How Do You Read A Property Deed . All deeds in the property's chain of title should have an identical legal description. If you have ever bought or sold a home, one important document that you will come across is the. How to read your property deed. Property descriptions are found in many places and documents. If the description is using townships. Jul 16, 2021 • 4 min read. Read the actual deed description. Read your deed and plot the property on the diagram you've drawn. It will usually be found on the document after a phrase similar to: By using the property deed. That certain piece or parcel of land described as follows. if you own property, you should have a copy of the deed from when you acquired the title. The legal description of a property is a real estate document that identifies. A property deed is a signed legal document that is used to transfer the ownership of real property.
from londonmedarb.com
If you have ever bought or sold a home, one important document that you will come across is the. If the description is using townships. By using the property deed. Read your deed and plot the property on the diagram you've drawn. That certain piece or parcel of land described as follows. if you own property, you should have a copy of the deed from when you acquired the title. Read the actual deed description. All deeds in the property's chain of title should have an identical legal description. A property deed is a signed legal document that is used to transfer the ownership of real property. Property descriptions are found in many places and documents. Jul 16, 2021 • 4 min read.
Property Deed Free Printable Documents
How Do You Read A Property Deed Jul 16, 2021 • 4 min read. Property descriptions are found in many places and documents. If the description is using townships. How to read your property deed. By using the property deed. If you have ever bought or sold a home, one important document that you will come across is the. That certain piece or parcel of land described as follows. if you own property, you should have a copy of the deed from when you acquired the title. The legal description of a property is a real estate document that identifies. All deeds in the property's chain of title should have an identical legal description. Read your deed and plot the property on the diagram you've drawn. It will usually be found on the document after a phrase similar to: Read the actual deed description. Jul 16, 2021 • 4 min read. A property deed is a signed legal document that is used to transfer the ownership of real property.
From getoutofdebt.org
Now Here's a New Scam Involving Your Property Deed How Do You Read A Property Deed Property descriptions are found in many places and documents. Read the actual deed description. All deeds in the property's chain of title should have an identical legal description. Jul 16, 2021 • 4 min read. Read your deed and plot the property on the diagram you've drawn. A property deed is a signed legal document that is used to transfer. How Do You Read A Property Deed.
From www.scribd.com
Deed of Sale of Real EstatePORTION100 Deed Real Property Law How Do You Read A Property Deed A property deed is a signed legal document that is used to transfer the ownership of real property. The legal description of a property is a real estate document that identifies. How to read your property deed. That certain piece or parcel of land described as follows. if you own property, you should have a copy of the deed from. How Do You Read A Property Deed.
From www.scribd.com
Deed of Sale of Real Property Deed Property Law How Do You Read A Property Deed Property descriptions are found in many places and documents. The legal description of a property is a real estate document that identifies. Read the actual deed description. All deeds in the property's chain of title should have an identical legal description. It will usually be found on the document after a phrase similar to: Read your deed and plot the. How Do You Read A Property Deed.
From www.pdffiller.com
Arizona Warranty Deed to Community Property with rights of survivorship How Do You Read A Property Deed Read the actual deed description. Jul 16, 2021 • 4 min read. A property deed is a signed legal document that is used to transfer the ownership of real property. If the description is using townships. By using the property deed. Property descriptions are found in many places and documents. That certain piece or parcel of land described as follows.. How Do You Read A Property Deed.
From emerald-heritage.com
Emerald Heritage Master Deed Title How Do You Read A Property Deed It will usually be found on the document after a phrase similar to: The legal description of a property is a real estate document that identifies. Jul 16, 2021 • 4 min read. If you have ever bought or sold a home, one important document that you will come across is the. A property deed is a signed legal document. How Do You Read A Property Deed.
From exoscspvz.blob.core.windows.net
How Do I Look Up A Deed In Nj at Christine Villarreal blog How Do You Read A Property Deed The legal description of a property is a real estate document that identifies. Jul 16, 2021 • 4 min read. Property descriptions are found in many places and documents. If you have ever bought or sold a home, one important document that you will come across is the. All deeds in the property's chain of title should have an identical. How Do You Read A Property Deed.
From www.deeds.com
Property Title? Deed? What's the Difference? How Do You Read A Property Deed All deeds in the property's chain of title should have an identical legal description. A property deed is a signed legal document that is used to transfer the ownership of real property. By using the property deed. The legal description of a property is a real estate document that identifies. If the description is using townships. It will usually be. How Do You Read A Property Deed.
From www.rhodeslaw.com
The Basics of a Real Estate Deed Rhodes Law How Do You Read A Property Deed Property descriptions are found in many places and documents. If the description is using townships. That certain piece or parcel of land described as follows. if you own property, you should have a copy of the deed from when you acquired the title. Read your deed and plot the property on the diagram you've drawn. Jul 16, 2021 • 4. How Do You Read A Property Deed.
From ceovmitf.blob.core.windows.net
How To Put Your Name On A House Deed at Christopher Robinson blog How Do You Read A Property Deed Jul 16, 2021 • 4 min read. Read your deed and plot the property on the diagram you've drawn. If the description is using townships. How to read your property deed. Read the actual deed description. All deeds in the property's chain of title should have an identical legal description. The legal description of a property is a real estate. How Do You Read A Property Deed.
From www.scribd.com
Deed of Real Estate Mortgage Mortgage Law Land Law How Do You Read A Property Deed A property deed is a signed legal document that is used to transfer the ownership of real property. It will usually be found on the document after a phrase similar to: If you have ever bought or sold a home, one important document that you will come across is the. If the description is using townships. Jul 16, 2021 •. How Do You Read A Property Deed.
From www.ustitlerecords.com
How to perform a Property deed search by address or owner name How Do You Read A Property Deed If you have ever bought or sold a home, one important document that you will come across is the. How to read your property deed. Property descriptions are found in many places and documents. All deeds in the property's chain of title should have an identical legal description. Read your deed and plot the property on the diagram you've drawn.. How Do You Read A Property Deed.
From www.pgnpropertymanagement.in
How do you draft a gift deed? PGN Property Management How Do You Read A Property Deed All deeds in the property's chain of title should have an identical legal description. If the description is using townships. If you have ever bought or sold a home, one important document that you will come across is the. Read your deed and plot the property on the diagram you've drawn. The legal description of a property is a real. How Do You Read A Property Deed.
From www.biggerpockets.com
How to remove deed restrictions from property? How Do You Read A Property Deed Property descriptions are found in many places and documents. Read your deed and plot the property on the diagram you've drawn. Jul 16, 2021 • 4 min read. Read the actual deed description. It will usually be found on the document after a phrase similar to: All deeds in the property's chain of title should have an identical legal description.. How Do You Read A Property Deed.
From www.propertyrecordsofcalifornia.com
How to Search a Property Title (Deed) in California Easy Way How Do You Read A Property Deed That certain piece or parcel of land described as follows. if you own property, you should have a copy of the deed from when you acquired the title. By using the property deed. All deeds in the property's chain of title should have an identical legal description. Property descriptions are found in many places and documents. If you have ever. How Do You Read A Property Deed.
From formswift.com
Property Deed Form Downloadable Real Estate Deed FormSwift How Do You Read A Property Deed Jul 16, 2021 • 4 min read. How to read your property deed. Property descriptions are found in many places and documents. It will usually be found on the document after a phrase similar to: That certain piece or parcel of land described as follows. if you own property, you should have a copy of the deed from when you. How Do You Read A Property Deed.
From londonmedarb.com
Property Deed Free Printable Documents How Do You Read A Property Deed All deeds in the property's chain of title should have an identical legal description. A property deed is a signed legal document that is used to transfer the ownership of real property. How to read your property deed. The legal description of a property is a real estate document that identifies. That certain piece or parcel of land described as. How Do You Read A Property Deed.
From www.scribd.com
Sample Sale Deed for Property Registration in Bangalore Deed How Do You Read A Property Deed Jul 16, 2021 • 4 min read. Read the actual deed description. All deeds in the property's chain of title should have an identical legal description. If the description is using townships. That certain piece or parcel of land described as follows. if you own property, you should have a copy of the deed from when you acquired the title.. How Do You Read A Property Deed.
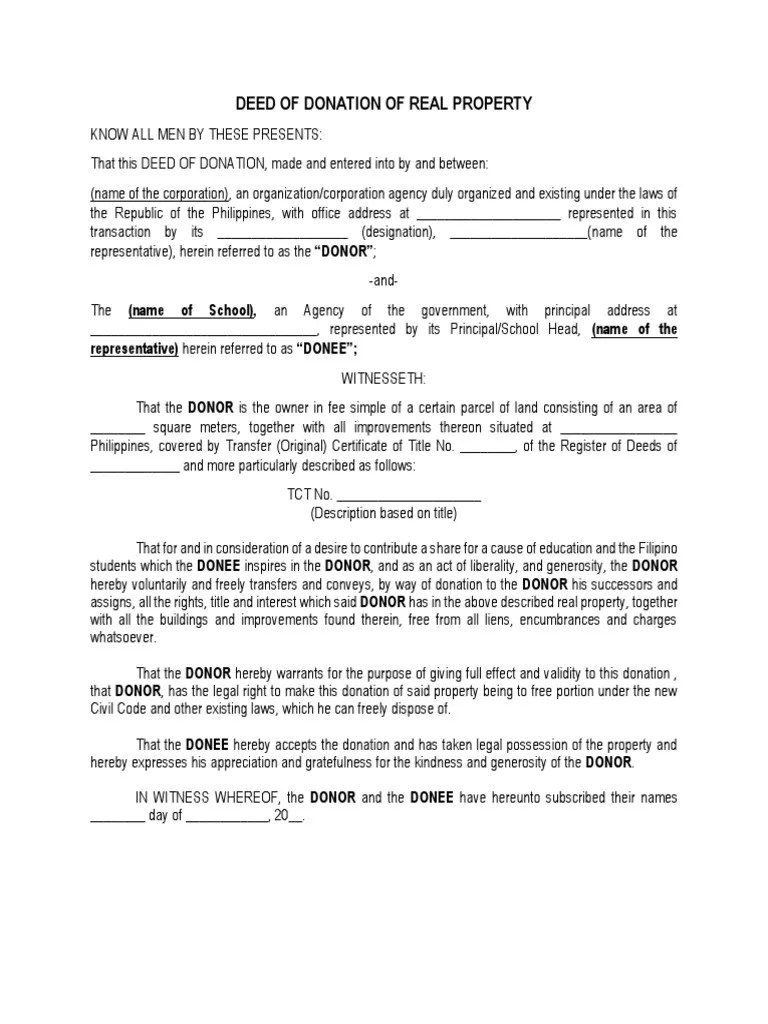
From www.scribd.com
Deed of Donation of Real Property Deed Natural Resources Law Free How Do You Read A Property Deed Jul 16, 2021 • 4 min read. Read your deed and plot the property on the diagram you've drawn. It will usually be found on the document after a phrase similar to: The legal description of a property is a real estate document that identifies. A property deed is a signed legal document that is used to transfer the ownership. How Do You Read A Property Deed.
From www.fity.club
How To Perform A Property Deed Search By Address Or Owner Name How Do You Read A Property Deed Read the actual deed description. All deeds in the property's chain of title should have an identical legal description. How to read your property deed. If you have ever bought or sold a home, one important document that you will come across is the. Property descriptions are found in many places and documents. That certain piece or parcel of land. How Do You Read A Property Deed.
From www.scribd.com
Quick Claim Deed Signature Deed How Do You Read A Property Deed If you have ever bought or sold a home, one important document that you will come across is the. A property deed is a signed legal document that is used to transfer the ownership of real property. Read your deed and plot the property on the diagram you've drawn. Read the actual deed description. Jul 16, 2021 • 4 min. How Do You Read A Property Deed.
From www.need-lawyer.com
Real Estate and You Why do you need to record a deed, and how do you How Do You Read A Property Deed Read your deed and plot the property on the diagram you've drawn. How to read your property deed. Jul 16, 2021 • 4 min read. If the description is using townships. Property descriptions are found in many places and documents. If you have ever bought or sold a home, one important document that you will come across is the. That. How Do You Read A Property Deed.
From mavink.com
What Does My Deed Look Like How Do You Read A Property Deed If the description is using townships. It will usually be found on the document after a phrase similar to: Property descriptions are found in many places and documents. Jul 16, 2021 • 4 min read. How to read your property deed. The legal description of a property is a real estate document that identifies. By using the property deed. That. How Do You Read A Property Deed.
From www.hubbertlaw.com
Is This Deed Valid? When (and How) to Challenge a Deed How Do You Read A Property Deed How to read your property deed. A property deed is a signed legal document that is used to transfer the ownership of real property. By using the property deed. It will usually be found on the document after a phrase similar to: The legal description of a property is a real estate document that identifies. If you have ever bought. How Do You Read A Property Deed.
From fmwaweru.blogspot.com
How to Verify Your Land Title Deed is Genuine How Do You Read A Property Deed All deeds in the property's chain of title should have an identical legal description. Read your deed and plot the property on the diagram you've drawn. Read the actual deed description. It will usually be found on the document after a phrase similar to: Property descriptions are found in many places and documents. The legal description of a property is. How Do You Read A Property Deed.
From www.thebalancemoney.com
How to Use a TransferonDeath Deed to Avoid Probate How Do You Read A Property Deed Read the actual deed description. Jul 16, 2021 • 4 min read. Property descriptions are found in many places and documents. A property deed is a signed legal document that is used to transfer the ownership of real property. By using the property deed. How to read your property deed. If you have ever bought or sold a home, one. How Do You Read A Property Deed.
From londonmedarb.com
Property Deed Free Printable Documents How Do You Read A Property Deed Read your deed and plot the property on the diagram you've drawn. The legal description of a property is a real estate document that identifies. Read the actual deed description. All deeds in the property's chain of title should have an identical legal description. If the description is using townships. It will usually be found on the document after a. How Do You Read A Property Deed.
From propertywalls.blogspot.com
How To Obtain Property Deed Information Property Walls How Do You Read A Property Deed How to read your property deed. Read your deed and plot the property on the diagram you've drawn. Read the actual deed description. By using the property deed. It will usually be found on the document after a phrase similar to: All deeds in the property's chain of title should have an identical legal description. The legal description of a. How Do You Read A Property Deed.
From www.scribd.com
Deed of Quitclaim of Real Property. Format Deed Notary Public How Do You Read A Property Deed A property deed is a signed legal document that is used to transfer the ownership of real property. If the description is using townships. Read the actual deed description. By using the property deed. Property descriptions are found in many places and documents. If you have ever bought or sold a home, one important document that you will come across. How Do You Read A Property Deed.
From propertydata.co.uk
Access Property Deeds and Land Deeds PropertyData How Do You Read A Property Deed Read your deed and plot the property on the diagram you've drawn. It will usually be found on the document after a phrase similar to: That certain piece or parcel of land described as follows. if you own property, you should have a copy of the deed from when you acquired the title. How to read your property deed. A. How Do You Read A Property Deed.
From bnnservices.com
A Primer on The Various Forms of Property Deeds BNN How Do You Read A Property Deed That certain piece or parcel of land described as follows. if you own property, you should have a copy of the deed from when you acquired the title. All deeds in the property's chain of title should have an identical legal description. By using the property deed. Read your deed and plot the property on the diagram you've drawn. A. How Do You Read A Property Deed.
From www.scribd.com
Deed Of Exchange Of Real Property Deed Property How Do You Read A Property Deed Read the actual deed description. Jul 16, 2021 • 4 min read. The legal description of a property is a real estate document that identifies. A property deed is a signed legal document that is used to transfer the ownership of real property. All deeds in the property's chain of title should have an identical legal description. Read your deed. How Do You Read A Property Deed.
From greenwichhistory.org
How to Read an Early American Real Property Deed Greenwich Historical How Do You Read A Property Deed If the description is using townships. If you have ever bought or sold a home, one important document that you will come across is the. It will usually be found on the document after a phrase similar to: The legal description of a property is a real estate document that identifies. Jul 16, 2021 • 4 min read. Property descriptions. How Do You Read A Property Deed.
From www.pdffiller.com
Fillable Online radiorusak esy PROPERTY DEED SPDF Free Download and How Do You Read A Property Deed A property deed is a signed legal document that is used to transfer the ownership of real property. How to read your property deed. Read your deed and plot the property on the diagram you've drawn. Read the actual deed description. That certain piece or parcel of land described as follows. if you own property, you should have a copy. How Do You Read A Property Deed.
From www.newdimensionsinc.com
How To Read A Plat NDI How Do You Read A Property Deed If the description is using townships. Read the actual deed description. That certain piece or parcel of land described as follows. if you own property, you should have a copy of the deed from when you acquired the title. The legal description of a property is a real estate document that identifies. Read your deed and plot the property on. How Do You Read A Property Deed.
From exokfnvgp.blob.core.windows.net
Can You Record A Copy Of A Deed at Peter Kelley blog How Do You Read A Property Deed A property deed is a signed legal document that is used to transfer the ownership of real property. Property descriptions are found in many places and documents. It will usually be found on the document after a phrase similar to: By using the property deed. Jul 16, 2021 • 4 min read. If you have ever bought or sold a. How Do You Read A Property Deed.