How To Work Out Percentage Increase Backwards . The method and process described on this page explains how to reverse a given percentage increase or decrease to find an original amount. To find the original price we need to do the inverse (or. Using reverse percentages is a way of working backwards on a percentages problem in order to find the original amount. If the percentage is an. To reverse a percentage change:. But we have the final amount, not the original. Finding the reverse percentage of a number in 3 easy steps. Original × 1.2 = final. Original × 1.2 = 120. Here we will learn about reverse percentages (or inverse percentages) including how to work backwards to find an original amount given a percentage of that amount or a. Reverse percentages help us to work out the original price or value of an item after it has been increased or decreased in value, for example,. In order to do this, we:. Having discussed how to calculate the percent change between two numbers, and how to apply such a change to one number to. Step 1) get the percentage of the original number.
from www.pinterest.com
But we have the final amount, not the original. Original × 1.2 = final. In order to do this, we:. Reverse percentages help us to work out the original price or value of an item after it has been increased or decreased in value, for example,. Having discussed how to calculate the percent change between two numbers, and how to apply such a change to one number to. Using reverse percentages is a way of working backwards on a percentages problem in order to find the original amount. Original × 1.2 = 120. Finding the reverse percentage of a number in 3 easy steps. To find the original price we need to do the inverse (or. The method and process described on this page explains how to reverse a given percentage increase or decrease to find an original amount.
With our percentages worksheets, students will practice how to turn a
How To Work Out Percentage Increase Backwards Using reverse percentages is a way of working backwards on a percentages problem in order to find the original amount. Original × 1.2 = final. But we have the final amount, not the original. The method and process described on this page explains how to reverse a given percentage increase or decrease to find an original amount. To reverse a percentage change:. Finding the reverse percentage of a number in 3 easy steps. In order to do this, we:. Here we will learn about reverse percentages (or inverse percentages) including how to work backwards to find an original amount given a percentage of that amount or a. Step 1) get the percentage of the original number. Original × 1.2 = 120. Reverse percentages help us to work out the original price or value of an item after it has been increased or decreased in value, for example,. To find the original price we need to do the inverse (or. If the percentage is an. Having discussed how to calculate the percent change between two numbers, and how to apply such a change to one number to. Using reverse percentages is a way of working backwards on a percentages problem in order to find the original amount.
From mathsathome.com
How to Calculate an Original Amount Using Reverse Percentages How To Work Out Percentage Increase Backwards Step 1) get the percentage of the original number. The method and process described on this page explains how to reverse a given percentage increase or decrease to find an original amount. To reverse a percentage change:. In order to do this, we:. Reverse percentages help us to work out the original price or value of an item after it. How To Work Out Percentage Increase Backwards.
From www.youtube.com
Reverse Percentages (Edexcel GCSE Maths) YouTube How To Work Out Percentage Increase Backwards Having discussed how to calculate the percent change between two numbers, and how to apply such a change to one number to. Reverse percentages help us to work out the original price or value of an item after it has been increased or decreased in value, for example,. Original × 1.2 = 120. Using reverse percentages is a way of. How To Work Out Percentage Increase Backwards.
From www.pinterest.com
With our percentages worksheets, students will practice how to turn a How To Work Out Percentage Increase Backwards In order to do this, we:. Using reverse percentages is a way of working backwards on a percentages problem in order to find the original amount. To find the original price we need to do the inverse (or. Finding the reverse percentage of a number in 3 easy steps. If the percentage is an. Reverse percentages help us to work. How To Work Out Percentage Increase Backwards.
From mathsathome.com
How to Calculate an Original Amount Using Reverse Percentages How To Work Out Percentage Increase Backwards If the percentage is an. To reverse a percentage change:. To find the original price we need to do the inverse (or. Finding the reverse percentage of a number in 3 easy steps. The method and process described on this page explains how to reverse a given percentage increase or decrease to find an original amount. Original × 1.2 =. How To Work Out Percentage Increase Backwards.
From mathsathome.com
How to Calculate an Original Amount Using Reverse Percentages How To Work Out Percentage Increase Backwards Using reverse percentages is a way of working backwards on a percentages problem in order to find the original amount. To find the original price we need to do the inverse (or. Having discussed how to calculate the percent change between two numbers, and how to apply such a change to one number to. But we have the final amount,. How To Work Out Percentage Increase Backwards.
From www.youtube.com
Reverse Percentages GCSE Mathematics Revision YouTube How To Work Out Percentage Increase Backwards Reverse percentages help us to work out the original price or value of an item after it has been increased or decreased in value, for example,. Finding the reverse percentage of a number in 3 easy steps. Original × 1.2 = 120. In order to do this, we:. Here we will learn about reverse percentages (or inverse percentages) including how. How To Work Out Percentage Increase Backwards.
From www.youtube.com
Working backwards mean median YouTube How To Work Out Percentage Increase Backwards But we have the final amount, not the original. Original × 1.2 = 120. Finding the reverse percentage of a number in 3 easy steps. Original × 1.2 = final. Using reverse percentages is a way of working backwards on a percentages problem in order to find the original amount. To reverse a percentage change:. If the percentage is an.. How To Work Out Percentage Increase Backwards.
From haipernews.com
How To Calculate Discount Backwards Haiper How To Work Out Percentage Increase Backwards Using reverse percentages is a way of working backwards on a percentages problem in order to find the original amount. Step 1) get the percentage of the original number. Reverse percentages help us to work out the original price or value of an item after it has been increased or decreased in value, for example,. To find the original price. How To Work Out Percentage Increase Backwards.
From www.youtube.com
Reverse Percentages how to find an original amount YouTube How To Work Out Percentage Increase Backwards In order to do this, we:. Original × 1.2 = 120. But we have the final amount, not the original. Using reverse percentages is a way of working backwards on a percentages problem in order to find the original amount. Original × 1.2 = final. Reverse percentages help us to work out the original price or value of an item. How To Work Out Percentage Increase Backwards.
From haipernews.com
How To Calculate Percentage Backwards Haiper How To Work Out Percentage Increase Backwards But we have the final amount, not the original. To find the original price we need to do the inverse (or. To reverse a percentage change:. Reverse percentages help us to work out the original price or value of an item after it has been increased or decreased in value, for example,. Step 1) get the percentage of the original. How To Work Out Percentage Increase Backwards.
From www.youtube.com
Lesson 4 Percent Backwards Increase Example YouTube How To Work Out Percentage Increase Backwards If the percentage is an. Original × 1.2 = final. To reverse a percentage change:. Using reverse percentages is a way of working backwards on a percentages problem in order to find the original amount. But we have the final amount, not the original. Finding the reverse percentage of a number in 3 easy steps. Reverse percentages help us to. How To Work Out Percentage Increase Backwards.
From www.youtube.com
How to calculate percentage change Reverse Percentages Finding How To Work Out Percentage Increase Backwards Using reverse percentages is a way of working backwards on a percentages problem in order to find the original amount. Finding the reverse percentage of a number in 3 easy steps. Original × 1.2 = final. Step 1) get the percentage of the original number. If the percentage is an. To find the original price we need to do the. How To Work Out Percentage Increase Backwards.
From haipernews.com
How To Calculate Percentage Increase Backwards Haiper How To Work Out Percentage Increase Backwards The method and process described on this page explains how to reverse a given percentage increase or decrease to find an original amount. Having discussed how to calculate the percent change between two numbers, and how to apply such a change to one number to. Original × 1.2 = final. Original × 1.2 = 120. To find the original price. How To Work Out Percentage Increase Backwards.
From www.youtube.com
Reverse Percentages YouTube How To Work Out Percentage Increase Backwards Finding the reverse percentage of a number in 3 easy steps. Using reverse percentages is a way of working backwards on a percentages problem in order to find the original amount. But we have the final amount, not the original. Step 1) get the percentage of the original number. In order to do this, we:. Having discussed how to calculate. How To Work Out Percentage Increase Backwards.
From mr-mathematics.com
Calculating a Reverse Percentage How To Work Out Percentage Increase Backwards If the percentage is an. Having discussed how to calculate the percent change between two numbers, and how to apply such a change to one number to. Original × 1.2 = 120. Here we will learn about reverse percentages (or inverse percentages) including how to work backwards to find an original amount given a percentage of that amount or a.. How To Work Out Percentage Increase Backwards.
From www.wikihow.com
Four Easy Ways to Calculate Percentages wikiHow How To Work Out Percentage Increase Backwards To find the original price we need to do the inverse (or. Original × 1.2 = 120. But we have the final amount, not the original. Using reverse percentages is a way of working backwards on a percentages problem in order to find the original amount. Original × 1.2 = final. Having discussed how to calculate the percent change between. How To Work Out Percentage Increase Backwards.
From calculator.services
Backwards Percentage Calculator Calculator Services How To Work Out Percentage Increase Backwards In order to do this, we:. The method and process described on this page explains how to reverse a given percentage increase or decrease to find an original amount. Original × 1.2 = final. To reverse a percentage change:. Step 1) get the percentage of the original number. Having discussed how to calculate the percent change between two numbers, and. How To Work Out Percentage Increase Backwards.
From startingpointsmaths.com
Reverse Percentages Starting Points Maths How To Work Out Percentage Increase Backwards To reverse a percentage change:. But we have the final amount, not the original. If the percentage is an. The method and process described on this page explains how to reverse a given percentage increase or decrease to find an original amount. In order to do this, we:. Reverse percentages help us to work out the original price or value. How To Work Out Percentage Increase Backwards.
From www.youtube.com
Reverse Percentages Explained Step by Step Method Worked Example 2 How To Work Out Percentage Increase Backwards Original × 1.2 = final. To reverse a percentage change:. Finding the reverse percentage of a number in 3 easy steps. To find the original price we need to do the inverse (or. Original × 1.2 = 120. Here we will learn about reverse percentages (or inverse percentages) including how to work backwards to find an original amount given a. How To Work Out Percentage Increase Backwards.
From www.wikihow.com
Four Easy Ways to Calculate Percentages wikiHow How To Work Out Percentage Increase Backwards Finding the reverse percentage of a number in 3 easy steps. Here we will learn about reverse percentages (or inverse percentages) including how to work backwards to find an original amount given a percentage of that amount or a. To find the original price we need to do the inverse (or. Using reverse percentages is a way of working backwards. How To Work Out Percentage Increase Backwards.
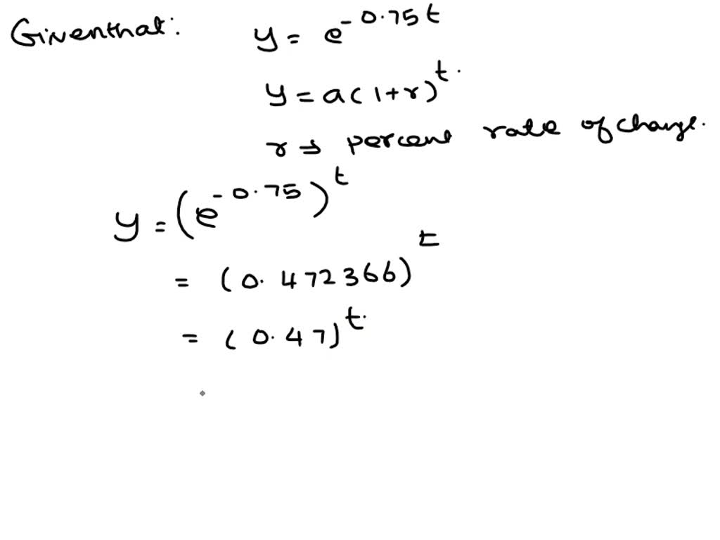
From www.numerade.com
SOLVED Use the properties of exponents to rewrite the function in the How To Work Out Percentage Increase Backwards Here we will learn about reverse percentages (or inverse percentages) including how to work backwards to find an original amount given a percentage of that amount or a. To find the original price we need to do the inverse (or. Original × 1.2 = 120. Finding the reverse percentage of a number in 3 easy steps. If the percentage is. How To Work Out Percentage Increase Backwards.
From www.youtube.com
Percentage at Primary 5 working backwards made visual YouTube How To Work Out Percentage Increase Backwards If the percentage is an. Reverse percentages help us to work out the original price or value of an item after it has been increased or decreased in value, for example,. Here we will learn about reverse percentages (or inverse percentages) including how to work backwards to find an original amount given a percentage of that amount or a. Step. How To Work Out Percentage Increase Backwards.
From mathsathome.com
How to Calculate an Original Amount Using Reverse Percentages How To Work Out Percentage Increase Backwards If the percentage is an. Reverse percentages help us to work out the original price or value of an item after it has been increased or decreased in value, for example,. Original × 1.2 = 120. But we have the final amount, not the original. To reverse a percentage change:. Original × 1.2 = final. The method and process described. How To Work Out Percentage Increase Backwards.
From thirdspacelearning.com
Reverse Percentages GCSE Maths Steps, Examples & Worksheet How To Work Out Percentage Increase Backwards Original × 1.2 = final. In order to do this, we:. To reverse a percentage change:. But we have the final amount, not the original. Finding the reverse percentage of a number in 3 easy steps. If the percentage is an. Having discussed how to calculate the percent change between two numbers, and how to apply such a change to. How To Work Out Percentage Increase Backwards.
From teachpedia.blogspot.com
How to Calculate Percentages Teachpedia How To Work Out Percentage Increase Backwards Step 1) get the percentage of the original number. Original × 1.2 = final. But we have the final amount, not the original. Here we will learn about reverse percentages (or inverse percentages) including how to work backwards to find an original amount given a percentage of that amount or a. Using reverse percentages is a way of working backwards. How To Work Out Percentage Increase Backwards.
From www.youtube.com
Working Backwards Percent Problems Finding the Original Price or Amount How To Work Out Percentage Increase Backwards Original × 1.2 = final. Having discussed how to calculate the percent change between two numbers, and how to apply such a change to one number to. Step 1) get the percentage of the original number. The method and process described on this page explains how to reverse a given percentage increase or decrease to find an original amount. Original. How To Work Out Percentage Increase Backwards.
From math25project.weebly.com
Percentages Math 25 Digital Textbook How To Work Out Percentage Increase Backwards Here we will learn about reverse percentages (or inverse percentages) including how to work backwards to find an original amount given a percentage of that amount or a. To find the original price we need to do the inverse (or. But we have the final amount, not the original. Finding the reverse percentage of a number in 3 easy steps.. How To Work Out Percentage Increase Backwards.
From www.slideserve.com
PPT Statistical Analysis Chapter 4 Normal Distribution PowerPoint How To Work Out Percentage Increase Backwards To reverse a percentage change:. Using reverse percentages is a way of working backwards on a percentages problem in order to find the original amount. In order to do this, we:. To find the original price we need to do the inverse (or. But we have the final amount, not the original. Having discussed how to calculate the percent change. How To Work Out Percentage Increase Backwards.
From www.bbc.co.uk
How to work out a percentage original value before percentage decrease How To Work Out Percentage Increase Backwards Step 1) get the percentage of the original number. Using reverse percentages is a way of working backwards on a percentages problem in order to find the original amount. Reverse percentages help us to work out the original price or value of an item after it has been increased or decreased in value, for example,. In order to do this,. How To Work Out Percentage Increase Backwards.
From mr-mathematics.com
Calculating a Reverse Percentage How To Work Out Percentage Increase Backwards To find the original price we need to do the inverse (or. Using reverse percentages is a way of working backwards on a percentages problem in order to find the original amount. Original × 1.2 = 120. Here we will learn about reverse percentages (or inverse percentages) including how to work backwards to find an original amount given a percentage. How To Work Out Percentage Increase Backwards.
From www.youtube.com
Mean average working backwards YouTube How To Work Out Percentage Increase Backwards Here we will learn about reverse percentages (or inverse percentages) including how to work backwards to find an original amount given a percentage of that amount or a. Finding the reverse percentage of a number in 3 easy steps. If the percentage is an. Original × 1.2 = 120. Using reverse percentages is a way of working backwards on a. How To Work Out Percentage Increase Backwards.
From mathsathome.com
How to Calculate an Original Amount Using Reverse Percentages How To Work Out Percentage Increase Backwards Step 1) get the percentage of the original number. Having discussed how to calculate the percent change between two numbers, and how to apply such a change to one number to. In order to do this, we:. Reverse percentages help us to work out the original price or value of an item after it has been increased or decreased in. How To Work Out Percentage Increase Backwards.
From mr-mathematics.com
reverse percentage calculator Archives How To Work Out Percentage Increase Backwards Original × 1.2 = 120. Having discussed how to calculate the percent change between two numbers, and how to apply such a change to one number to. The method and process described on this page explains how to reverse a given percentage increase or decrease to find an original amount. Reverse percentages help us to work out the original price. How To Work Out Percentage Increase Backwards.
From haipernews.com
How To Calculate Percentage Increase Backwards Haiper How To Work Out Percentage Increase Backwards Original × 1.2 = 120. To find the original price we need to do the inverse (or. Finding the reverse percentage of a number in 3 easy steps. In order to do this, we:. Reverse percentages help us to work out the original price or value of an item after it has been increased or decreased in value, for example,.. How To Work Out Percentage Increase Backwards.
From www.youtube.com
Reverse Percentages Corbettmaths YouTube How To Work Out Percentage Increase Backwards Here we will learn about reverse percentages (or inverse percentages) including how to work backwards to find an original amount given a percentage of that amount or a. Original × 1.2 = final. To find the original price we need to do the inverse (or. But we have the final amount, not the original. The method and process described on. How To Work Out Percentage Increase Backwards.