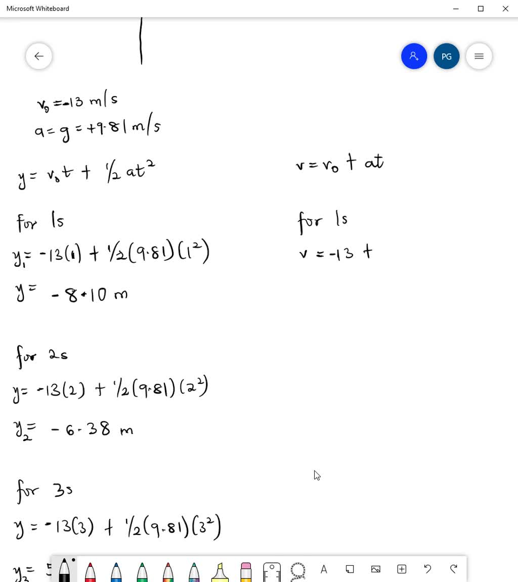
Sophia Throws A Rock Straight Up . The rock misses the edge of the cliff as it falls. To explore this question, calculate the velocity of the rock. The table shows the what type of function is represented? The answer is c) quadratic. Height of the rock in meters, y, at x seconds linear 0 v 3 8.75. What happens if the person on the cliff throws the rock straight down, instead of straight up? What happens if the person on the cliff throws the rock straight down, instead of straight up? Height of the rock in meters, y, at x seconds. To explore this question, calculate the velocity of the rock. A person standing on the edge of a high cliff throws a rock straight up with an initial velocity of 13.0 m/s. 44 people found it helpful. You can rightly guess that ballistic motion is described by a quadratic function. Sofia throws a rock straight up. Sofia throws a rock straight up. The table shows the what type of function is represented?
from mcthrows.com
The table shows the what type of function is represented? A person standing on the edge of a high cliff throws a rock straight up with an initial velocity of 13.0 m/s. What happens if the person on the cliff throws the rock straight down, instead of straight up? 44 people found it helpful. The answer is c) quadratic. The table shows the what type of function is represented? Height of the rock in meters, y, at x seconds linear 0 v 3 8.75. Height of the rock in meters, y, at x seconds. The rock misses the edge of the cliff as it falls. Sofia throws a rock straight up.
Lots to love about Sophia Rivera’s glide The Wonderful World of Throwing
Sophia Throws A Rock Straight Up A person standing on the edge of a high cliff throws a rock straight up with an initial velocity of 13.0 m/s. Sofia throws a rock straight up. Height of the rock in meters, y, at x seconds linear 0 v 3 8.75. A person standing on the edge of a high cliff throws a rock straight up with an initial velocity of 13.0 m/s. To explore this question, calculate the velocity of the rock. The table shows the what type of function is represented? What happens if the person on the cliff throws the rock straight down, instead of straight up? What happens if the person on the cliff throws the rock straight down, instead of straight up? The table shows the what type of function is represented? You can rightly guess that ballistic motion is described by a quadratic function. Sofia throws a rock straight up. 44 people found it helpful. To explore this question, calculate the velocity of the rock. The answer is c) quadratic. Height of the rock in meters, y, at x seconds. The rock misses the edge of the cliff as it falls.
From www.numerade.com
SOLVED An attacker at the base of a castle wall 3.65 m high throws a Sophia Throws A Rock Straight Up To explore this question, calculate the velocity of the rock. A person standing on the edge of a high cliff throws a rock straight up with an initial velocity of 13.0 m/s. Sofia throws a rock straight up. To explore this question, calculate the velocity of the rock. What happens if the person on the cliff throws the rock straight. Sophia Throws A Rock Straight Up.
From www.youtube.com
Sophia throws a bomb sfm animation YouTube Sophia Throws A Rock Straight Up To explore this question, calculate the velocity of the rock. The table shows the what type of function is represented? To explore this question, calculate the velocity of the rock. What happens if the person on the cliff throws the rock straight down, instead of straight up? 44 people found it helpful. Height of the rock in meters, y, at. Sophia Throws A Rock Straight Up.
From www.chegg.com
Solved 3. An astronaut on a distant wants to Sophia Throws A Rock Straight Up Sofia throws a rock straight up. To explore this question, calculate the velocity of the rock. The rock misses the edge of the cliff as it falls. What happens if the person on the cliff throws the rock straight down, instead of straight up? The answer is c) quadratic. What happens if the person on the cliff throws the rock. Sophia Throws A Rock Straight Up.
From www.chegg.com
Solved An astronaut on the Moon throws a rock straight up Sophia Throws A Rock Straight Up Height of the rock in meters, y, at x seconds linear 0 v 3 8.75. To explore this question, calculate the velocity of the rock. The table shows the what type of function is represented? The answer is c) quadratic. Height of the rock in meters, y, at x seconds. Sofia throws a rock straight up. You can rightly guess. Sophia Throws A Rock Straight Up.
From www.coursehero.com
Falling Objects Physics Course Hero Sophia Throws A Rock Straight Up Sofia throws a rock straight up. Height of the rock in meters, y, at x seconds. The rock misses the edge of the cliff as it falls. Height of the rock in meters, y, at x seconds linear 0 v 3 8.75. Sofia throws a rock straight up. The table shows the what type of function is represented? What happens. Sophia Throws A Rock Straight Up.
From www.chegg.com
Solved A person throws a rock straight up with an initial Sophia Throws A Rock Straight Up To explore this question, calculate the velocity of the rock. Height of the rock in meters, y, at x seconds linear 0 v 3 8.75. A person standing on the edge of a high cliff throws a rock straight up with an initial velocity of 13.0 m/s. What happens if the person on the cliff throws the rock straight down,. Sophia Throws A Rock Straight Up.
From www.numerade.com
SOLVEDAn attacker at the base of a castle wall 3.65 m high throws a Sophia Throws A Rock Straight Up A person standing on the edge of a high cliff throws a rock straight up with an initial velocity of 13.0 m/s. What happens if the person on the cliff throws the rock straight down, instead of straight up? Height of the rock in meters, y, at x seconds. Height of the rock in meters, y, at x seconds linear. Sophia Throws A Rock Straight Up.
From slideplayer.com
COLLEGE PHYSICS Chapter 2 KINEMATICS PowerPoint Image Slideshow. ppt Sophia Throws A Rock Straight Up The table shows the what type of function is represented? Height of the rock in meters, y, at x seconds. The answer is c) quadratic. A person standing on the edge of a high cliff throws a rock straight up with an initial velocity of 13.0 m/s. To explore this question, calculate the velocity of the rock. Height of the. Sophia Throws A Rock Straight Up.
From www.chegg.com
Solved A dynamite blast throws a rock straight up with an Sophia Throws A Rock Straight Up The table shows the what type of function is represented? The answer is c) quadratic. To explore this question, calculate the velocity of the rock. Sofia throws a rock straight up. You can rightly guess that ballistic motion is described by a quadratic function. What happens if the person on the cliff throws the rock straight down, instead of straight. Sophia Throws A Rock Straight Up.
From www.chegg.com
Solved 4. An astronaut on a distant throws a rock Sophia Throws A Rock Straight Up Height of the rock in meters, y, at x seconds. To explore this question, calculate the velocity of the rock. The table shows the what type of function is represented? The answer is c) quadratic. What happens if the person on the cliff throws the rock straight down, instead of straight up? To explore this question, calculate the velocity of. Sophia Throws A Rock Straight Up.
From www.chegg.com
Solved Astudent throws a rock straight up into the air with Sophia Throws A Rock Straight Up The table shows the what type of function is represented? To explore this question, calculate the velocity of the rock. To explore this question, calculate the velocity of the rock. A person standing on the edge of a high cliff throws a rock straight up with an initial velocity of 13.0 m/s. Height of the rock in meters, y, at. Sophia Throws A Rock Straight Up.
From www.chegg.com
Solved 5. A student throws a rock straight up into the air Sophia Throws A Rock Straight Up What happens if the person on the cliff throws the rock straight down, instead of straight up? The rock misses the edge of the cliff as it falls. You can rightly guess that ballistic motion is described by a quadratic function. Sofia throws a rock straight up. A person standing on the edge of a high cliff throws a rock. Sophia Throws A Rock Straight Up.
From mcthrows.com
Lots to love about Sophia Rivera’s glide The Wonderful World of Throwing Sophia Throws A Rock Straight Up The rock misses the edge of the cliff as it falls. Height of the rock in meters, y, at x seconds. The table shows the what type of function is represented? What happens if the person on the cliff throws the rock straight down, instead of straight up? The answer is c) quadratic. Height of the rock in meters, y,. Sophia Throws A Rock Straight Up.
From www.chegg.com
Solved 8. A person in an underground cave throws a rock Sophia Throws A Rock Straight Up The table shows the what type of function is represented? Height of the rock in meters, y, at x seconds. The table shows the what type of function is represented? To explore this question, calculate the velocity of the rock. You can rightly guess that ballistic motion is described by a quadratic function. 44 people found it helpful. A person. Sophia Throws A Rock Straight Up.
From www.numerade.com
You throw a small rock straight up from the edge of a highway bridge Sophia Throws A Rock Straight Up To explore this question, calculate the velocity of the rock. The rock misses the edge of the cliff as it falls. To explore this question, calculate the velocity of the rock. 44 people found it helpful. The answer is c) quadratic. Sofia throws a rock straight up. Height of the rock in meters, y, at x seconds. The table shows. Sophia Throws A Rock Straight Up.
From www.numerade.com
SOLVED A person standing on the edge of a high cliff throws a rock Sophia Throws A Rock Straight Up To explore this question, calculate the velocity of the rock. The table shows the what type of function is represented? A person standing on the edge of a high cliff throws a rock straight up with an initial velocity of 13.0 m/s. You can rightly guess that ballistic motion is described by a quadratic function. The answer is c) quadratic.. Sophia Throws A Rock Straight Up.
From www.gauthmath.com
Sophia throws a ball up in the air. The graph below shows the height of Sophia Throws A Rock Straight Up Sofia throws a rock straight up. To explore this question, calculate the velocity of the rock. The table shows the what type of function is represented? 44 people found it helpful. To explore this question, calculate the velocity of the rock. The table shows the what type of function is represented? What happens if the person on the cliff throws. Sophia Throws A Rock Straight Up.
From www.chegg.com
Solved engrnysics b Motion in or HW5Motion in one Sophia Throws A Rock Straight Up To explore this question, calculate the velocity of the rock. What happens if the person on the cliff throws the rock straight down, instead of straight up? You can rightly guess that ballistic motion is described by a quadratic function. Sofia throws a rock straight up. Height of the rock in meters, y, at x seconds. The rock misses the. Sophia Throws A Rock Straight Up.
From www.chegg.com
Solved An attacker at the base of a castle wall 4.00 m high Sophia Throws A Rock Straight Up The answer is c) quadratic. 44 people found it helpful. To explore this question, calculate the velocity of the rock. What happens if the person on the cliff throws the rock straight down, instead of straight up? Sofia throws a rock straight up. A person standing on the edge of a high cliff throws a rock straight up with an. Sophia Throws A Rock Straight Up.
From www.numerade.com
SOLVED A person standing on the edge of a high cliff throws a rock Sophia Throws A Rock Straight Up The answer is c) quadratic. To explore this question, calculate the velocity of the rock. Sofia throws a rock straight up. The table shows the what type of function is represented? The rock misses the edge of the cliff as it falls. Height of the rock in meters, y, at x seconds. Height of the rock in meters, y, at. Sophia Throws A Rock Straight Up.
From www.gauthmath.com
Solved Sophia throws a ball up in the air. The graph below shows the Sophia Throws A Rock Straight Up The rock misses the edge of the cliff as it falls. The answer is c) quadratic. What happens if the person on the cliff throws the rock straight down, instead of straight up? What happens if the person on the cliff throws the rock straight down, instead of straight up? Sofia throws a rock straight up. Height of the rock. Sophia Throws A Rock Straight Up.
From www.chegg.com
Solved An attacker at the base of a castle wall 3.90 m high Sophia Throws A Rock Straight Up The answer is c) quadratic. What happens if the person on the cliff throws the rock straight down, instead of straight up? Height of the rock in meters, y, at x seconds linear 0 v 3 8.75. The table shows the what type of function is represented? The rock misses the edge of the cliff as it falls. Sofia throws. Sophia Throws A Rock Straight Up.
From www.chegg.com
Solved A dynamite blast blows a heavy rock straight up with Sophia Throws A Rock Straight Up Height of the rock in meters, y, at x seconds linear 0 v 3 8.75. The table shows the what type of function is represented? Sofia throws a rock straight up. The table shows the what type of function is represented? To explore this question, calculate the velocity of the rock. To explore this question, calculate the velocity of the. Sophia Throws A Rock Straight Up.
From www.chegg.com
Solved tongue? 75. II Heather and Jerry are standing on a Sophia Throws A Rock Straight Up Height of the rock in meters, y, at x seconds. Height of the rock in meters, y, at x seconds linear 0 v 3 8.75. Sofia throws a rock straight up. A person standing on the edge of a high cliff throws a rock straight up with an initial velocity of 13.0 m/s. 44 people found it helpful. To explore. Sophia Throws A Rock Straight Up.
From www.numerade.com
SOLVED A person standing on the edge of a high cliff throws a rock Sophia Throws A Rock Straight Up 44 people found it helpful. Height of the rock in meters, y, at x seconds linear 0 v 3 8.75. You can rightly guess that ballistic motion is described by a quadratic function. The table shows the what type of function is represented? Height of the rock in meters, y, at x seconds. To explore this question, calculate the velocity. Sophia Throws A Rock Straight Up.
From www.chegg.com
Solved A person throws a rock straight up into the air. Two Sophia Throws A Rock Straight Up Height of the rock in meters, y, at x seconds linear 0 v 3 8.75. Sofia throws a rock straight up. Sofia throws a rock straight up. The table shows the what type of function is represented? To explore this question, calculate the velocity of the rock. A person standing on the edge of a high cliff throws a rock. Sophia Throws A Rock Straight Up.
From www.chegg.com
Solved A person throws a rock straight up into the air. At Sophia Throws A Rock Straight Up Sofia throws a rock straight up. To explore this question, calculate the velocity of the rock. The table shows the what type of function is represented? The table shows the what type of function is represented? Sofia throws a rock straight up. To explore this question, calculate the velocity of the rock. What happens if the person on the cliff. Sophia Throws A Rock Straight Up.
From www.numerade.com
SOLVED A child standing on bridge throws rock straight up It rises for Sophia Throws A Rock Straight Up The rock misses the edge of the cliff as it falls. What happens if the person on the cliff throws the rock straight down, instead of straight up? What happens if the person on the cliff throws the rock straight down, instead of straight up? Sofia throws a rock straight up. Sofia throws a rock straight up. Height of the. Sophia Throws A Rock Straight Up.
From www.chegg.com
Solved 4. Throwing a Rock A rock is thrown straight up from Sophia Throws A Rock Straight Up Sofia throws a rock straight up. The table shows the what type of function is represented? To explore this question, calculate the velocity of the rock. The table shows the what type of function is represented? What happens if the person on the cliff throws the rock straight down, instead of straight up? The answer is c) quadratic. A person. Sophia Throws A Rock Straight Up.
From www.numerade.com
SOLVED An attacker at the base of a castle wall 3.65 m high throws a Sophia Throws A Rock Straight Up To explore this question, calculate the velocity of the rock. The table shows the what type of function is represented? Sofia throws a rock straight up. To explore this question, calculate the velocity of the rock. You can rightly guess that ballistic motion is described by a quadratic function. The answer is c) quadratic. Height of the rock in meters,. Sophia Throws A Rock Straight Up.
From exonsmtll.blob.core.windows.net
A Girl Throws A Rock Horizontally With A Velocity Of 10 M/S at David Sophia Throws A Rock Straight Up Height of the rock in meters, y, at x seconds. What happens if the person on the cliff throws the rock straight down, instead of straight up? 44 people found it helpful. Sofia throws a rock straight up. The answer is c) quadratic. You can rightly guess that ballistic motion is described by a quadratic function. Height of the rock. Sophia Throws A Rock Straight Up.
From www.chegg.com
Solved An attacker at the base of a castle wall 3.85 m high Sophia Throws A Rock Straight Up The table shows the what type of function is represented? 44 people found it helpful. To explore this question, calculate the velocity of the rock. Height of the rock in meters, y, at x seconds. The rock misses the edge of the cliff as it falls. A person standing on the edge of a high cliff throws a rock straight. Sophia Throws A Rock Straight Up.
From www.chegg.com
Solved 6. An astronaut on a distant wants to Sophia Throws A Rock Straight Up To explore this question, calculate the velocity of the rock. A person standing on the edge of a high cliff throws a rock straight up with an initial velocity of 13.0 m/s. Sofia throws a rock straight up. 44 people found it helpful. The rock misses the edge of the cliff as it falls. What happens if the person on. Sophia Throws A Rock Straight Up.
From www.chegg.com
Solved A child standing on a bridge throws a rock straight Sophia Throws A Rock Straight Up You can rightly guess that ballistic motion is described by a quadratic function. Height of the rock in meters, y, at x seconds. The rock misses the edge of the cliff as it falls. The table shows the what type of function is represented? Sofia throws a rock straight up. Height of the rock in meters, y, at x seconds. Sophia Throws A Rock Straight Up.
From www.chegg.com
Solved 8. A person (point A) in an underground cave throws a Sophia Throws A Rock Straight Up 44 people found it helpful. A person standing on the edge of a high cliff throws a rock straight up with an initial velocity of 13.0 m/s. The answer is c) quadratic. The table shows the what type of function is represented? You can rightly guess that ballistic motion is described by a quadratic function. To explore this question, calculate. Sophia Throws A Rock Straight Up.