generate an emf. The emf equation of an alternator is a mathematical expression to calculate the effective value of emf induced in each phase of. The stator has 160 slots with six conductor per. An. Write The Emf Equation Of An Alternator.
From www.meritnation.com
Calculate the emf of the cell and write the cell reaction Cr/Cr3+(0 1M Write The Emf Equation Of An Alternator We know that synchronous generator or alternator will generate an emf. The speed of the rotor is ‘n’ rpm. In today post, we will show the emf equation of alternator and ac generators using two methods. The following is the derivation of emf equation of. Calculate the e.m.f induced (line voltage) in a 3φ, 8 pole star connected alternator. We. Write The Emf Equation Of An Alternator.
From www.youtube.com
Simple problems on EMF Equation of alternator. YouTube Write The Emf Equation Of An Alternator An alternator or synchronous generator (also known as ac generator or dynamo) is a device which converts mechanical energy into electrical energy. The stator has 160 slots with six conductor per. In today post, we will show the emf equation of alternator and ac generators using two methods. The following is the derivation of emf equation of. We know that. Write The Emf Equation Of An Alternator.
From www.youtube.com
EMF Equation of an Alternator. YouTube Write The Emf Equation Of An Alternator Let us derive the emf equation of the alternator, ac generator, or synchronous generator. The rotor completes the ‘n’ revolution in 1 minute or 60 seconds. Calculate the e.m.f induced (line voltage) in a 3φ, 8 pole star connected alternator. Emf equation of an alternator and ac generator. We know that synchronous generator or alternator will generate an emf. An. Write The Emf Equation Of An Alternator.
From www.youtube.com
Alternator EMF Equation YouTube Write The Emf Equation Of An Alternator We know that in a synchronous generator or alternator when the conductors of the rotor cuts the alternating magnetic flux lines. An alternator or synchronous generator (also known as ac generator or dynamo) is a device which converts mechanical energy into electrical energy. Calculate the e.m.f induced (line voltage) in a 3φ, 8 pole star connected alternator. We know that. Write The Emf Equation Of An Alternator.
From www.youtube.com
Alternator EMF equation Part2 YouTube Write The Emf Equation Of An Alternator The emf equation of an alternator is a mathematical expression to calculate the effective value of emf induced in each phase of. The stator has 160 slots with six conductor per. An alternator or synchronous generator (also known as ac generator or dynamo) is a device which converts mechanical energy into electrical energy. We know that in a synchronous generator. Write The Emf Equation Of An Alternator.
From www.youtube.com
EMF Equation of Alternator YouTube Write The Emf Equation Of An Alternator Emf equation of an alternator and ac generator. The rotor completes the ‘n’ revolution in 1 minute or 60 seconds. The speed of the rotor is ‘n’ rpm. The stator has 160 slots with six conductor per. We know that synchronous generator or alternator will generate an emf. We know that in a synchronous generator or alternator when the conductors. Write The Emf Equation Of An Alternator.
From www.chegg.com
a) Write the nodevoltage analysis equations.b) Write Write The Emf Equation Of An Alternator The speed of the rotor is ‘n’ rpm. Let us derive the emf equation of the alternator, ac generator, or synchronous generator. The following is the derivation of emf equation of. We know that in a synchronous generator or alternator when the conductors of the rotor cuts the alternating magnetic flux lines. The rotor completes the ‘n’ revolution in 1. Write The Emf Equation Of An Alternator.
From www.electricalengineeringinfo.com
Derivation of EMF Equation of Synchronous Generator or Alternator Write The Emf Equation Of An Alternator Emf equation of an alternator and ac generator. The following is the derivation of emf equation of. Let us derive the emf equation of the alternator, ac generator, or synchronous generator. We know that in a synchronous generator or alternator when the conductors of the rotor cuts the alternating magnetic flux lines. Calculate the e.m.f induced (line voltage) in a. Write The Emf Equation Of An Alternator.
From www.youtube.com
SM05 EMF Equation of Alternator YouTube Write The Emf Equation Of An Alternator We know that in a synchronous generator or alternator when the conductors of the rotor cuts the alternating magnetic flux lines. The speed of the rotor is ‘n’ rpm. Emf equation of an alternator and ac generator. The emf equation of an alternator is a mathematical expression to calculate the effective value of emf induced in each phase of. The. Write The Emf Equation Of An Alternator.
From www.youtube.com
EMF Equation of an Alternator AC Machines Electrical Machines YouTube Write The Emf Equation Of An Alternator We know that synchronous generator or alternator will generate an emf. Let us derive the emf equation of the alternator, ac generator, or synchronous generator. Emf equation of an alternator and ac generator. An alternator or synchronous generator (also known as ac generator or dynamo) is a device which converts mechanical energy into electrical energy. The stator has 160 slots. Write The Emf Equation Of An Alternator.
From www.youtube.com
EMF equation of alternator 3 YouTube Write The Emf Equation Of An Alternator The following is the derivation of emf equation of. Let us derive the emf equation of the alternator, ac generator, or synchronous generator. The speed of the rotor is ‘n’ rpm. Calculate the e.m.f induced (line voltage) in a 3φ, 8 pole star connected alternator. An alternator or synchronous generator (also known as ac generator or dynamo) is a device. Write The Emf Equation Of An Alternator.
From www.coursehero.com
[Solved] Calculate the emf of a cell using the Nernst equation Zn/Zn Write The Emf Equation Of An Alternator Let us derive the emf equation of the alternator, ac generator, or synchronous generator. We know that in a synchronous generator or alternator when the conductors of the rotor cuts the alternating magnetic flux lines. Calculate the e.m.f induced (line voltage) in a 3φ, 8 pole star connected alternator. We know that synchronous generator or alternator will generate an emf.. Write The Emf Equation Of An Alternator.
From www.electricalengineeringinfo.com
Derivation of EMF Equation of Synchronous Generator or Alternator Write The Emf Equation Of An Alternator The speed of the rotor is ‘n’ rpm. In today post, we will show the emf equation of alternator and ac generators using two methods. Calculate the e.m.f induced (line voltage) in a 3φ, 8 pole star connected alternator. The stator has 160 slots with six conductor per. The following is the derivation of emf equation of. An alternator or. Write The Emf Equation Of An Alternator.
From www.youtube.com
Alternator emf equation in hindi Electrical capsule YouTube Write The Emf Equation Of An Alternator The stator has 160 slots with six conductor per. The emf equation of an alternator is a mathematical expression to calculate the effective value of emf induced in each phase of. Let us derive the emf equation of the alternator, ac generator, or synchronous generator. The following is the derivation of emf equation of. We know that synchronous generator or. Write The Emf Equation Of An Alternator.
From www.coursehero.com
[Solved] Write the node voltage equations for Figure1929. Use your Write The Emf Equation Of An Alternator The rotor completes the ‘n’ revolution in 1 minute or 60 seconds. The emf equation of an alternator is a mathematical expression to calculate the effective value of emf induced in each phase of. The stator has 160 slots with six conductor per. The speed of the rotor is ‘n’ rpm. Calculate the e.m.f induced (line voltage) in a 3φ,. Write The Emf Equation Of An Alternator.
From www.electricalengineeringinfo.com
Derivation of EMF Equation of Synchronous Generator or Alternator Write The Emf Equation Of An Alternator The emf equation of an alternator is a mathematical expression to calculate the effective value of emf induced in each phase of. In today post, we will show the emf equation of alternator and ac generators using two methods. We know that in a synchronous generator or alternator when the conductors of the rotor cuts the alternating magnetic flux lines.. Write The Emf Equation Of An Alternator.
From omgfreestudy.com
EMF Equation of a DC Generator DC Generator Write The Emf Equation Of An Alternator Let us derive the emf equation of the alternator, ac generator, or synchronous generator. The rotor completes the ‘n’ revolution in 1 minute or 60 seconds. In today post, we will show the emf equation of alternator and ac generators using two methods. The emf equation of an alternator is a mathematical expression to calculate the effective value of emf. Write The Emf Equation Of An Alternator.
From www.youtube.com
Alternator Part7 EMF equation of Alternator for ITI Electrician YouTube Write The Emf Equation Of An Alternator In today post, we will show the emf equation of alternator and ac generators using two methods. An alternator or synchronous generator (also known as ac generator or dynamo) is a device which converts mechanical energy into electrical energy. The following is the derivation of emf equation of. We know that synchronous generator or alternator will generate an emf. The. Write The Emf Equation Of An Alternator.
From www.youtube.com
EMF equation of alternator in detail explanation EMF equation of AC Write The Emf Equation Of An Alternator The following is the derivation of emf equation of. We know that in a synchronous generator or alternator when the conductors of the rotor cuts the alternating magnetic flux lines. Emf equation of an alternator and ac generator. The rotor completes the ‘n’ revolution in 1 minute or 60 seconds. The emf equation of an alternator is a mathematical expression. Write The Emf Equation Of An Alternator.
From portal.perueduca.edu.pe
What Is Electromotive Force In Simple Words Printable Templates Protal Write The Emf Equation Of An Alternator Emf equation of an alternator and ac generator. The rotor completes the ‘n’ revolution in 1 minute or 60 seconds. We know that synchronous generator or alternator will generate an emf. Calculate the e.m.f induced (line voltage) in a 3φ, 8 pole star connected alternator. The stator has 160 slots with six conductor per. The speed of the rotor is. Write The Emf Equation Of An Alternator.
From www.youtube.com
emf equation of alternator emf equation of synchronous generator Write The Emf Equation Of An Alternator The rotor completes the ‘n’ revolution in 1 minute or 60 seconds. Calculate the e.m.f induced (line voltage) in a 3φ, 8 pole star connected alternator. The following is the derivation of emf equation of. The speed of the rotor is ‘n’ rpm. We know that synchronous generator or alternator will generate an emf. The emf equation of an alternator. Write The Emf Equation Of An Alternator.
From www.pinterest.co.uk
EMF equation of an alternator and solved problems Mathematical Write The Emf Equation Of An Alternator We know that in a synchronous generator or alternator when the conductors of the rotor cuts the alternating magnetic flux lines. The rotor completes the ‘n’ revolution in 1 minute or 60 seconds. The emf equation of an alternator is a mathematical expression to calculate the effective value of emf induced in each phase of. The following is the derivation. Write The Emf Equation Of An Alternator.
From www.slideshare.net
Emf equation of alternator.pdf Write The Emf Equation Of An Alternator The rotor completes the ‘n’ revolution in 1 minute or 60 seconds. Let us derive the emf equation of the alternator, ac generator, or synchronous generator. The stator has 160 slots with six conductor per. An alternator or synchronous generator (also known as ac generator or dynamo) is a device which converts mechanical energy into electrical energy. The emf equation. Write The Emf Equation Of An Alternator.
From www.chegg.com
Solved Write the Node Voltage equations of the following ac Write The Emf Equation Of An Alternator The stator has 160 slots with six conductor per. The speed of the rotor is ‘n’ rpm. Let us derive the emf equation of the alternator, ac generator, or synchronous generator. We know that synchronous generator or alternator will generate an emf. The following is the derivation of emf equation of. Emf equation of an alternator and ac generator. We. Write The Emf Equation Of An Alternator.
From ecurrencythailand.com
What Is Emf Equation Of Dc Generator? The 11 New Answer Write The Emf Equation Of An Alternator We know that in a synchronous generator or alternator when the conductors of the rotor cuts the alternating magnetic flux lines. The emf equation of an alternator is a mathematical expression to calculate the effective value of emf induced in each phase of. In today post, we will show the emf equation of alternator and ac generators using two methods.. Write The Emf Equation Of An Alternator.
From www.youtube.com
Voltage Equation of Alternator Synchronous Reactance Synchronous Write The Emf Equation Of An Alternator An alternator or synchronous generator (also known as ac generator or dynamo) is a device which converts mechanical energy into electrical energy. The rotor completes the ‘n’ revolution in 1 minute or 60 seconds. In today post, we will show the emf equation of alternator and ac generators using two methods. Let us derive the emf equation of the alternator,. Write The Emf Equation Of An Alternator.
From www.youtube.com
EMF Equation of Alternator AC Generator Tamil Wisdom Krishna Write The Emf Equation Of An Alternator In today post, we will show the emf equation of alternator and ac generators using two methods. Emf equation of an alternator and ac generator. The speed of the rotor is ‘n’ rpm. The emf equation of an alternator is a mathematical expression to calculate the effective value of emf induced in each phase of. The rotor completes the ‘n’. Write The Emf Equation Of An Alternator.
From www.youtube.com
L(2) EMF Equation of an Alternator YouTube Write The Emf Equation Of An Alternator The stator has 160 slots with six conductor per. The following is the derivation of emf equation of. The emf equation of an alternator is a mathematical expression to calculate the effective value of emf induced in each phase of. Calculate the e.m.f induced (line voltage) in a 3φ, 8 pole star connected alternator. We know that in a synchronous. Write The Emf Equation Of An Alternator.
From www.meritnation.com
Write the Nernst equation and emf of the following cells at 298K Write The Emf Equation Of An Alternator In today post, we will show the emf equation of alternator and ac generators using two methods. The stator has 160 slots with six conductor per. An alternator or synchronous generator (also known as ac generator or dynamo) is a device which converts mechanical energy into electrical energy. Emf equation of an alternator and ac generator. Calculate the e.m.f induced. Write The Emf Equation Of An Alternator.
From www.youtube.com
Write the Nernst equation and emf of the following cells at 298 K Write The Emf Equation Of An Alternator The emf equation of an alternator is a mathematical expression to calculate the effective value of emf induced in each phase of. The following is the derivation of emf equation of. An alternator or synchronous generator (also known as ac generator or dynamo) is a device which converts mechanical energy into electrical energy. The stator has 160 slots with six. Write The Emf Equation Of An Alternator.
From www.electricalvolt.com
EMF equation Archives Electrical Volt Write The Emf Equation Of An Alternator Let us derive the emf equation of the alternator, ac generator, or synchronous generator. Calculate the e.m.f induced (line voltage) in a 3φ, 8 pole star connected alternator. The emf equation of an alternator is a mathematical expression to calculate the effective value of emf induced in each phase of. The following is the derivation of emf equation of. The. Write The Emf Equation Of An Alternator.
From www.toppr.com
3.5 Write the Nernst equation and emf of the following cells 298 K Write The Emf Equation Of An Alternator The emf equation of an alternator is a mathematical expression to calculate the effective value of emf induced in each phase of. Calculate the e.m.f induced (line voltage) in a 3φ, 8 pole star connected alternator. Let us derive the emf equation of the alternator, ac generator, or synchronous generator. The speed of the rotor is ‘n’ rpm. We know. Write The Emf Equation Of An Alternator.