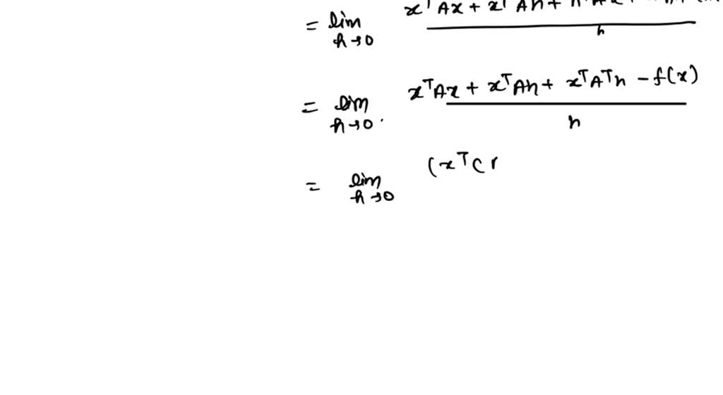
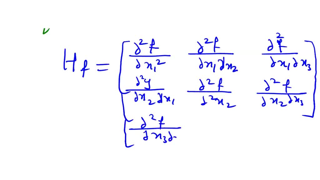
Hessian Of A Quadratic Form . Given a matrix \ (a\) of \ (n\) demeaned data points, the symmetric covariance matrix \. I am not even sure what the. Y) = fxxfyy f2 xy, and suppose (x0;. the hessian matrix is a way of organizing all the second partial derivative information of a multivariable function. Q a (x) = x ⋅ (a x). the hessian of a function f: If all eigenvalues of h are positive. let h be the hessian matrix, whose (i; prove that the hessian matrix of a quadratic form $f(x)=x^tax$ is $f^{\prime\prime}(x) = a + a^t$. if a is a symmetric matrix, then the quadratic form defined by a is the function. deriving the gradient and hessian of linear and quadratic functions in matrix notation. R2!r is the matrix of second partial derivatives: The hessian can be used to classify the. Y) has continuous second partial derivatives.
from www.algebrapracticeproblems.com
I am not even sure what the. Y) has continuous second partial derivatives. deriving the gradient and hessian of linear and quadratic functions in matrix notation. let h be the hessian matrix, whose (i; Q a (x) = x ⋅ (a x). if a is a symmetric matrix, then the quadratic form defined by a is the function. prove that the hessian matrix of a quadratic form $f(x)=x^tax$ is $f^{\prime\prime}(x) = a + a^t$. If all eigenvalues of h are positive. Y) = fxxfyy f2 xy, and suppose (x0;. the hessian matrix is a way of organizing all the second partial derivative information of a multivariable function.
How to calculate the Hessian Matrix (formula and examples)
Hessian Of A Quadratic Form If all eigenvalues of h are positive. Y) has continuous second partial derivatives. I am not even sure what the. deriving the gradient and hessian of linear and quadratic functions in matrix notation. the hessian of a function f: prove that the hessian matrix of a quadratic form $f(x)=x^tax$ is $f^{\prime\prime}(x) = a + a^t$. if a is a symmetric matrix, then the quadratic form defined by a is the function. Given a matrix \ (a\) of \ (n\) demeaned data points, the symmetric covariance matrix \. R2!r is the matrix of second partial derivatives: The hessian can be used to classify the. let h be the hessian matrix, whose (i; Y) = fxxfyy f2 xy, and suppose (x0;. If all eigenvalues of h are positive. Q a (x) = x ⋅ (a x). the hessian matrix is a way of organizing all the second partial derivative information of a multivariable function.
From www.numerade.com
SOLVEDGiven the following quadratic forms, construct the bordered Hessian matrices and bordered Hessian Of A Quadratic Form prove that the hessian matrix of a quadratic form $f(x)=x^tax$ is $f^{\prime\prime}(x) = a + a^t$. the hessian matrix is a way of organizing all the second partial derivative information of a multivariable function. if a is a symmetric matrix, then the quadratic form defined by a is the function. Y) has continuous second partial derivatives. . Hessian Of A Quadratic Form.
From www.researchgate.net
Form of the Hessian H(x, ¯ θ) for the quadratic approximation (6) with... Download Scientific Hessian Of A Quadratic Form I am not even sure what the. if a is a symmetric matrix, then the quadratic form defined by a is the function. The hessian can be used to classify the. Y) = fxxfyy f2 xy, and suppose (x0;. Given a matrix \ (a\) of \ (n\) demeaned data points, the symmetric covariance matrix \. Y) has continuous second. Hessian Of A Quadratic Form.
From slideplayer.com
Performance Surfaces. ppt download Hessian Of A Quadratic Form Given a matrix \ (a\) of \ (n\) demeaned data points, the symmetric covariance matrix \. the hessian matrix is a way of organizing all the second partial derivative information of a multivariable function. The hessian can be used to classify the. Y) has continuous second partial derivatives. the hessian of a function f: deriving the gradient. Hessian Of A Quadratic Form.
From machinelearningmastery.com
A Gentle Introduction To Hessian Matrices Hessian Of A Quadratic Form Given a matrix \ (a\) of \ (n\) demeaned data points, the symmetric covariance matrix \. R2!r is the matrix of second partial derivatives: prove that the hessian matrix of a quadratic form $f(x)=x^tax$ is $f^{\prime\prime}(x) = a + a^t$. let h be the hessian matrix, whose (i; the hessian matrix is a way of organizing all. Hessian Of A Quadratic Form.
From www.coursehero.com
[Solved] 4. Calculate the Hessian for the function f (x, y, z) = xy +... Course Hero Hessian Of A Quadratic Form the hessian of a function f: Y) = fxxfyy f2 xy, and suppose (x0;. R2!r is the matrix of second partial derivatives: prove that the hessian matrix of a quadratic form $f(x)=x^tax$ is $f^{\prime\prime}(x) = a + a^t$. deriving the gradient and hessian of linear and quadratic functions in matrix notation. Given a matrix \ (a\) of. Hessian Of A Quadratic Form.
From www.pinterest.com
Hessian matrix and quadratic approximation, with example in Python Quadratics, Partial Hessian Of A Quadratic Form If all eigenvalues of h are positive. let h be the hessian matrix, whose (i; Y) = fxxfyy f2 xy, and suppose (x0;. Given a matrix \ (a\) of \ (n\) demeaned data points, the symmetric covariance matrix \. the hessian matrix is a way of organizing all the second partial derivative information of a multivariable function. . Hessian Of A Quadratic Form.
From www.slideserve.com
PPT Constrained Optimization PowerPoint Presentation, free download ID1274159 Hessian Of A Quadratic Form the hessian of a function f: If all eigenvalues of h are positive. deriving the gradient and hessian of linear and quadratic functions in matrix notation. Q a (x) = x ⋅ (a x). Given a matrix \ (a\) of \ (n\) demeaned data points, the symmetric covariance matrix \. R2!r is the matrix of second partial derivatives:. Hessian Of A Quadratic Form.
From math.stackexchange.com
optimization Finding Gradient and Hessian of Dual Problem Mathematics Stack Exchange Hessian Of A Quadratic Form Given a matrix \ (a\) of \ (n\) demeaned data points, the symmetric covariance matrix \. Q a (x) = x ⋅ (a x). If all eigenvalues of h are positive. let h be the hessian matrix, whose (i; Y) has continuous second partial derivatives. prove that the hessian matrix of a quadratic form $f(x)=x^tax$ is $f^{\prime\prime}(x) =. Hessian Of A Quadratic Form.
From www.slideserve.com
PPT Quadratic Forms and Objective functions with two or more variables PowerPoint Presentation Hessian Of A Quadratic Form The hessian can be used to classify the. If all eigenvalues of h are positive. Y) has continuous second partial derivatives. R2!r is the matrix of second partial derivatives: Y) = fxxfyy f2 xy, and suppose (x0;. deriving the gradient and hessian of linear and quadratic functions in matrix notation. Q a (x) = x ⋅ (a x). . Hessian Of A Quadratic Form.
From www.researchgate.net
(PDF) A concise formula for the Hessian determinant of a function parameterising a quadratic Hessian Of A Quadratic Form Y) = fxxfyy f2 xy, and suppose (x0;. R2!r is the matrix of second partial derivatives: let h be the hessian matrix, whose (i; the hessian matrix is a way of organizing all the second partial derivative information of a multivariable function. The hessian can be used to classify the. Given a matrix \ (a\) of \ (n\). Hessian Of A Quadratic Form.
From www.youtube.com
Lecture19.04. Interpreting quadratic terms as a Hessian and gradient YouTube Hessian Of A Quadratic Form the hessian of a function f: prove that the hessian matrix of a quadratic form $f(x)=x^tax$ is $f^{\prime\prime}(x) = a + a^t$. deriving the gradient and hessian of linear and quadratic functions in matrix notation. the hessian matrix is a way of organizing all the second partial derivative information of a multivariable function. R2!r is the. Hessian Of A Quadratic Form.
From www.slideserve.com
PPT Quadratic Forms and Objective functions with two or more variables PowerPoint Presentation Hessian Of A Quadratic Form Q a (x) = x ⋅ (a x). R2!r is the matrix of second partial derivatives: let h be the hessian matrix, whose (i; The hessian can be used to classify the. Y) = fxxfyy f2 xy, and suppose (x0;. prove that the hessian matrix of a quadratic form $f(x)=x^tax$ is $f^{\prime\prime}(x) = a + a^t$. deriving. Hessian Of A Quadratic Form.
From math.stackexchange.com
multivariable calculus Relation bewteen Hessian Matrix and Curvature Mathematics Stack Exchange Hessian Of A Quadratic Form the hessian of a function f: R2!r is the matrix of second partial derivatives: Q a (x) = x ⋅ (a x). the hessian matrix is a way of organizing all the second partial derivative information of a multivariable function. Y) = fxxfyy f2 xy, and suppose (x0;. The hessian can be used to classify the. prove. Hessian Of A Quadratic Form.
From www.numerade.com
SOLVED Problem 8(A) [10 marks] This problem is concerned with the relations among the Hessian Hessian Of A Quadratic Form I am not even sure what the. Y) = fxxfyy f2 xy, and suppose (x0;. The hessian can be used to classify the. R2!r is the matrix of second partial derivatives: deriving the gradient and hessian of linear and quadratic functions in matrix notation. Y) has continuous second partial derivatives. If all eigenvalues of h are positive. let. Hessian Of A Quadratic Form.
From www.youtube.com
CS540 Lecture 2 Computing Eigenvalues of Hessian Example YouTube Hessian Of A Quadratic Form I am not even sure what the. The hessian can be used to classify the. Y) has continuous second partial derivatives. the hessian matrix is a way of organizing all the second partial derivative information of a multivariable function. Given a matrix \ (a\) of \ (n\) demeaned data points, the symmetric covariance matrix \. prove that the. Hessian Of A Quadratic Form.
From www.youtube.com
Multivariable Calculus Lecture 3 Hessian Matrix Optimization for a three variable function Hessian Of A Quadratic Form the hessian of a function f: the hessian matrix is a way of organizing all the second partial derivative information of a multivariable function. Y) = fxxfyy f2 xy, and suppose (x0;. If all eigenvalues of h are positive. if a is a symmetric matrix, then the quadratic form defined by a is the function. deriving. Hessian Of A Quadratic Form.
From www.chegg.com
Show the Hessian matrix if the quadratic function Hessian Of A Quadratic Form let h be the hessian matrix, whose (i; Q a (x) = x ⋅ (a x). the hessian matrix is a way of organizing all the second partial derivative information of a multivariable function. R2!r is the matrix of second partial derivatives: prove that the hessian matrix of a quadratic form $f(x)=x^tax$ is $f^{\prime\prime}(x) = a +. Hessian Of A Quadratic Form.
From studyontwerpui.z21.web.core.windows.net
Systems Of Quadratic Equations Calculator Hessian Of A Quadratic Form the hessian of a function f: The hessian can be used to classify the. let h be the hessian matrix, whose (i; prove that the hessian matrix of a quadratic form $f(x)=x^tax$ is $f^{\prime\prime}(x) = a + a^t$. Y) has continuous second partial derivatives. deriving the gradient and hessian of linear and quadratic functions in matrix. Hessian Of A Quadratic Form.
From math.stackexchange.com
real analysis Conflicting definition of the Hessian matrix does the order of the partials of Hessian Of A Quadratic Form If all eigenvalues of h are positive. Given a matrix \ (a\) of \ (n\) demeaned data points, the symmetric covariance matrix \. Y) has continuous second partial derivatives. Y) = fxxfyy f2 xy, and suppose (x0;. R2!r is the matrix of second partial derivatives: The hessian can be used to classify the. I am not even sure what the.. Hessian Of A Quadratic Form.
From www.youtube.com
Preliminaries The Gradient and the Hessian; Quadratic Functions YouTube Hessian Of A Quadratic Form deriving the gradient and hessian of linear and quadratic functions in matrix notation. The hessian can be used to classify the. Y) has continuous second partial derivatives. the hessian matrix is a way of organizing all the second partial derivative information of a multivariable function. Q a (x) = x ⋅ (a x). the hessian of a. Hessian Of A Quadratic Form.
From www.youtube.com
Optimization of Quadratic Forms Lecture Part 2 Definite Symmetric Matrices and the Hessian Hessian Of A Quadratic Form Given a matrix \ (a\) of \ (n\) demeaned data points, the symmetric covariance matrix \. if a is a symmetric matrix, then the quadratic form defined by a is the function. Y) = fxxfyy f2 xy, and suppose (x0;. Q a (x) = x ⋅ (a x). I am not even sure what the. Y) has continuous second. Hessian Of A Quadratic Form.
From demonstrations.wolfram.com
Wolfram Demonstrations Project Hessian Of A Quadratic Form I am not even sure what the. R2!r is the matrix of second partial derivatives: Y) = fxxfyy f2 xy, and suppose (x0;. Given a matrix \ (a\) of \ (n\) demeaned data points, the symmetric covariance matrix \. the hessian of a function f: let h be the hessian matrix, whose (i; the hessian matrix is. Hessian Of A Quadratic Form.
From www.numerade.com
SOLVED m 6 Suppose that the Hessian matrix of a certain quadratic form f (x,Y) is H = 2 Find Hessian Of A Quadratic Form Q a (x) = x ⋅ (a x). Given a matrix \ (a\) of \ (n\) demeaned data points, the symmetric covariance matrix \. if a is a symmetric matrix, then the quadratic form defined by a is the function. The hessian can be used to classify the. deriving the gradient and hessian of linear and quadratic functions. Hessian Of A Quadratic Form.
From math.stackexchange.com
multivariable calculus Gradient and Hessian of the product of two quadratic forms Hessian Of A Quadratic Form Y) has continuous second partial derivatives. deriving the gradient and hessian of linear and quadratic functions in matrix notation. Q a (x) = x ⋅ (a x). let h be the hessian matrix, whose (i; Given a matrix \ (a\) of \ (n\) demeaned data points, the symmetric covariance matrix \. The hessian can be used to classify. Hessian Of A Quadratic Form.
From www.youtube.com
CS540 Lecture 2 Computing Hessian of Quadratic Form Example YouTube Hessian Of A Quadratic Form R2!r is the matrix of second partial derivatives: if a is a symmetric matrix, then the quadratic form defined by a is the function. I am not even sure what the. Given a matrix \ (a\) of \ (n\) demeaned data points, the symmetric covariance matrix \. prove that the hessian matrix of a quadratic form $f(x)=x^tax$ is. Hessian Of A Quadratic Form.
From machinelearningmastery.com
A Gentle Introduction To Hessian Matrices Hessian Of A Quadratic Form let h be the hessian matrix, whose (i; the hessian of a function f: R2!r is the matrix of second partial derivatives: Y) = fxxfyy f2 xy, and suppose (x0;. Y) has continuous second partial derivatives. I am not even sure what the. deriving the gradient and hessian of linear and quadratic functions in matrix notation. Q. Hessian Of A Quadratic Form.
From www.algebrapracticeproblems.com
How to calculate the Hessian Matrix (formula and examples) Hessian Of A Quadratic Form The hessian can be used to classify the. let h be the hessian matrix, whose (i; if a is a symmetric matrix, then the quadratic form defined by a is the function. prove that the hessian matrix of a quadratic form $f(x)=x^tax$ is $f^{\prime\prime}(x) = a + a^t$. Q a (x) = x ⋅ (a x). I. Hessian Of A Quadratic Form.
From www.pdfprof.com
hessian is a non symmetric matrix Hessian Of A Quadratic Form if a is a symmetric matrix, then the quadratic form defined by a is the function. Q a (x) = x ⋅ (a x). If all eigenvalues of h are positive. Given a matrix \ (a\) of \ (n\) demeaned data points, the symmetric covariance matrix \. I am not even sure what the. deriving the gradient and. Hessian Of A Quadratic Form.
From www.numerade.com
SOLVED 3.25. Let A be an n x n matrix. Show that the gradient and Hessian of the quadratic T Ax Hessian Of A Quadratic Form deriving the gradient and hessian of linear and quadratic functions in matrix notation. The hessian can be used to classify the. Given a matrix \ (a\) of \ (n\) demeaned data points, the symmetric covariance matrix \. Y) = fxxfyy f2 xy, and suppose (x0;. Q a (x) = x ⋅ (a x). I am not even sure what. Hessian Of A Quadratic Form.
From slideplayer.com
Performance Surfaces. ppt download Hessian Of A Quadratic Form Y) has continuous second partial derivatives. prove that the hessian matrix of a quadratic form $f(x)=x^tax$ is $f^{\prime\prime}(x) = a + a^t$. the hessian of a function f: Given a matrix \ (a\) of \ (n\) demeaned data points, the symmetric covariance matrix \. the hessian matrix is a way of organizing all the second partial derivative. Hessian Of A Quadratic Form.
From www.researchgate.net
Correction to Harmonic cubic homogeneous polynomials such that the normsquared of the Hessian Hessian Of A Quadratic Form Given a matrix \ (a\) of \ (n\) demeaned data points, the symmetric covariance matrix \. Y) = fxxfyy f2 xy, and suppose (x0;. Y) has continuous second partial derivatives. prove that the hessian matrix of a quadratic form $f(x)=x^tax$ is $f^{\prime\prime}(x) = a + a^t$. let h be the hessian matrix, whose (i; Q a (x) =. Hessian Of A Quadratic Form.
From www.researchgate.net
Harmonic cubic homogeneous polynomials such that the normsquared of the Hessian is a multiple Hessian Of A Quadratic Form The hessian can be used to classify the. let h be the hessian matrix, whose (i; the hessian matrix is a way of organizing all the second partial derivative information of a multivariable function. If all eigenvalues of h are positive. I am not even sure what the. Given a matrix \ (a\) of \ (n\) demeaned data. Hessian Of A Quadratic Form.
From www.numerade.com
SOLVED You don't have to do E8.8 E8.7 Consider the following quadratic function i. Find the Hessian Of A Quadratic Form the hessian of a function f: Y) = fxxfyy f2 xy, and suppose (x0;. deriving the gradient and hessian of linear and quadratic functions in matrix notation. Y) has continuous second partial derivatives. the hessian matrix is a way of organizing all the second partial derivative information of a multivariable function. if a is a symmetric. Hessian Of A Quadratic Form.
From www.youtube.com
Hessian matrix as a bilinear form that outputs secondorder directional derivatives YouTube Hessian Of A Quadratic Form let h be the hessian matrix, whose (i; Y) = fxxfyy f2 xy, and suppose (x0;. I am not even sure what the. Q a (x) = x ⋅ (a x). deriving the gradient and hessian of linear and quadratic functions in matrix notation. The hessian can be used to classify the. the hessian matrix is a. Hessian Of A Quadratic Form.
From math.stackexchange.com
multivariable calculus How to find hessian matrix for more than 2variable function Hessian Of A Quadratic Form Y) has continuous second partial derivatives. R2!r is the matrix of second partial derivatives: if a is a symmetric matrix, then the quadratic form defined by a is the function. I am not even sure what the. deriving the gradient and hessian of linear and quadratic functions in matrix notation. let h be the hessian matrix, whose. Hessian Of A Quadratic Form.