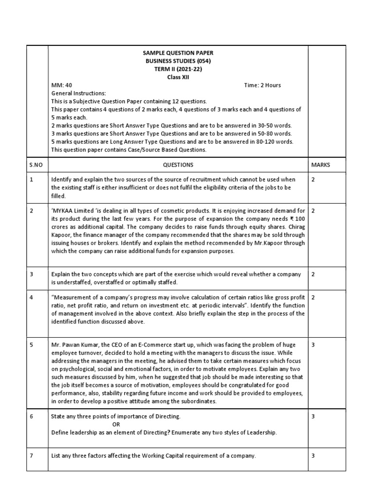
Business Sample Paper Term 2 . cbse board has released the class 12 cbse business studies sample paper 2022 for term 2. business studies question paper 1, paper 2 and addendum, as well the memorandum can easily be found on this. cbse class 12 term 2 business studies question paper would contain a total of 12 questions. it will help you to score well and prepare for the business studies term 2 examination according to a latest pattern. as per the sample question paper, class 12 term 2 business studies examination will have subjective type questions. cbse term 2 business studies sample paper: There would be an internal choice question. Students can download this file to get. Attention students, the central board of secondary education, cbse, is all.
from www.teachingresources.co.za
it will help you to score well and prepare for the business studies term 2 examination according to a latest pattern. business studies question paper 1, paper 2 and addendum, as well the memorandum can easily be found on this. cbse term 2 business studies sample paper: Students can download this file to get. There would be an internal choice question. cbse board has released the class 12 cbse business studies sample paper 2022 for term 2. Attention students, the central board of secondary education, cbse, is all. as per the sample question paper, class 12 term 2 business studies examination will have subjective type questions. cbse class 12 term 2 business studies question paper would contain a total of 12 questions.
Grade 10 Business Studies November Paper 2 (Eng and Afr) with Memo
Business Sample Paper Term 2 business studies question paper 1, paper 2 and addendum, as well the memorandum can easily be found on this. it will help you to score well and prepare for the business studies term 2 examination according to a latest pattern. cbse term 2 business studies sample paper: Attention students, the central board of secondary education, cbse, is all. as per the sample question paper, class 12 term 2 business studies examination will have subjective type questions. cbse class 12 term 2 business studies question paper would contain a total of 12 questions. cbse board has released the class 12 cbse business studies sample paper 2022 for term 2. There would be an internal choice question. business studies question paper 1, paper 2 and addendum, as well the memorandum can easily be found on this. Students can download this file to get.
From www.billiekawende.com
Sample Of Term Paper In Business 40 Business Research Paper Topics Business Sample Paper Term 2 Students can download this file to get. as per the sample question paper, class 12 term 2 business studies examination will have subjective type questions. There would be an internal choice question. cbse board has released the class 12 cbse business studies sample paper 2022 for term 2. business studies question paper 1, paper 2 and addendum,. Business Sample Paper Term 2.
From dokumen.tips
(PDF) Cbse Class 1 Evs Sample Paper Term 2 Model 2 DOKUMEN.TIPS Business Sample Paper Term 2 There would be an internal choice question. cbse class 12 term 2 business studies question paper would contain a total of 12 questions. cbse board has released the class 12 cbse business studies sample paper 2022 for term 2. cbse term 2 business studies sample paper: business studies question paper 1, paper 2 and addendum, as. Business Sample Paper Term 2.
From cevaiewo.blob.core.windows.net
Business Administration Sample Paper Class 12 at Juan Swanson blog Business Sample Paper Term 2 There would be an internal choice question. business studies question paper 1, paper 2 and addendum, as well the memorandum can easily be found on this. it will help you to score well and prepare for the business studies term 2 examination according to a latest pattern. cbse board has released the class 12 cbse business studies. Business Sample Paper Term 2.
From schools.aglasem.com
CBSE Class 11 Business Studies Sample Paper 2023 Business Sample Paper Term 2 Attention students, the central board of secondary education, cbse, is all. cbse term 2 business studies sample paper: it will help you to score well and prepare for the business studies term 2 examination according to a latest pattern. cbse board has released the class 12 cbse business studies sample paper 2022 for term 2. There would. Business Sample Paper Term 2.
From www.teachingresources.co.za
Grade 10 Business Studies November Paper 2 (Eng and Afr) with Memo Business Sample Paper Term 2 Attention students, the central board of secondary education, cbse, is all. Students can download this file to get. it will help you to score well and prepare for the business studies term 2 examination according to a latest pattern. cbse board has released the class 12 cbse business studies sample paper 2022 for term 2. as per. Business Sample Paper Term 2.
From www.ordertermpapers.com
How to Write a Term Paper Proposal Order Term Papers Business Sample Paper Term 2 business studies question paper 1, paper 2 and addendum, as well the memorandum can easily be found on this. cbse class 12 term 2 business studies question paper would contain a total of 12 questions. cbse term 2 business studies sample paper: There would be an internal choice question. cbse board has released the class 12. Business Sample Paper Term 2.
From schools.aglasem.com
Class 11 Sample Paper 2022 Business Studies Term 1 with Solution Business Sample Paper Term 2 cbse board has released the class 12 cbse business studies sample paper 2022 for term 2. There would be an internal choice question. cbse class 12 term 2 business studies question paper would contain a total of 12 questions. Students can download this file to get. business studies question paper 1, paper 2 and addendum, as well. Business Sample Paper Term 2.
From www.slideshare.net
term paper_2 Business Sample Paper Term 2 it will help you to score well and prepare for the business studies term 2 examination according to a latest pattern. Students can download this file to get. Attention students, the central board of secondary education, cbse, is all. business studies question paper 1, paper 2 and addendum, as well the memorandum can easily be found on this.. Business Sample Paper Term 2.
From www.vedantu.com
CBSE Sample Paper for Class 11 Business Studies with Solutions Business Sample Paper Term 2 cbse board has released the class 12 cbse business studies sample paper 2022 for term 2. Attention students, the central board of secondary education, cbse, is all. it will help you to score well and prepare for the business studies term 2 examination according to a latest pattern. cbse term 2 business studies sample paper: as. Business Sample Paper Term 2.
From www.professays.com
Term Paper Format Business Sample Paper Term 2 as per the sample question paper, class 12 term 2 business studies examination will have subjective type questions. it will help you to score well and prepare for the business studies term 2 examination according to a latest pattern. Attention students, the central board of secondary education, cbse, is all. business studies question paper 1, paper 2. Business Sample Paper Term 2.
From fity.club
Cbse Class 12 Business Studies Question Paper Solved 2019 Set H Pdf Business Sample Paper Term 2 it will help you to score well and prepare for the business studies term 2 examination according to a latest pattern. cbse board has released the class 12 cbse business studies sample paper 2022 for term 2. Students can download this file to get. cbse class 12 term 2 business studies question paper would contain a total. Business Sample Paper Term 2.
From schools.aglasem.com
CBSE Class 11 Business Studies Sample Paper 2023 Business Sample Paper Term 2 Attention students, the central board of secondary education, cbse, is all. cbse term 2 business studies sample paper: business studies question paper 1, paper 2 and addendum, as well the memorandum can easily be found on this. There would be an internal choice question. it will help you to score well and prepare for the business studies. Business Sample Paper Term 2.
From www.youtube.com
Sample Paper Term 2 Board Special Most Important Sample Paper Business Sample Paper Term 2 cbse class 12 term 2 business studies question paper would contain a total of 12 questions. Attention students, the central board of secondary education, cbse, is all. as per the sample question paper, class 12 term 2 business studies examination will have subjective type questions. business studies question paper 1, paper 2 and addendum, as well the. Business Sample Paper Term 2.
From www.pdffiller.com
term sheet sample Doc Template pdfFiller Business Sample Paper Term 2 There would be an internal choice question. Students can download this file to get. business studies question paper 1, paper 2 and addendum, as well the memorandum can easily be found on this. cbse board has released the class 12 cbse business studies sample paper 2022 for term 2. Attention students, the central board of secondary education, cbse,. Business Sample Paper Term 2.
From www.slideshare.net
Class 5 Cbse EVS Sample Paper Term 2 Model 2 Business Sample Paper Term 2 There would be an internal choice question. cbse term 2 business studies sample paper: business studies question paper 1, paper 2 and addendum, as well the memorandum can easily be found on this. Students can download this file to get. it will help you to score well and prepare for the business studies term 2 examination according. Business Sample Paper Term 2.
From schools.aglasem.com
CBSE Class 11 Business Studies Sample Paper 2023 Business Sample Paper Term 2 cbse class 12 term 2 business studies question paper would contain a total of 12 questions. as per the sample question paper, class 12 term 2 business studies examination will have subjective type questions. business studies question paper 1, paper 2 and addendum, as well the memorandum can easily be found on this. Attention students, the central. Business Sample Paper Term 2.
From www.youtube.com
Class 11 Business Studies Sample Paper Term 2 With Solution Hindi Business Sample Paper Term 2 cbse board has released the class 12 cbse business studies sample paper 2022 for term 2. There would be an internal choice question. Students can download this file to get. Attention students, the central board of secondary education, cbse, is all. cbse term 2 business studies sample paper: business studies question paper 1, paper 2 and addendum,. Business Sample Paper Term 2.
From www.scribd.com
CBSE Class 11 Business Studies Sample Paper 2017 (1) Public Company Business Sample Paper Term 2 it will help you to score well and prepare for the business studies term 2 examination according to a latest pattern. cbse board has released the class 12 cbse business studies sample paper 2022 for term 2. business studies question paper 1, paper 2 and addendum, as well the memorandum can easily be found on this. . Business Sample Paper Term 2.
From www.studocu.com
Business Paper term 2 kokwanyo 2022 KOKWANYO SECONDARY TERM 2 FORM 4 Business Sample Paper Term 2 cbse board has released the class 12 cbse business studies sample paper 2022 for term 2. business studies question paper 1, paper 2 and addendum, as well the memorandum can easily be found on this. Attention students, the central board of secondary education, cbse, is all. it will help you to score well and prepare for the. Business Sample Paper Term 2.
From www.youtube.com
Sample Paper Term 1 Business Studies Class 12 Commerce 365 Business Sample Paper Term 2 cbse term 2 business studies sample paper: Attention students, the central board of secondary education, cbse, is all. cbse board has released the class 12 cbse business studies sample paper 2022 for term 2. business studies question paper 1, paper 2 and addendum, as well the memorandum can easily be found on this. as per the. Business Sample Paper Term 2.
From webapi.bu.edu
💣 How to structure a term paper. How to structure a term paper. 20221028 Business Sample Paper Term 2 cbse board has released the class 12 cbse business studies sample paper 2022 for term 2. Attention students, the central board of secondary education, cbse, is all. Students can download this file to get. cbse term 2 business studies sample paper: it will help you to score well and prepare for the business studies term 2 examination. Business Sample Paper Term 2.
From www.sampletemplates.com
FREE 51+ Sample Paper Templates in MS Word PDF Business Sample Paper Term 2 as per the sample question paper, class 12 term 2 business studies examination will have subjective type questions. cbse class 12 term 2 business studies question paper would contain a total of 12 questions. Students can download this file to get. Attention students, the central board of secondary education, cbse, is all. cbse board has released the. Business Sample Paper Term 2.
From bstkastock.blogspot.com
BST4all Class XI Business Studies SUMMER FIELDS SCHOOL (KAILASH COLONY Business Sample Paper Term 2 business studies question paper 1, paper 2 and addendum, as well the memorandum can easily be found on this. it will help you to score well and prepare for the business studies term 2 examination according to a latest pattern. cbse term 2 business studies sample paper: Attention students, the central board of secondary education, cbse, is. Business Sample Paper Term 2.
From allbusinesstemplates.blogspot.com
Term Paper Everything You Need To Know All Business Templates Business Sample Paper Term 2 as per the sample question paper, class 12 term 2 business studies examination will have subjective type questions. it will help you to score well and prepare for the business studies term 2 examination according to a latest pattern. cbse term 2 business studies sample paper: Students can download this file to get. cbse board has. Business Sample Paper Term 2.
From schools.aglasem.com
CBSE Class 11 Sample Paper 2022 for Business Studies Term 2 (Solved) Business Sample Paper Term 2 as per the sample question paper, class 12 term 2 business studies examination will have subjective type questions. Students can download this file to get. Attention students, the central board of secondary education, cbse, is all. it will help you to score well and prepare for the business studies term 2 examination according to a latest pattern. . Business Sample Paper Term 2.
From www.youtube.com
Entrepreneurship CBSE Sample Paper TERM 2 YouTube Business Sample Paper Term 2 cbse class 12 term 2 business studies question paper would contain a total of 12 questions. cbse term 2 business studies sample paper: business studies question paper 1, paper 2 and addendum, as well the memorandum can easily be found on this. cbse board has released the class 12 cbse business studies sample paper 2022 for. Business Sample Paper Term 2.
From webapi.bu.edu
🏷️ Sample introduction for term paper. Research Paper Introduction Business Sample Paper Term 2 as per the sample question paper, class 12 term 2 business studies examination will have subjective type questions. Attention students, the central board of secondary education, cbse, is all. There would be an internal choice question. it will help you to score well and prepare for the business studies term 2 examination according to a latest pattern. . Business Sample Paper Term 2.
From assignmentpay.com
How to Write a Term Paper a Beginner's Guide Business Sample Paper Term 2 Attention students, the central board of secondary education, cbse, is all. cbse term 2 business studies sample paper: There would be an internal choice question. cbse board has released the class 12 cbse business studies sample paper 2022 for term 2. business studies question paper 1, paper 2 and addendum, as well the memorandum can easily be. Business Sample Paper Term 2.
From www.studocu.com
CBSE Sample Question Paper Term 2 2022 Class 12 Economics SAMPLE Business Sample Paper Term 2 Students can download this file to get. cbse board has released the class 12 cbse business studies sample paper 2022 for term 2. Attention students, the central board of secondary education, cbse, is all. it will help you to score well and prepare for the business studies term 2 examination according to a latest pattern. cbse term. Business Sample Paper Term 2.
From schools.aglasem.com
CBSE Class 11 Business Studies Sample Paper 2023 Business Sample Paper Term 2 Students can download this file to get. business studies question paper 1, paper 2 and addendum, as well the memorandum can easily be found on this. as per the sample question paper, class 12 term 2 business studies examination will have subjective type questions. There would be an internal choice question. it will help you to score. Business Sample Paper Term 2.
From schools.aglasem.com
CBSE Class 11 Business Studies Sample Paper 2023 Business Sample Paper Term 2 cbse board has released the class 12 cbse business studies sample paper 2022 for term 2. cbse term 2 business studies sample paper: Students can download this file to get. cbse class 12 term 2 business studies question paper would contain a total of 12 questions. it will help you to score well and prepare for. Business Sample Paper Term 2.
From www.youtube.com
Business Studies Class 12 Term 2 Sample Paper Term 2 Sample Paper Business Sample Paper Term 2 Attention students, the central board of secondary education, cbse, is all. as per the sample question paper, class 12 term 2 business studies examination will have subjective type questions. business studies question paper 1, paper 2 and addendum, as well the memorandum can easily be found on this. cbse class 12 term 2 business studies question paper. Business Sample Paper Term 2.
From www.studocu.com
CBSE Class 12 Informatics Practices Sample Paper Term 2 for 2021 22 Business Sample Paper Term 2 business studies question paper 1, paper 2 and addendum, as well the memorandum can easily be found on this. cbse term 2 business studies sample paper: cbse class 12 term 2 business studies question paper would contain a total of 12 questions. Students can download this file to get. as per the sample question paper, class. Business Sample Paper Term 2.
From www.scribd.com
Business Studies Sample Paper Term 2 PDF Employment Equity (Finance) Business Sample Paper Term 2 There would be an internal choice question. cbse term 2 business studies sample paper: as per the sample question paper, class 12 term 2 business studies examination will have subjective type questions. business studies question paper 1, paper 2 and addendum, as well the memorandum can easily be found on this. it will help you to. Business Sample Paper Term 2.
From www.pinterest.com
KNEC KCSE 2019 Business Studies Paper 2 Past Paper Business Sample Paper Term 2 as per the sample question paper, class 12 term 2 business studies examination will have subjective type questions. cbse term 2 business studies sample paper: it will help you to score well and prepare for the business studies term 2 examination according to a latest pattern. business studies question paper 1, paper 2 and addendum, as. Business Sample Paper Term 2.