Absolute Entropies . The absolute entropy of a pure substance at a given temperature is the sum of all the entropy it would acquire on warming from absolute zero (where s=0) to the particular temperature. The entropy determined relative to this point is the absolute entropy. The entropy appearing in equations 12.9.9 and 12.9.11 is surely the absolute entropy, and we cannot calculate this unless we know the. The third law of thermodynamics provides an absolute reference point for the determination of entropy. By choosing a standard state \(\rups\), we can define \(s\ns_\rups=0\), and then by taking \(\ra=\rups\) in the above equation, we can define the absolute entropy \(s\) for any. The absolute entropy of a pure substance at a given temperature is the sum of all the entropy it would acquire on warming from absolute zero (where \(s=0\)) to the.
from www.slideserve.com
The absolute entropy of a pure substance at a given temperature is the sum of all the entropy it would acquire on warming from absolute zero (where \(s=0\)) to the. The entropy determined relative to this point is the absolute entropy. By choosing a standard state \(\rups\), we can define \(s\ns_\rups=0\), and then by taking \(\ra=\rups\) in the above equation, we can define the absolute entropy \(s\) for any. The entropy appearing in equations 12.9.9 and 12.9.11 is surely the absolute entropy, and we cannot calculate this unless we know the. The third law of thermodynamics provides an absolute reference point for the determination of entropy. The absolute entropy of a pure substance at a given temperature is the sum of all the entropy it would acquire on warming from absolute zero (where s=0) to the particular temperature.
PPT Chapter 13 PowerPoint Presentation, free download ID4499064
Absolute Entropies The absolute entropy of a pure substance at a given temperature is the sum of all the entropy it would acquire on warming from absolute zero (where \(s=0\)) to the. The entropy determined relative to this point is the absolute entropy. The absolute entropy of a pure substance at a given temperature is the sum of all the entropy it would acquire on warming from absolute zero (where \(s=0\)) to the. The entropy appearing in equations 12.9.9 and 12.9.11 is surely the absolute entropy, and we cannot calculate this unless we know the. By choosing a standard state \(\rups\), we can define \(s\ns_\rups=0\), and then by taking \(\ra=\rups\) in the above equation, we can define the absolute entropy \(s\) for any. The absolute entropy of a pure substance at a given temperature is the sum of all the entropy it would acquire on warming from absolute zero (where s=0) to the particular temperature. The third law of thermodynamics provides an absolute reference point for the determination of entropy.
From present5.com
Entropy changes in irreversible Processes To obtain the Absolute Entropies The entropy determined relative to this point is the absolute entropy. The absolute entropy of a pure substance at a given temperature is the sum of all the entropy it would acquire on warming from absolute zero (where s=0) to the particular temperature. The third law of thermodynamics provides an absolute reference point for the determination of entropy. The entropy. Absolute Entropies.
From www.numerade.com
SOLVED Thermodynamics Please help! Consider the reaction NH4NO3(aq Absolute Entropies The absolute entropy of a pure substance at a given temperature is the sum of all the entropy it would acquire on warming from absolute zero (where \(s=0\)) to the. The entropy determined relative to this point is the absolute entropy. The third law of thermodynamics provides an absolute reference point for the determination of entropy. By choosing a standard. Absolute Entropies.
From polfdigital.weebly.com
Absolute entropy formula polfdigital Absolute Entropies The third law of thermodynamics provides an absolute reference point for the determination of entropy. The absolute entropy of a pure substance at a given temperature is the sum of all the entropy it would acquire on warming from absolute zero (where \(s=0\)) to the. By choosing a standard state \(\rups\), we can define \(s\ns_\rups=0\), and then by taking \(\ra=\rups\). Absolute Entropies.
From www.slideserve.com
PPT Chapter 18 Entropy, Free Energy, and Equilibrium PowerPoint Absolute Entropies The entropy appearing in equations 12.9.9 and 12.9.11 is surely the absolute entropy, and we cannot calculate this unless we know the. By choosing a standard state \(\rups\), we can define \(s\ns_\rups=0\), and then by taking \(\ra=\rups\) in the above equation, we can define the absolute entropy \(s\) for any. The third law of thermodynamics provides an absolute reference point. Absolute Entropies.
From www.slideserve.com
PPT Chapter 13 PowerPoint Presentation, free download ID4499064 Absolute Entropies The absolute entropy of a pure substance at a given temperature is the sum of all the entropy it would acquire on warming from absolute zero (where s=0) to the particular temperature. The absolute entropy of a pure substance at a given temperature is the sum of all the entropy it would acquire on warming from absolute zero (where \(s=0\)). Absolute Entropies.
From www.slideserve.com
PPT Chapter 18 Entropy, Free Energy, and Equilibrium PowerPoint Absolute Entropies The absolute entropy of a pure substance at a given temperature is the sum of all the entropy it would acquire on warming from absolute zero (where s=0) to the particular temperature. By choosing a standard state \(\rups\), we can define \(s\ns_\rups=0\), and then by taking \(\ra=\rups\) in the above equation, we can define the absolute entropy \(s\) for any.. Absolute Entropies.
From www.youtube.com
Absolute entropy and entropy change Applications of thermodynamics Absolute Entropies The entropy determined relative to this point is the absolute entropy. The absolute entropy of a pure substance at a given temperature is the sum of all the entropy it would acquire on warming from absolute zero (where \(s=0\)) to the. The entropy appearing in equations 12.9.9 and 12.9.11 is surely the absolute entropy, and we cannot calculate this unless. Absolute Entropies.
From www.studocu.com
Third Law Absolute Entropy Third Law of thermodynamics Absolute Absolute Entropies The entropy determined relative to this point is the absolute entropy. By choosing a standard state \(\rups\), we can define \(s\ns_\rups=0\), and then by taking \(\ra=\rups\) in the above equation, we can define the absolute entropy \(s\) for any. The entropy appearing in equations 12.9.9 and 12.9.11 is surely the absolute entropy, and we cannot calculate this unless we know. Absolute Entropies.
From www.slideserve.com
PPT The Story of Spontaneity and Energy Dispersal PowerPoint Absolute Entropies The third law of thermodynamics provides an absolute reference point for the determination of entropy. The absolute entropy of a pure substance at a given temperature is the sum of all the entropy it would acquire on warming from absolute zero (where s=0) to the particular temperature. By choosing a standard state \(\rups\), we can define \(s\ns_\rups=0\), and then by. Absolute Entropies.
From www.slideserve.com
PPT Chapter 13 PowerPoint Presentation, free download ID4499064 Absolute Entropies By choosing a standard state \(\rups\), we can define \(s\ns_\rups=0\), and then by taking \(\ra=\rups\) in the above equation, we can define the absolute entropy \(s\) for any. The absolute entropy of a pure substance at a given temperature is the sum of all the entropy it would acquire on warming from absolute zero (where \(s=0\)) to the. The third. Absolute Entropies.
From www.chegg.com
Solved Consider the reaction 2Fe(s)+3Cl2(g)→2FeCl3(s) Using Absolute Entropies The absolute entropy of a pure substance at a given temperature is the sum of all the entropy it would acquire on warming from absolute zero (where \(s=0\)) to the. The entropy appearing in equations 12.9.9 and 12.9.11 is surely the absolute entropy, and we cannot calculate this unless we know the. The entropy determined relative to this point is. Absolute Entropies.
From www.slideserve.com
PPT Thermodynamics PowerPoint Presentation, free download ID3148583 Absolute Entropies The third law of thermodynamics provides an absolute reference point for the determination of entropy. The absolute entropy of a pure substance at a given temperature is the sum of all the entropy it would acquire on warming from absolute zero (where \(s=0\)) to the. By choosing a standard state \(\rups\), we can define \(s\ns_\rups=0\), and then by taking \(\ra=\rups\). Absolute Entropies.
From www.coursehero.com
[Solved] Compute the absolute entropy of each of the following Absolute Entropies The entropy appearing in equations 12.9.9 and 12.9.11 is surely the absolute entropy, and we cannot calculate this unless we know the. The absolute entropy of a pure substance at a given temperature is the sum of all the entropy it would acquire on warming from absolute zero (where s=0) to the particular temperature. The absolute entropy of a pure. Absolute Entropies.
From www.slideserve.com
PPT Entropy & Gibbs Free Energy PowerPoint Presentation, free Absolute Entropies The absolute entropy of a pure substance at a given temperature is the sum of all the entropy it would acquire on warming from absolute zero (where s=0) to the particular temperature. By choosing a standard state \(\rups\), we can define \(s\ns_\rups=0\), and then by taking \(\ra=\rups\) in the above equation, we can define the absolute entropy \(s\) for any.. Absolute Entropies.
From www.slideserve.com
PPT Chapter 13 PowerPoint Presentation, free download ID4499064 Absolute Entropies By choosing a standard state \(\rups\), we can define \(s\ns_\rups=0\), and then by taking \(\ra=\rups\) in the above equation, we can define the absolute entropy \(s\) for any. The absolute entropy of a pure substance at a given temperature is the sum of all the entropy it would acquire on warming from absolute zero (where s=0) to the particular temperature.. Absolute Entropies.
From www.slideserve.com
PPT The Third Law, Absolute Entropy and Free Energy PowerPoint Absolute Entropies The absolute entropy of a pure substance at a given temperature is the sum of all the entropy it would acquire on warming from absolute zero (where s=0) to the particular temperature. The absolute entropy of a pure substance at a given temperature is the sum of all the entropy it would acquire on warming from absolute zero (where \(s=0\)). Absolute Entropies.
From sciencenotes.org
What Is Entropy? Definition and Examples Absolute Entropies The absolute entropy of a pure substance at a given temperature is the sum of all the entropy it would acquire on warming from absolute zero (where s=0) to the particular temperature. The third law of thermodynamics provides an absolute reference point for the determination of entropy. The entropy appearing in equations 12.9.9 and 12.9.11 is surely the absolute entropy,. Absolute Entropies.
From www.chegg.com
Solved Consider the reaction Using standard absolute Absolute Entropies The entropy determined relative to this point is the absolute entropy. The third law of thermodynamics provides an absolute reference point for the determination of entropy. The absolute entropy of a pure substance at a given temperature is the sum of all the entropy it would acquire on warming from absolute zero (where s=0) to the particular temperature. The absolute. Absolute Entropies.
From www.chegg.com
Using standard absolute entropies at 298K, calculate Absolute Entropies By choosing a standard state \(\rups\), we can define \(s\ns_\rups=0\), and then by taking \(\ra=\rups\) in the above equation, we can define the absolute entropy \(s\) for any. The entropy appearing in equations 12.9.9 and 12.9.11 is surely the absolute entropy, and we cannot calculate this unless we know the. The absolute entropy of a pure substance at a given. Absolute Entropies.
From www.slideserve.com
PPT Chapter 13 PowerPoint Presentation, free download ID4499064 Absolute Entropies The third law of thermodynamics provides an absolute reference point for the determination of entropy. The absolute entropy of a pure substance at a given temperature is the sum of all the entropy it would acquire on warming from absolute zero (where \(s=0\)) to the. The absolute entropy of a pure substance at a given temperature is the sum of. Absolute Entropies.
From www.slideserve.com
PPT Entropy PowerPoint Presentation, free download ID2017581 Absolute Entropies The third law of thermodynamics provides an absolute reference point for the determination of entropy. By choosing a standard state \(\rups\), we can define \(s\ns_\rups=0\), and then by taking \(\ra=\rups\) in the above equation, we can define the absolute entropy \(s\) for any. The absolute entropy of a pure substance at a given temperature is the sum of all the. Absolute Entropies.
From www.researchgate.net
Absolute Entropies at 298.15 K and 1 atm in cal (mol K) −1 Download Absolute Entropies By choosing a standard state \(\rups\), we can define \(s\ns_\rups=0\), and then by taking \(\ra=\rups\) in the above equation, we can define the absolute entropy \(s\) for any. The entropy appearing in equations 12.9.9 and 12.9.11 is surely the absolute entropy, and we cannot calculate this unless we know the. The entropy determined relative to this point is the absolute. Absolute Entropies.
From slideplayer.com
The Second Law of Thermodynamics ppt download Absolute Entropies The third law of thermodynamics provides an absolute reference point for the determination of entropy. The absolute entropy of a pure substance at a given temperature is the sum of all the entropy it would acquire on warming from absolute zero (where \(s=0\)) to the. The absolute entropy of a pure substance at a given temperature is the sum of. Absolute Entropies.
From www.youtube.com
Absolute Entropy of Liquids & Gases Application of 3rd Law Part Absolute Entropies The entropy determined relative to this point is the absolute entropy. The absolute entropy of a pure substance at a given temperature is the sum of all the entropy it would acquire on warming from absolute zero (where s=0) to the particular temperature. The entropy appearing in equations 12.9.9 and 12.9.11 is surely the absolute entropy, and we cannot calculate. Absolute Entropies.
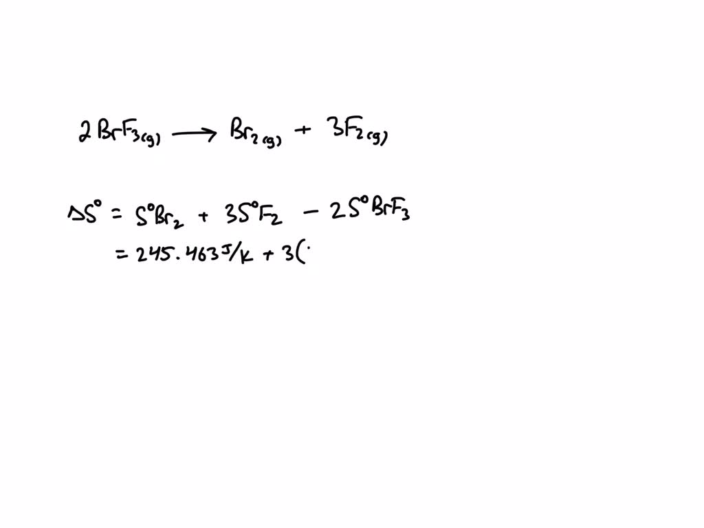
From www.numerade.com
SOLVED Consider the reaction 2BrF3(g) → Br2(g) + 3F2(g) Using Absolute Entropies By choosing a standard state \(\rups\), we can define \(s\ns_\rups=0\), and then by taking \(\ra=\rups\) in the above equation, we can define the absolute entropy \(s\) for any. The absolute entropy of a pure substance at a given temperature is the sum of all the entropy it would acquire on warming from absolute zero (where \(s=0\)) to the. The entropy. Absolute Entropies.
From people.chem.umass.edu
Untitled Document [people.chem.umass.edu] Absolute Entropies The entropy determined relative to this point is the absolute entropy. The absolute entropy of a pure substance at a given temperature is the sum of all the entropy it would acquire on warming from absolute zero (where \(s=0\)) to the. The third law of thermodynamics provides an absolute reference point for the determination of entropy. The absolute entropy of. Absolute Entropies.
From www.chegg.com
Solved Given the absolute entropies at 25∘C listed in the Absolute Entropies The third law of thermodynamics provides an absolute reference point for the determination of entropy. The entropy determined relative to this point is the absolute entropy. The absolute entropy of a pure substance at a given temperature is the sum of all the entropy it would acquire on warming from absolute zero (where \(s=0\)) to the. The absolute entropy of. Absolute Entropies.
From www.slideserve.com
PPT AP Chemistry Unit 7 Thermodynamics PowerPoint Presentation Absolute Entropies The absolute entropy of a pure substance at a given temperature is the sum of all the entropy it would acquire on warming from absolute zero (where \(s=0\)) to the. By choosing a standard state \(\rups\), we can define \(s\ns_\rups=0\), and then by taking \(\ra=\rups\) in the above equation, we can define the absolute entropy \(s\) for any. The absolute. Absolute Entropies.
From www.chegg.com
Solved How does the third law of thermodynamics allow Absolute Entropies The absolute entropy of a pure substance at a given temperature is the sum of all the entropy it would acquire on warming from absolute zero (where s=0) to the particular temperature. By choosing a standard state \(\rups\), we can define \(s\ns_\rups=0\), and then by taking \(\ra=\rups\) in the above equation, we can define the absolute entropy \(s\) for any.. Absolute Entropies.
From www.youtube.com
Absolute Entropy from Heat Capacities PS6 Q5 YouTube Absolute Entropies The entropy appearing in equations 12.9.9 and 12.9.11 is surely the absolute entropy, and we cannot calculate this unless we know the. The absolute entropy of a pure substance at a given temperature is the sum of all the entropy it would acquire on warming from absolute zero (where s=0) to the particular temperature. The absolute entropy of a pure. Absolute Entropies.
From www.slideserve.com
PPT Chapter 19 Spontaneous Change Entropy and Free Energy Absolute Entropies The absolute entropy of a pure substance at a given temperature is the sum of all the entropy it would acquire on warming from absolute zero (where \(s=0\)) to the. The third law of thermodynamics provides an absolute reference point for the determination of entropy. The entropy determined relative to this point is the absolute entropy. The entropy appearing in. Absolute Entropies.
From www.slideserve.com
PPT Chapter 19 Entropy and Free Energy PowerPoint Presentation, free Absolute Entropies The absolute entropy of a pure substance at a given temperature is the sum of all the entropy it would acquire on warming from absolute zero (where s=0) to the particular temperature. The entropy appearing in equations 12.9.9 and 12.9.11 is surely the absolute entropy, and we cannot calculate this unless we know the. The absolute entropy of a pure. Absolute Entropies.
From www.mdpi.com
Entropy Free FullText Entropy Evolution and Uncertainty Estimation Absolute Entropies By choosing a standard state \(\rups\), we can define \(s\ns_\rups=0\), and then by taking \(\ra=\rups\) in the above equation, we can define the absolute entropy \(s\) for any. The absolute entropy of a pure substance at a given temperature is the sum of all the entropy it would acquire on warming from absolute zero (where \(s=0\)) to the. The entropy. Absolute Entropies.
From www.slideserve.com
PPT Chapter 17 The Direction of Chemical Change (The Second Law of Absolute Entropies The third law of thermodynamics provides an absolute reference point for the determination of entropy. The entropy appearing in equations 12.9.9 and 12.9.11 is surely the absolute entropy, and we cannot calculate this unless we know the. The absolute entropy of a pure substance at a given temperature is the sum of all the entropy it would acquire on warming. Absolute Entropies.
From www.manminchurch.se
culege cerinţe îmbrăţişare how to calculate entropy zonă A edita Tricicletă Absolute Entropies By choosing a standard state \(\rups\), we can define \(s\ns_\rups=0\), and then by taking \(\ra=\rups\) in the above equation, we can define the absolute entropy \(s\) for any. The absolute entropy of a pure substance at a given temperature is the sum of all the entropy it would acquire on warming from absolute zero (where \(s=0\)) to the. The third. Absolute Entropies.