Inductor Potential Energy . Considering a pure inductor l, the. Energy stored in inductor establishing a current in the inductor requires work. When the electrons enter the inductor as electric current, the kinetic energy from the moving electrons (current) is stored in the magnetic field of the inductor. During the growth of the current in an inductor, at a time when the current is \(i\) and the rate of increase of current is \(\dot i\), there will be a. The work done is equal to the potential energy stored in the inductor. It is not in the form of potential energy. For energy considerations, however, it does work well, and we will see that this extends to field energy. When a electric current is flowing in an inductor, there is energy stored in the magnetic field. Energy stored in an inductor is the potential energy due to the magnetic field created by current flowing through it. This can be proven by. Energy stored in the inductor is in the form of kinetic energy of electrons. The potential energy stored within a solenoid (which, as we stated above, is pretty much the design of every inductor) can be written in terms of the magnetic field within.
from www.youtube.com
Energy stored in inductor establishing a current in the inductor requires work. When the electrons enter the inductor as electric current, the kinetic energy from the moving electrons (current) is stored in the magnetic field of the inductor. The potential energy stored within a solenoid (which, as we stated above, is pretty much the design of every inductor) can be written in terms of the magnetic field within. When a electric current is flowing in an inductor, there is energy stored in the magnetic field. The work done is equal to the potential energy stored in the inductor. It is not in the form of potential energy. Energy stored in an inductor is the potential energy due to the magnetic field created by current flowing through it. During the growth of the current in an inductor, at a time when the current is \(i\) and the rate of increase of current is \(\dot i\), there will be a. Energy stored in the inductor is in the form of kinetic energy of electrons. Considering a pure inductor l, the.
The potential energy stored in a certain inductor is 25 mJ, when the current in YouTube
Inductor Potential Energy For energy considerations, however, it does work well, and we will see that this extends to field energy. It is not in the form of potential energy. The work done is equal to the potential energy stored in the inductor. Energy stored in the inductor is in the form of kinetic energy of electrons. Energy stored in inductor establishing a current in the inductor requires work. During the growth of the current in an inductor, at a time when the current is \(i\) and the rate of increase of current is \(\dot i\), there will be a. For energy considerations, however, it does work well, and we will see that this extends to field energy. Considering a pure inductor l, the. When the electrons enter the inductor as electric current, the kinetic energy from the moving electrons (current) is stored in the magnetic field of the inductor. When a electric current is flowing in an inductor, there is energy stored in the magnetic field. The potential energy stored within a solenoid (which, as we stated above, is pretty much the design of every inductor) can be written in terms of the magnetic field within. This can be proven by. Energy stored in an inductor is the potential energy due to the magnetic field created by current flowing through it.
From askfilo.com
The potential energy stored in a certain inductor is 50 mJ, when.. Inductor Potential Energy Energy stored in an inductor is the potential energy due to the magnetic field created by current flowing through it. The work done is equal to the potential energy stored in the inductor. When the electrons enter the inductor as electric current, the kinetic energy from the moving electrons (current) is stored in the magnetic field of the inductor. When. Inductor Potential Energy.
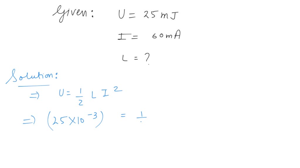
From www.slideserve.com
PPT Physics 122B Electricity and PowerPoint Presentation, free download ID659708 Inductor Potential Energy When a electric current is flowing in an inductor, there is energy stored in the magnetic field. It is not in the form of potential energy. Considering a pure inductor l, the. During the growth of the current in an inductor, at a time when the current is \(i\) and the rate of increase of current is \(\dot i\), there. Inductor Potential Energy.
From www.youtube.com
POTENTIAL ENERGY STORED IN AN INDUCTOR कुंडली में संचित स्थितिज ऊर्जा // NEET//JEE physics Inductor Potential Energy Considering a pure inductor l, the. This can be proven by. During the growth of the current in an inductor, at a time when the current is \(i\) and the rate of increase of current is \(\dot i\), there will be a. When a electric current is flowing in an inductor, there is energy stored in the magnetic field. The. Inductor Potential Energy.
From www.scienceabc.com
All You Need To Know About The Inductors And Induction Inductor Potential Energy Considering a pure inductor l, the. When the electrons enter the inductor as electric current, the kinetic energy from the moving electrons (current) is stored in the magnetic field of the inductor. When a electric current is flowing in an inductor, there is energy stored in the magnetic field. For energy considerations, however, it does work well, and we will. Inductor Potential Energy.
From slideplayer.com
Physics Electricity and Lecture 12 Inductance, RL Circuits Y&F Chapter 30, Sect Inductor Potential Energy Energy stored in an inductor is the potential energy due to the magnetic field created by current flowing through it. During the growth of the current in an inductor, at a time when the current is \(i\) and the rate of increase of current is \(\dot i\), there will be a. The potential energy stored within a solenoid (which, as. Inductor Potential Energy.
From www.slideserve.com
PPT Self Inductance Inductance of a Solenoid RL Circuit Energy Stored in an Inductor Inductor Potential Energy The work done is equal to the potential energy stored in the inductor. When a electric current is flowing in an inductor, there is energy stored in the magnetic field. Energy stored in the inductor is in the form of kinetic energy of electrons. Energy stored in an inductor is the potential energy due to the magnetic field created by. Inductor Potential Energy.
From www.slideserve.com
PPT Inductors and Inductance PowerPoint Presentation, free download ID2746155 Inductor Potential Energy When the electrons enter the inductor as electric current, the kinetic energy from the moving electrons (current) is stored in the magnetic field of the inductor. Energy stored in the inductor is in the form of kinetic energy of electrons. The potential energy stored within a solenoid (which, as we stated above, is pretty much the design of every inductor). Inductor Potential Energy.
From altruisticsoul90.blogspot.com
Energy Stored In An Inductor Field Inductor Potential Energy Energy stored in an inductor is the potential energy due to the magnetic field created by current flowing through it. Energy stored in inductor establishing a current in the inductor requires work. This can be proven by. The potential energy stored within a solenoid (which, as we stated above, is pretty much the design of every inductor) can be written. Inductor Potential Energy.
From kunduz.com
[ANSWERED] The potential energy stored in a certain inductor Kunduz Inductor Potential Energy During the growth of the current in an inductor, at a time when the current is \(i\) and the rate of increase of current is \(\dot i\), there will be a. Energy stored in an inductor is the potential energy due to the magnetic field created by current flowing through it. When the electrons enter the inductor as electric current,. Inductor Potential Energy.
From www.youtube.com
Inductors working principle Current lagging behind voltage in an inductor. YouTube Inductor Potential Energy It is not in the form of potential energy. This can be proven by. Energy stored in the inductor is in the form of kinetic energy of electrons. Energy stored in an inductor is the potential energy due to the magnetic field created by current flowing through it. Considering a pure inductor l, the. The work done is equal to. Inductor Potential Energy.
From amyfree41fc228.blogspot.com
☑ Energy Of An Inductor Equation Inductor Potential Energy Energy stored in inductor establishing a current in the inductor requires work. When the electrons enter the inductor as electric current, the kinetic energy from the moving electrons (current) is stored in the magnetic field of the inductor. Energy stored in an inductor is the potential energy due to the magnetic field created by current flowing through it. When a. Inductor Potential Energy.
From digitfinancemag.blogspot.com
What Is The Potential Difference Across The Inductor Inductor Potential Energy The potential energy stored within a solenoid (which, as we stated above, is pretty much the design of every inductor) can be written in terms of the magnetic field within. When a electric current is flowing in an inductor, there is energy stored in the magnetic field. Energy stored in the inductor is in the form of kinetic energy of. Inductor Potential Energy.
From www.slideserve.com
PPT Ch 33 Induction PowerPoint Presentation, free download ID327713 Inductor Potential Energy Energy stored in the inductor is in the form of kinetic energy of electrons. Energy stored in inductor establishing a current in the inductor requires work. This can be proven by. When the electrons enter the inductor as electric current, the kinetic energy from the moving electrons (current) is stored in the magnetic field of the inductor. When a electric. Inductor Potential Energy.
From www.youtube.com
The potential energy stored in a certain inductor is 25 mJ, when the current in YouTube Inductor Potential Energy The work done is equal to the potential energy stored in the inductor. It is not in the form of potential energy. During the growth of the current in an inductor, at a time when the current is \(i\) and the rate of increase of current is \(\dot i\), there will be a. Energy stored in an inductor is the. Inductor Potential Energy.
From www.numerade.com
SOLVEDIf the current through an inductor were doubled, the energy stored in the inductor would Inductor Potential Energy The work done is equal to the potential energy stored in the inductor. This can be proven by. For energy considerations, however, it does work well, and we will see that this extends to field energy. When a electric current is flowing in an inductor, there is energy stored in the magnetic field. When the electrons enter the inductor as. Inductor Potential Energy.
From physics.icalculator.com
Potential Energy stored in an Inductor Calculator Inductor Potential Energy Considering a pure inductor l, the. This can be proven by. For energy considerations, however, it does work well, and we will see that this extends to field energy. The work done is equal to the potential energy stored in the inductor. When a electric current is flowing in an inductor, there is energy stored in the magnetic field. Energy. Inductor Potential Energy.
From www.numerade.com
SOLVED The potential energy stored in a certain induc tor is 25 mJ, when the current Inductor Potential Energy Energy stored in the inductor is in the form of kinetic energy of electrons. Energy stored in inductor establishing a current in the inductor requires work. It is not in the form of potential energy. When the electrons enter the inductor as electric current, the kinetic energy from the moving electrons (current) is stored in the magnetic field of the. Inductor Potential Energy.
From slideplayer.com
Induction and Inductance III ppt download Inductor Potential Energy Energy stored in inductor establishing a current in the inductor requires work. Energy stored in an inductor is the potential energy due to the magnetic field created by current flowing through it. This can be proven by. When a electric current is flowing in an inductor, there is energy stored in the magnetic field. The work done is equal to. Inductor Potential Energy.
From nnlearn.blogspot.com
Potential Energy of Inductor Inductor Potential Energy For energy considerations, however, it does work well, and we will see that this extends to field energy. Energy stored in inductor establishing a current in the inductor requires work. When the electrons enter the inductor as electric current, the kinetic energy from the moving electrons (current) is stored in the magnetic field of the inductor. The potential energy stored. Inductor Potential Energy.
From angelicawee.blogspot.com
☑ How Energy Stored In An Inductor Inductor Potential Energy The work done is equal to the potential energy stored in the inductor. This can be proven by. When a electric current is flowing in an inductor, there is energy stored in the magnetic field. Considering a pure inductor l, the. The potential energy stored within a solenoid (which, as we stated above, is pretty much the design of every. Inductor Potential Energy.
From www.slideserve.com
PPT Chapter 34. Induction PowerPoint Presentation, free download ID5827115 Inductor Potential Energy The potential energy stored within a solenoid (which, as we stated above, is pretty much the design of every inductor) can be written in terms of the magnetic field within. The work done is equal to the potential energy stored in the inductor. Energy stored in an inductor is the potential energy due to the magnetic field created by current. Inductor Potential Energy.
From www.youtube.com
23.09 Energy Stored in an Inductor YouTube Inductor Potential Energy Energy stored in an inductor is the potential energy due to the magnetic field created by current flowing through it. When the electrons enter the inductor as electric current, the kinetic energy from the moving electrons (current) is stored in the magnetic field of the inductor. For energy considerations, however, it does work well, and we will see that this. Inductor Potential Energy.
From amyfree41fc228.blogspot.com
☑ Energy Of An Inductor Equation Inductor Potential Energy The potential energy stored within a solenoid (which, as we stated above, is pretty much the design of every inductor) can be written in terms of the magnetic field within. The work done is equal to the potential energy stored in the inductor. During the growth of the current in an inductor, at a time when the current is \(i\). Inductor Potential Energy.
From www.slideserve.com
PPT Ch 33 Induction PowerPoint Presentation, free download ID327713 Inductor Potential Energy Energy stored in an inductor is the potential energy due to the magnetic field created by current flowing through it. It is not in the form of potential energy. Energy stored in inductor establishing a current in the inductor requires work. During the growth of the current in an inductor, at a time when the current is \(i\) and the. Inductor Potential Energy.
From www.slideserve.com
PPT Ch 33 Induction PowerPoint Presentation, free download ID327713 Inductor Potential Energy When the electrons enter the inductor as electric current, the kinetic energy from the moving electrons (current) is stored in the magnetic field of the inductor. Energy stored in inductor establishing a current in the inductor requires work. It is not in the form of potential energy. The potential energy stored within a solenoid (which, as we stated above, is. Inductor Potential Energy.
From www.youtube.com
Energy Stored In an Inductor Field Energy Density YouTube Inductor Potential Energy During the growth of the current in an inductor, at a time when the current is \(i\) and the rate of increase of current is \(\dot i\), there will be a. Energy stored in the inductor is in the form of kinetic energy of electrons. Energy stored in an inductor is the potential energy due to the magnetic field created. Inductor Potential Energy.
From aibas3i.blogspot.com
Inductor And Inductance Ppt Inductor Potential Energy This can be proven by. It is not in the form of potential energy. Energy stored in an inductor is the potential energy due to the magnetic field created by current flowing through it. For energy considerations, however, it does work well, and we will see that this extends to field energy. When a electric current is flowing in an. Inductor Potential Energy.
From slideplayer.com
Energy in Electrical Systems ppt download Inductor Potential Energy When the electrons enter the inductor as electric current, the kinetic energy from the moving electrons (current) is stored in the magnetic field of the inductor. For energy considerations, however, it does work well, and we will see that this extends to field energy. Energy stored in inductor establishing a current in the inductor requires work. This can be proven. Inductor Potential Energy.
From www.youtube.com
Energy stored in an inductor how energy stored in inductor energy in inductor YouTube Inductor Potential Energy Energy stored in an inductor is the potential energy due to the magnetic field created by current flowing through it. Energy stored in inductor establishing a current in the inductor requires work. When a electric current is flowing in an inductor, there is energy stored in the magnetic field. Considering a pure inductor l, the. For energy considerations, however, it. Inductor Potential Energy.
From www.doubtnut.com
The potential energy stored in a certain inductor is 25mJ, wh Inductor Potential Energy Considering a pure inductor l, the. The potential energy stored within a solenoid (which, as we stated above, is pretty much the design of every inductor) can be written in terms of the magnetic field within. When a electric current is flowing in an inductor, there is energy stored in the magnetic field. Energy stored in an inductor is the. Inductor Potential Energy.
From alhaytlna.blogspot.com
Potential Difference Through Inductor Inductor Potential Energy Energy stored in the inductor is in the form of kinetic energy of electrons. The potential energy stored within a solenoid (which, as we stated above, is pretty much the design of every inductor) can be written in terms of the magnetic field within. For energy considerations, however, it does work well, and we will see that this extends to. Inductor Potential Energy.
From study.com
Inductor Definition, Formula & Uses Video & Lesson Transcript Inductor Potential Energy During the growth of the current in an inductor, at a time when the current is \(i\) and the rate of increase of current is \(\dot i\), there will be a. Energy stored in inductor establishing a current in the inductor requires work. Considering a pure inductor l, the. Energy stored in an inductor is the potential energy due to. Inductor Potential Energy.
From www.slideserve.com
PPT Chapter 34. Induction PowerPoint Presentation, free download ID6591790 Inductor Potential Energy Considering a pure inductor l, the. When the electrons enter the inductor as electric current, the kinetic energy from the moving electrons (current) is stored in the magnetic field of the inductor. During the growth of the current in an inductor, at a time when the current is \(i\) and the rate of increase of current is \(\dot i\), there. Inductor Potential Energy.
From www.youtube.com
Class 12th Power Factor & Energy stored in an inductor YouTube Inductor Potential Energy During the growth of the current in an inductor, at a time when the current is \(i\) and the rate of increase of current is \(\dot i\), there will be a. Energy stored in an inductor is the potential energy due to the magnetic field created by current flowing through it. Energy stored in inductor establishing a current in the. Inductor Potential Energy.
From nnlearn.blogspot.com
Potential Energy of Inductor Inductor Potential Energy When the electrons enter the inductor as electric current, the kinetic energy from the moving electrons (current) is stored in the magnetic field of the inductor. It is not in the form of potential energy. When a electric current is flowing in an inductor, there is energy stored in the magnetic field. This can be proven by. The potential energy. Inductor Potential Energy.