Tester Contract Rates . Explore test analyst skill sets and latest job market statistics The it contract rate checker displays the average daily contract rates being paid for any given it skill. The median contractor rate for a tester is gbp 450 per day. Explore qa tester skill sets and latest job market statistics Enter your query and find your desired. Hourly rates for software testers on upwork typically range between $12 and $20. The median contractor rate for a qa tester is gbp 463 per day. The median contractor rate for a test analyst is gbp 413 per day. Explore software tester skill sets and latest job market. Learn how to set your freelance software testing rates and negotiate contracts with confidence in this essential guide for testers. Typically responds within 6 days. Hybrid work in bristol bs16 1ej. The median contractor rate for a software tester is gbp 575 per day. Explore tester skill sets and latest job market statistics
from www.youtube.com
Explore qa tester skill sets and latest job market statistics The median contractor rate for a tester is gbp 450 per day. The median contractor rate for a software tester is gbp 575 per day. The median contractor rate for a test analyst is gbp 413 per day. The it contract rate checker displays the average daily contract rates being paid for any given it skill. Hourly rates for software testers on upwork typically range between $12 and $20. Enter your query and find your desired. Hybrid work in bristol bs16 1ej. Learn how to set your freelance software testing rates and negotiate contracts with confidence in this essential guide for testers. The median contractor rate for a qa tester is gbp 463 per day.
What is Contract Testing in API automation + Demo (EA Weekly) YouTube
Tester Contract Rates Explore test analyst skill sets and latest job market statistics Explore test analyst skill sets and latest job market statistics The median contractor rate for a qa tester is gbp 463 per day. Typically responds within 6 days. Explore software tester skill sets and latest job market. The median contractor rate for a tester is gbp 450 per day. Hybrid work in bristol bs16 1ej. Explore tester skill sets and latest job market statistics Explore qa tester skill sets and latest job market statistics Enter your query and find your desired. Learn how to set your freelance software testing rates and negotiate contracts with confidence in this essential guide for testers. The it contract rate checker displays the average daily contract rates being paid for any given it skill. The median contractor rate for a software tester is gbp 575 per day. Hourly rates for software testers on upwork typically range between $12 and $20. The median contractor rate for a test analyst is gbp 413 per day.
From remotive.com
[Hiring] QA Tester (Contract) Mountaintop Tester Contract Rates Learn how to set your freelance software testing rates and negotiate contracts with confidence in this essential guide for testers. Hourly rates for software testers on upwork typically range between $12 and $20. Explore tester skill sets and latest job market statistics Explore qa tester skill sets and latest job market statistics Explore software tester skill sets and latest job. Tester Contract Rates.
From www.sensystechnologies.com
TDS Rate Chart » Sensys Blog. Tester Contract Rates The median contractor rate for a qa tester is gbp 463 per day. The it contract rate checker displays the average daily contract rates being paid for any given it skill. Hourly rates for software testers on upwork typically range between $12 and $20. Enter your query and find your desired. Hybrid work in bristol bs16 1ej. Typically responds within. Tester Contract Rates.
From www.mql5.com
MT5 Rates_total different in EA using Tester Strategy Tester Expert Tester Contract Rates Hourly rates for software testers on upwork typically range between $12 and $20. Enter your query and find your desired. The median contractor rate for a qa tester is gbp 463 per day. Learn how to set your freelance software testing rates and negotiate contracts with confidence in this essential guide for testers. Explore test analyst skill sets and latest. Tester Contract Rates.
From testsigma.com
A Complete Guide to API Contract Testing Tester Contract Rates Explore test analyst skill sets and latest job market statistics Explore tester skill sets and latest job market statistics The median contractor rate for a software tester is gbp 575 per day. Explore qa tester skill sets and latest job market statistics Learn how to set your freelance software testing rates and negotiate contracts with confidence in this essential guide. Tester Contract Rates.
From www.contzilla.ro
CONTRACTE Contabilitate fiscalitate monografii contabile Tester Contract Rates Explore test analyst skill sets and latest job market statistics Explore tester skill sets and latest job market statistics The median contractor rate for a software tester is gbp 575 per day. The median contractor rate for a qa tester is gbp 463 per day. Hourly rates for software testers on upwork typically range between $12 and $20. Learn how. Tester Contract Rates.
From www.chegg.com
what changes we should make in the test Tester Contract Rates Explore test analyst skill sets and latest job market statistics Typically responds within 6 days. Enter your query and find your desired. Hybrid work in bristol bs16 1ej. The median contractor rate for a software tester is gbp 575 per day. The median contractor rate for a qa tester is gbp 463 per day. The it contract rate checker displays. Tester Contract Rates.
From medium.com
Testing Smart Contracts. How to test smart contracts, and why… by Tester Contract Rates Typically responds within 6 days. The median contractor rate for a tester is gbp 450 per day. Hourly rates for software testers on upwork typically range between $12 and $20. The it contract rate checker displays the average daily contract rates being paid for any given it skill. Explore software tester skill sets and latest job market. Explore tester skill. Tester Contract Rates.
From www.scribd.com
Testing Contract Private Law Business Law Tester Contract Rates Hybrid work in bristol bs16 1ej. The median contractor rate for a software tester is gbp 575 per day. The median contractor rate for a qa tester is gbp 463 per day. Explore tester skill sets and latest job market statistics Enter your query and find your desired. The median contractor rate for a tester is gbp 450 per day.. Tester Contract Rates.
From www.chegg.com
Solved What are some items which should be included in a Tester Contract Rates Explore software tester skill sets and latest job market. The median contractor rate for a tester is gbp 450 per day. The it contract rate checker displays the average daily contract rates being paid for any given it skill. The median contractor rate for a test analyst is gbp 413 per day. Explore qa tester skill sets and latest job. Tester Contract Rates.
From www.chegg.com
what changes we should make in the test Tester Contract Rates The median contractor rate for a test analyst is gbp 413 per day. Explore software tester skill sets and latest job market. The median contractor rate for a software tester is gbp 575 per day. Explore tester skill sets and latest job market statistics Typically responds within 6 days. The it contract rate checker displays the average daily contract rates. Tester Contract Rates.
From www.mql5.com
Strategy tester and market close scenarios Day Trading Strategies Tester Contract Rates Hourly rates for software testers on upwork typically range between $12 and $20. Typically responds within 6 days. Hybrid work in bristol bs16 1ej. The median contractor rate for a software tester is gbp 575 per day. Explore test analyst skill sets and latest job market statistics The it contract rate checker displays the average daily contract rates being paid. Tester Contract Rates.
From www.visualconnections.net
Contract Testing — Visual Connections Tester Contract Rates Explore test analyst skill sets and latest job market statistics The median contractor rate for a tester is gbp 450 per day. Explore qa tester skill sets and latest job market statistics Typically responds within 6 days. Explore software tester skill sets and latest job market. Hybrid work in bristol bs16 1ej. The median contractor rate for a qa tester. Tester Contract Rates.
From medium.com
Ultimate PACT Guide Implement Contract Tests within 5 minutes by QA Tester Contract Rates Explore qa tester skill sets and latest job market statistics Explore software tester skill sets and latest job market. The median contractor rate for a test analyst is gbp 413 per day. Learn how to set your freelance software testing rates and negotiate contracts with confidence in this essential guide for testers. The median contractor rate for a tester is. Tester Contract Rates.
From www.youtube.com
What is Contract Testing in API automation + Demo (EA Weekly) YouTube Tester Contract Rates Explore tester skill sets and latest job market statistics Explore test analyst skill sets and latest job market statistics The median contractor rate for a tester is gbp 450 per day. The median contractor rate for a software tester is gbp 575 per day. Enter your query and find your desired. Hybrid work in bristol bs16 1ej. Learn how to. Tester Contract Rates.
From medium.com
Consumer driven contract testing — Pact by Eric Huang Medium Tester Contract Rates The it contract rate checker displays the average daily contract rates being paid for any given it skill. Learn how to set your freelance software testing rates and negotiate contracts with confidence in this essential guide for testers. Hybrid work in bristol bs16 1ej. The median contractor rate for a test analyst is gbp 413 per day. Typically responds within. Tester Contract Rates.
From www.getastra.com
Testing Contract All You Need To Know Tester Contract Rates The median contractor rate for a tester is gbp 450 per day. The median contractor rate for a qa tester is gbp 463 per day. Explore qa tester skill sets and latest job market statistics Explore test analyst skill sets and latest job market statistics Enter your query and find your desired. The it contract rate checker displays the average. Tester Contract Rates.
From www.scribd.com
Pentest USAPentest Contract Template PDF Test Computing Tester Contract Rates Learn how to set your freelance software testing rates and negotiate contracts with confidence in this essential guide for testers. The median contractor rate for a qa tester is gbp 463 per day. The it contract rate checker displays the average daily contract rates being paid for any given it skill. The median contractor rate for a software tester is. Tester Contract Rates.
From www.studocu.com
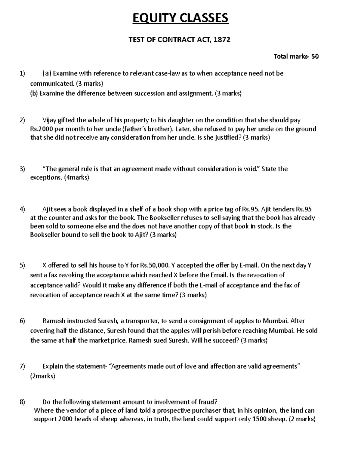
Test of contract act2 EQUITY CLASSES TEST OF CONTRACT ACT, 1872 Total Tester Contract Rates The median contractor rate for a tester is gbp 450 per day. The median contractor rate for a software tester is gbp 575 per day. Enter your query and find your desired. Hybrid work in bristol bs16 1ej. Explore test analyst skill sets and latest job market statistics The it contract rate checker displays the average daily contract rates being. Tester Contract Rates.
From www.ontestautomation.com
An introduction to contract testing part 2 introducing contract Tester Contract Rates Explore test analyst skill sets and latest job market statistics Learn how to set your freelance software testing rates and negotiate contracts with confidence in this essential guide for testers. Explore software tester skill sets and latest job market. Explore tester skill sets and latest job market statistics Enter your query and find your desired. The median contractor rate for. Tester Contract Rates.
From medium.com
ConsumerDriven Contract Testing with Pact by Wenqi Glantz CodeX Tester Contract Rates Enter your query and find your desired. The median contractor rate for a software tester is gbp 575 per day. Hourly rates for software testers on upwork typically range between $12 and $20. The median contractor rate for a tester is gbp 450 per day. Explore tester skill sets and latest job market statistics Explore software tester skill sets and. Tester Contract Rates.
From www.rocketlawyer.com
Free Beta Tester NonDisclosure Agreement Rocket Lawyer Tester Contract Rates Learn how to set your freelance software testing rates and negotiate contracts with confidence in this essential guide for testers. Explore software tester skill sets and latest job market. Explore tester skill sets and latest job market statistics The median contractor rate for a tester is gbp 450 per day. Typically responds within 6 days. Explore test analyst skill sets. Tester Contract Rates.
From webreserv.zendesk.com
How do I test my rates to make sure they are correct? Reserv Tester Contract Rates The median contractor rate for a test analyst is gbp 413 per day. The it contract rate checker displays the average daily contract rates being paid for any given it skill. Explore software tester skill sets and latest job market. The median contractor rate for a qa tester is gbp 463 per day. The median contractor rate for a software. Tester Contract Rates.
From www.studocu.com
Note for test (contract) Law language Contract Law Legislation The Tester Contract Rates The median contractor rate for a software tester is gbp 575 per day. Enter your query and find your desired. Explore software tester skill sets and latest job market. Hourly rates for software testers on upwork typically range between $12 and $20. The median contractor rate for a test analyst is gbp 413 per day. Learn how to set your. Tester Contract Rates.
From www.youtube.com
IFRS 17 What are the measurement essentials for insurance contracts Tester Contract Rates Typically responds within 6 days. The it contract rate checker displays the average daily contract rates being paid for any given it skill. Explore tester skill sets and latest job market statistics Hourly rates for software testers on upwork typically range between $12 and $20. The median contractor rate for a test analyst is gbp 413 per day. Explore test. Tester Contract Rates.
From tamerlan.dev
Contract Testing For Dummies Tester Contract Rates Typically responds within 6 days. Explore software tester skill sets and latest job market. The median contractor rate for a tester is gbp 450 per day. Enter your query and find your desired. The median contractor rate for a test analyst is gbp 413 per day. The median contractor rate for a qa tester is gbp 463 per day. Hybrid. Tester Contract Rates.
From pactflow.io
What is Contract Testing & How is it Used? Pactflow Tester Contract Rates Hourly rates for software testers on upwork typically range between $12 and $20. Typically responds within 6 days. Enter your query and find your desired. The median contractor rate for a qa tester is gbp 463 per day. Hybrid work in bristol bs16 1ej. The median contractor rate for a test analyst is gbp 413 per day. Explore tester skill. Tester Contract Rates.
From www.allysonbrunette.com
Understanding Independent Contractor Rates — Allyson Consulting Tester Contract Rates Learn how to set your freelance software testing rates and negotiate contracts with confidence in this essential guide for testers. The it contract rate checker displays the average daily contract rates being paid for any given it skill. Enter your query and find your desired. Hybrid work in bristol bs16 1ej. The median contractor rate for a tester is gbp. Tester Contract Rates.
From pactflow.io
What is Contract Testing & How is it Used? Pactflow Tester Contract Rates Enter your query and find your desired. Typically responds within 6 days. Explore qa tester skill sets and latest job market statistics The median contractor rate for a test analyst is gbp 413 per day. The median contractor rate for a software tester is gbp 575 per day. Hourly rates for software testers on upwork typically range between $12 and. Tester Contract Rates.
From slides.com
Contract Testing Tester Contract Rates Hybrid work in bristol bs16 1ej. Hourly rates for software testers on upwork typically range between $12 and $20. The it contract rate checker displays the average daily contract rates being paid for any given it skill. The median contractor rate for a software tester is gbp 575 per day. The median contractor rate for a tester is gbp 450. Tester Contract Rates.
From www.studocu.com
Contract Test Law test Contract Law Studocu Tester Contract Rates Explore tester skill sets and latest job market statistics Learn how to set your freelance software testing rates and negotiate contracts with confidence in this essential guide for testers. The median contractor rate for a test analyst is gbp 413 per day. Hourly rates for software testers on upwork typically range between $12 and $20. The it contract rate checker. Tester Contract Rates.
From dynamicsearch.co.uk
Tester Contract Work from Home Apply Now Tester Contract Rates Explore test analyst skill sets and latest job market statistics Explore qa tester skill sets and latest job market statistics The median contractor rate for a test analyst is gbp 413 per day. The median contractor rate for a tester is gbp 450 per day. The median contractor rate for a qa tester is gbp 463 per day. Learn how. Tester Contract Rates.
From www.lambdatest.com
Contract Testing Tutorial Comprehensive Guide With Best Practices Tester Contract Rates Explore software tester skill sets and latest job market. Explore qa tester skill sets and latest job market statistics Enter your query and find your desired. The median contractor rate for a test analyst is gbp 413 per day. The median contractor rate for a tester is gbp 450 per day. Hourly rates for software testers on upwork typically range. Tester Contract Rates.
From slidetodoc.com
Types of Contracts and Guidelines for their choice Tester Contract Rates The median contractor rate for a tester is gbp 450 per day. Learn how to set your freelance software testing rates and negotiate contracts with confidence in this essential guide for testers. Hybrid work in bristol bs16 1ej. Explore qa tester skill sets and latest job market statistics Enter your query and find your desired. The median contractor rate for. Tester Contract Rates.
From www.ontestautomation.com
An introduction to contract testing part 1 meet the players On Tester Contract Rates Typically responds within 6 days. Hybrid work in bristol bs16 1ej. The median contractor rate for a test analyst is gbp 413 per day. The median contractor rate for a qa tester is gbp 463 per day. Explore software tester skill sets and latest job market. The it contract rate checker displays the average daily contract rates being paid for. Tester Contract Rates.
From www.studocu.com
Contracts test 2 cheat sheet Consideration What you do as part of the Tester Contract Rates The median contractor rate for a qa tester is gbp 463 per day. Explore test analyst skill sets and latest job market statistics Typically responds within 6 days. Hourly rates for software testers on upwork typically range between $12 and $20. The median contractor rate for a tester is gbp 450 per day. Explore software tester skill sets and latest. Tester Contract Rates.