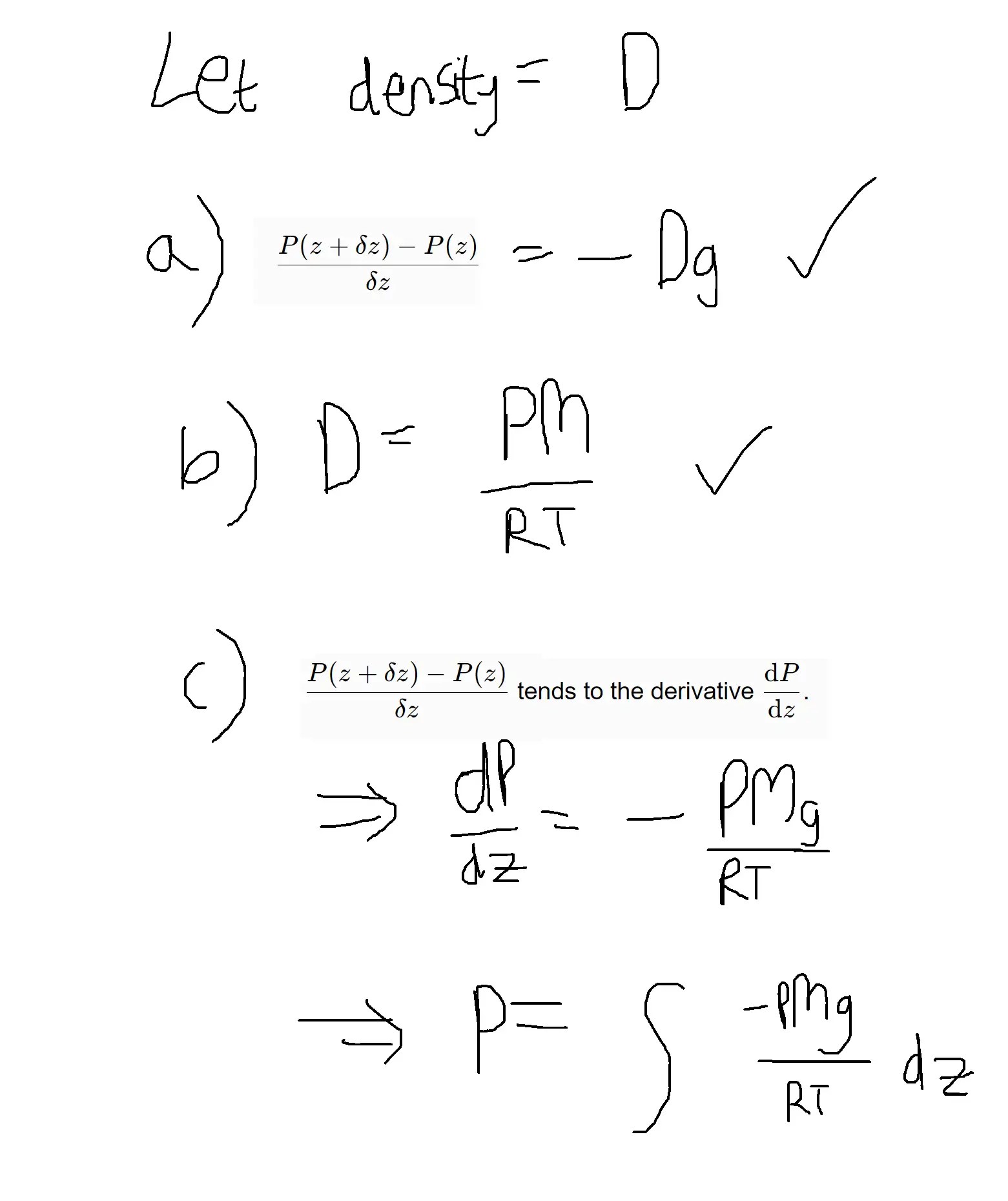
Barometric Formula Physical Chemistry . This article will show some less standard, but. The barometric formula, relating the pressure p(z) of an isothermal, ideal gas of molecular mass m at some height z to its pressure p~0! The barometric formula describes the decrease of air pressure with increasing altitude. At sea level the atmospheric pressure is about 1 bar. Most general and physical chemistry textbooks include the barometric formula given in eq. However, practice shows that the air. The development of the barometric formula makes use of a number of concepts from kinetic theory, such as the ideal gas law and the associated.
from www.studypool.com
The barometric formula describes the decrease of air pressure with increasing altitude. The barometric formula, relating the pressure p(z) of an isothermal, ideal gas of molecular mass m at some height z to its pressure p~0! However, practice shows that the air. At sea level the atmospheric pressure is about 1 bar. The development of the barometric formula makes use of a number of concepts from kinetic theory, such as the ideal gas law and the associated. Most general and physical chemistry textbooks include the barometric formula given in eq. This article will show some less standard, but.
SOLUTION Physical chemistry formula sheet Studypool
Barometric Formula Physical Chemistry This article will show some less standard, but. However, practice shows that the air. The barometric formula describes the decrease of air pressure with increasing altitude. The development of the barometric formula makes use of a number of concepts from kinetic theory, such as the ideal gas law and the associated. The barometric formula, relating the pressure p(z) of an isothermal, ideal gas of molecular mass m at some height z to its pressure p~0! Most general and physical chemistry textbooks include the barometric formula given in eq. At sea level the atmospheric pressure is about 1 bar. This article will show some less standard, but.
From www.slideserve.com
PPT Atmospheric chemistry PowerPoint Presentation, free download ID1385156 Barometric Formula Physical Chemistry The barometric formula describes the decrease of air pressure with increasing altitude. The barometric formula, relating the pressure p(z) of an isothermal, ideal gas of molecular mass m at some height z to its pressure p~0! Most general and physical chemistry textbooks include the barometric formula given in eq. This article will show some less standard, but. However, practice shows. Barometric Formula Physical Chemistry.
From en.ppt-online.org
Physics 1 for KMA online presentation Barometric Formula Physical Chemistry This article will show some less standard, but. The development of the barometric formula makes use of a number of concepts from kinetic theory, such as the ideal gas law and the associated. However, practice shows that the air. The barometric formula describes the decrease of air pressure with increasing altitude. Most general and physical chemistry textbooks include the barometric. Barometric Formula Physical Chemistry.
From byjus.com
Explain the how the variation of atmospheric pressure with height is exponential? Explain the Barometric Formula Physical Chemistry At sea level the atmospheric pressure is about 1 bar. However, practice shows that the air. The barometric formula, relating the pressure p(z) of an isothermal, ideal gas of molecular mass m at some height z to its pressure p~0! This article will show some less standard, but. The barometric formula describes the decrease of air pressure with increasing altitude.. Barometric Formula Physical Chemistry.
From www.youtube.com
Barometric Equation Derivation. YouTube Barometric Formula Physical Chemistry The barometric formula describes the decrease of air pressure with increasing altitude. At sea level the atmospheric pressure is about 1 bar. However, practice shows that the air. This article will show some less standard, but. The development of the barometric formula makes use of a number of concepts from kinetic theory, such as the ideal gas law and the. Barometric Formula Physical Chemistry.
From www.slideserve.com
PPT CHEMISTRY CONCEPTS (LAST CLASS) PowerPoint Presentation, free download ID1414785 Barometric Formula Physical Chemistry The barometric formula describes the decrease of air pressure with increasing altitude. At sea level the atmospheric pressure is about 1 bar. However, practice shows that the air. This article will show some less standard, but. The barometric formula, relating the pressure p(z) of an isothermal, ideal gas of molecular mass m at some height z to its pressure p~0!. Barometric Formula Physical Chemistry.
From thirdspacelearning.com
Pressure Formula GCSE Maths Steps, Examples & Worksheet Barometric Formula Physical Chemistry Most general and physical chemistry textbooks include the barometric formula given in eq. At sea level the atmospheric pressure is about 1 bar. This article will show some less standard, but. The development of the barometric formula makes use of a number of concepts from kinetic theory, such as the ideal gas law and the associated. The barometric formula, relating. Barometric Formula Physical Chemistry.
From www.studypool.com
SOLUTION Physical chemistry formula sheet Studypool Barometric Formula Physical Chemistry Most general and physical chemistry textbooks include the barometric formula given in eq. However, practice shows that the air. The barometric formula describes the decrease of air pressure with increasing altitude. The development of the barometric formula makes use of a number of concepts from kinetic theory, such as the ideal gas law and the associated. The barometric formula, relating. Barometric Formula Physical Chemistry.
From www.wikihow.com
How to Calculate Barometric Pressure 6 Steps (with Pictures) Barometric Formula Physical Chemistry The barometric formula describes the decrease of air pressure with increasing altitude. This article will show some less standard, but. The development of the barometric formula makes use of a number of concepts from kinetic theory, such as the ideal gas law and the associated. However, practice shows that the air. The barometric formula, relating the pressure p(z) of an. Barometric Formula Physical Chemistry.
From www.slideserve.com
PPT Lecture 5 Barometric formula and the Boltzmann equation (continued) PowerPoint Barometric Formula Physical Chemistry The barometric formula describes the decrease of air pressure with increasing altitude. The barometric formula, relating the pressure p(z) of an isothermal, ideal gas of molecular mass m at some height z to its pressure p~0! Most general and physical chemistry textbooks include the barometric formula given in eq. The development of the barometric formula makes use of a number. Barometric Formula Physical Chemistry.
From www.slideserve.com
PPT Lecture 5 Barometric formula and the Boltzmann equation (continued) PowerPoint Barometric Formula Physical Chemistry The barometric formula describes the decrease of air pressure with increasing altitude. Most general and physical chemistry textbooks include the barometric formula given in eq. The development of the barometric formula makes use of a number of concepts from kinetic theory, such as the ideal gas law and the associated. However, practice shows that the air. At sea level the. Barometric Formula Physical Chemistry.
From www.wikihow.com
How to Calculate Barometric Pressure 6 Steps (with Pictures) Barometric Formula Physical Chemistry The development of the barometric formula makes use of a number of concepts from kinetic theory, such as the ideal gas law and the associated. This article will show some less standard, but. However, practice shows that the air. At sea level the atmospheric pressure is about 1 bar. The barometric formula, relating the pressure p(z) of an isothermal, ideal. Barometric Formula Physical Chemistry.
From www.youtube.com
Barometric Formula Part 2 YouTube Barometric Formula Physical Chemistry The barometric formula, relating the pressure p(z) of an isothermal, ideal gas of molecular mass m at some height z to its pressure p~0! At sea level the atmospheric pressure is about 1 bar. This article will show some less standard, but. The development of the barometric formula makes use of a number of concepts from kinetic theory, such as. Barometric Formula Physical Chemistry.
From www.studypool.com
SOLUTION Derivation of Barometric Equation Studypool Barometric Formula Physical Chemistry Most general and physical chemistry textbooks include the barometric formula given in eq. The development of the barometric formula makes use of a number of concepts from kinetic theory, such as the ideal gas law and the associated. However, practice shows that the air. The barometric formula describes the decrease of air pressure with increasing altitude. The barometric formula, relating. Barometric Formula Physical Chemistry.
From www.youtube.com
Barometric equation when temperature varies with height Irodov Solutions 2.19 JEE Advanced Barometric Formula Physical Chemistry The barometric formula, relating the pressure p(z) of an isothermal, ideal gas of molecular mass m at some height z to its pressure p~0! At sea level the atmospheric pressure is about 1 bar. The barometric formula describes the decrease of air pressure with increasing altitude. This article will show some less standard, but. However, practice shows that the air.. Barometric Formula Physical Chemistry.
From www.youtube.com
Barometric formula(lecture 1)Professor Aziz Atif YouTube Barometric Formula Physical Chemistry The barometric formula describes the decrease of air pressure with increasing altitude. This article will show some less standard, but. Most general and physical chemistry textbooks include the barometric formula given in eq. The barometric formula, relating the pressure p(z) of an isothermal, ideal gas of molecular mass m at some height z to its pressure p~0! At sea level. Barometric Formula Physical Chemistry.
From www.slideserve.com
PPT Lecture N. 8 Thermodynamics (concepts, definitions, and basic principles) H. SAIBI Barometric Formula Physical Chemistry Most general and physical chemistry textbooks include the barometric formula given in eq. However, practice shows that the air. At sea level the atmospheric pressure is about 1 bar. This article will show some less standard, but. The barometric formula describes the decrease of air pressure with increasing altitude. The development of the barometric formula makes use of a number. Barometric Formula Physical Chemistry.
From www.studypool.com
SOLUTION Derivation of Barometric Equation Studypool Barometric Formula Physical Chemistry At sea level the atmospheric pressure is about 1 bar. The development of the barometric formula makes use of a number of concepts from kinetic theory, such as the ideal gas law and the associated. This article will show some less standard, but. The barometric formula, relating the pressure p(z) of an isothermal, ideal gas of molecular mass m at. Barometric Formula Physical Chemistry.
From www.tec-science.com
Derivation of the barometric formula (isothermal atmosphere) tecscience Barometric Formula Physical Chemistry This article will show some less standard, but. The barometric formula describes the decrease of air pressure with increasing altitude. However, practice shows that the air. The development of the barometric formula makes use of a number of concepts from kinetic theory, such as the ideal gas law and the associated. The barometric formula, relating the pressure p(z) of an. Barometric Formula Physical Chemistry.
From www.youtube.com
Barometric Formula Derived, Schwartz, Cal Poly Physics YouTube Barometric Formula Physical Chemistry This article will show some less standard, but. The development of the barometric formula makes use of a number of concepts from kinetic theory, such as the ideal gas law and the associated. Most general and physical chemistry textbooks include the barometric formula given in eq. At sea level the atmospheric pressure is about 1 bar. However, practice shows that. Barometric Formula Physical Chemistry.
From www.thestudentroom.co.uk
Barometric Formula Isaac Physics The Student Room Barometric Formula Physical Chemistry At sea level the atmospheric pressure is about 1 bar. Most general and physical chemistry textbooks include the barometric formula given in eq. The barometric formula, relating the pressure p(z) of an isothermal, ideal gas of molecular mass m at some height z to its pressure p~0! However, practice shows that the air. The barometric formula describes the decrease of. Barometric Formula Physical Chemistry.
From modern-physics.org
Barometric Formula Altitude, Pressure & Temperature Barometric Formula Physical Chemistry The barometric formula, relating the pressure p(z) of an isothermal, ideal gas of molecular mass m at some height z to its pressure p~0! The barometric formula describes the decrease of air pressure with increasing altitude. Most general and physical chemistry textbooks include the barometric formula given in eq. This article will show some less standard, but. At sea level. Barometric Formula Physical Chemistry.
From www.tec-science.com
Derivation of the barometric formula (adiabatic atmosphere) tecscience Barometric Formula Physical Chemistry The development of the barometric formula makes use of a number of concepts from kinetic theory, such as the ideal gas law and the associated. Most general and physical chemistry textbooks include the barometric formula given in eq. At sea level the atmospheric pressure is about 1 bar. However, practice shows that the air. The barometric formula, relating the pressure. Barometric Formula Physical Chemistry.
From www.youtube.com
Barometric Equations Variation of Pressure with Altitude. Fluid Statics YouTube Barometric Formula Physical Chemistry This article will show some less standard, but. At sea level the atmospheric pressure is about 1 bar. The barometric formula, relating the pressure p(z) of an isothermal, ideal gas of molecular mass m at some height z to its pressure p~0! The barometric formula describes the decrease of air pressure with increasing altitude. The development of the barometric formula. Barometric Formula Physical Chemistry.
From www.numerade.com
SOLVEDThe barometric formula p=p0 e^M g h / R T gives the pressure of a gas of molar mass M at Barometric Formula Physical Chemistry The development of the barometric formula makes use of a number of concepts from kinetic theory, such as the ideal gas law and the associated. The barometric formula, relating the pressure p(z) of an isothermal, ideal gas of molecular mass m at some height z to its pressure p~0! At sea level the atmospheric pressure is about 1 bar. This. Barometric Formula Physical Chemistry.
From www.slideserve.com
PPT Lecture 5 Barometric formula and the Boltzmann equation (continued) PowerPoint Barometric Formula Physical Chemistry At sea level the atmospheric pressure is about 1 bar. However, practice shows that the air. This article will show some less standard, but. The development of the barometric formula makes use of a number of concepts from kinetic theory, such as the ideal gas law and the associated. Most general and physical chemistry textbooks include the barometric formula given. Barometric Formula Physical Chemistry.
From www.scribd.com
Barometric Formula Wikipedia PDF Transparent Materials Statistical Mechanics Barometric Formula Physical Chemistry The barometric formula, relating the pressure p(z) of an isothermal, ideal gas of molecular mass m at some height z to its pressure p~0! Most general and physical chemistry textbooks include the barometric formula given in eq. At sea level the atmospheric pressure is about 1 bar. The development of the barometric formula makes use of a number of concepts. Barometric Formula Physical Chemistry.
From slidetodoc.com
Lecture 4 Barometric formula and the Boltzmann equation Barometric Formula Physical Chemistry However, practice shows that the air. At sea level the atmospheric pressure is about 1 bar. The barometric formula describes the decrease of air pressure with increasing altitude. The development of the barometric formula makes use of a number of concepts from kinetic theory, such as the ideal gas law and the associated. The barometric formula, relating the pressure p(z). Barometric Formula Physical Chemistry.
From www.scribd.com
Physical Chemistry Equation Summary 1 PDF Barometric Formula Physical Chemistry The barometric formula, relating the pressure p(z) of an isothermal, ideal gas of molecular mass m at some height z to its pressure p~0! At sea level the atmospheric pressure is about 1 bar. Most general and physical chemistry textbooks include the barometric formula given in eq. However, practice shows that the air. The development of the barometric formula makes. Barometric Formula Physical Chemistry.
From www.youtube.com
How to calculate barometric altitude YouTube Barometric Formula Physical Chemistry The development of the barometric formula makes use of a number of concepts from kinetic theory, such as the ideal gas law and the associated. At sea level the atmospheric pressure is about 1 bar. Most general and physical chemistry textbooks include the barometric formula given in eq. The barometric formula, relating the pressure p(z) of an isothermal, ideal gas. Barometric Formula Physical Chemistry.
From www.slideserve.com
PPT Lecture 4 Barometric formula and the Boltzmann equation Simple notions on Free Energy Barometric Formula Physical Chemistry The barometric formula, relating the pressure p(z) of an isothermal, ideal gas of molecular mass m at some height z to its pressure p~0! At sea level the atmospheric pressure is about 1 bar. The development of the barometric formula makes use of a number of concepts from kinetic theory, such as the ideal gas law and the associated. The. Barometric Formula Physical Chemistry.
From www.slideserve.com
PPT Lecture 5 Barometric formula and the Boltzmann equation (continued) PowerPoint Barometric Formula Physical Chemistry The development of the barometric formula makes use of a number of concepts from kinetic theory, such as the ideal gas law and the associated. However, practice shows that the air. At sea level the atmospheric pressure is about 1 bar. The barometric formula, relating the pressure p(z) of an isothermal, ideal gas of molecular mass m at some height. Barometric Formula Physical Chemistry.
From www.tec-science.com
Derivation of the barometric formula (isothermal atmosphere) tecscience Barometric Formula Physical Chemistry The barometric formula, relating the pressure p(z) of an isothermal, ideal gas of molecular mass m at some height z to its pressure p~0! At sea level the atmospheric pressure is about 1 bar. Most general and physical chemistry textbooks include the barometric formula given in eq. This article will show some less standard, but. The barometric formula describes the. Barometric Formula Physical Chemistry.
From www.studypool.com
SOLUTION Derivation of Barometric Equation Studypool Barometric Formula Physical Chemistry The development of the barometric formula makes use of a number of concepts from kinetic theory, such as the ideal gas law and the associated. The barometric formula, relating the pressure p(z) of an isothermal, ideal gas of molecular mass m at some height z to its pressure p~0! The barometric formula describes the decrease of air pressure with increasing. Barometric Formula Physical Chemistry.
From www.slideserve.com
PPT Lecture 4 Barometric formula and the Boltzmann equation Simple notions on Free Energy Barometric Formula Physical Chemistry The barometric formula, relating the pressure p(z) of an isothermal, ideal gas of molecular mass m at some height z to its pressure p~0! Most general and physical chemistry textbooks include the barometric formula given in eq. This article will show some less standard, but. At sea level the atmospheric pressure is about 1 bar. However, practice shows that the. Barometric Formula Physical Chemistry.
From www.tec-science.com
Derivation of the barometric formula (isothermal atmosphere) tecscience Barometric Formula Physical Chemistry This article will show some less standard, but. At sea level the atmospheric pressure is about 1 bar. However, practice shows that the air. Most general and physical chemistry textbooks include the barometric formula given in eq. The barometric formula describes the decrease of air pressure with increasing altitude. The development of the barometric formula makes use of a number. Barometric Formula Physical Chemistry.