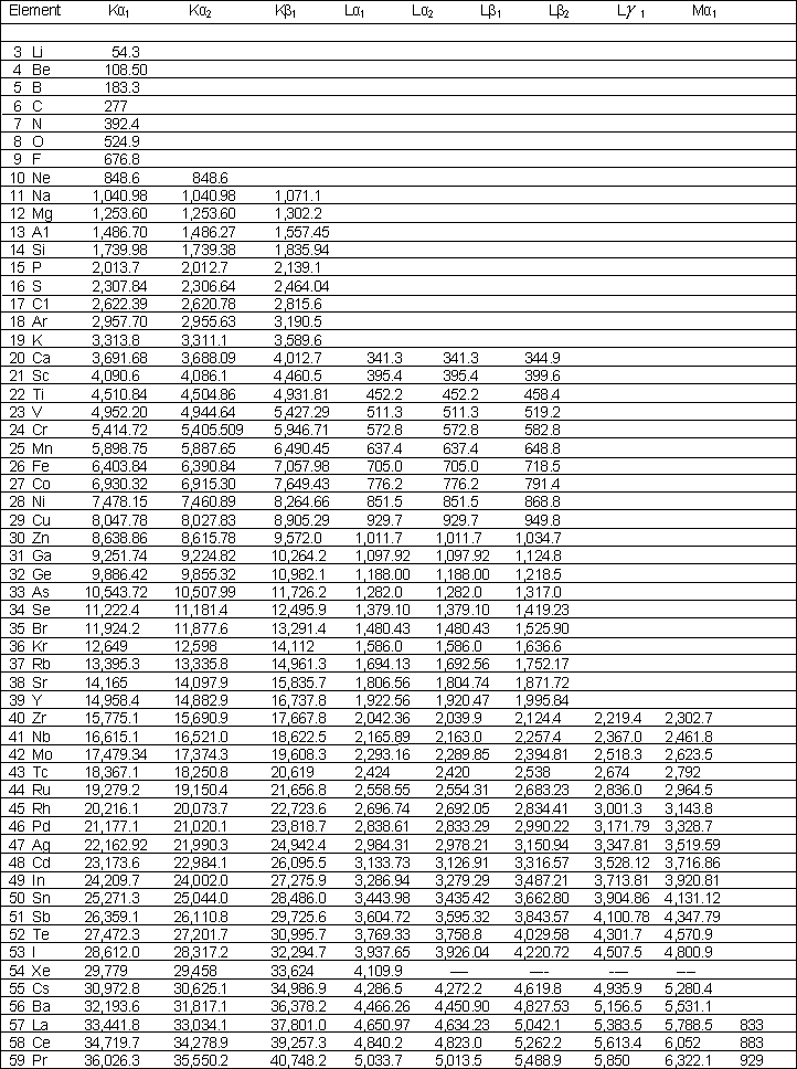
X Ray Emission Lines Table . Transistions that give rise to the various emission lines. Lines shown in grey are not detectable by. An intensity of 100 is assigned. * interpolated from nearby elements. They are written both in french and english.
from www.researchgate.net
Lines shown in grey are not detectable by. An intensity of 100 is assigned. They are written both in french and english. * interpolated from nearby elements. Transistions that give rise to the various emission lines.
Xray Emission Lines in the Chandra HETG Spectrum of Mrk 1040
X Ray Emission Lines Table They are written both in french and english. Transistions that give rise to the various emission lines. They are written both in french and english. An intensity of 100 is assigned. * interpolated from nearby elements. Lines shown in grey are not detectable by.
From www.amptek.com
Uranium and Plutonium Spectra Amptek XRay Detectors and Electronics X Ray Emission Lines Table Lines shown in grey are not detectable by. They are written both in french and english. Transistions that give rise to the various emission lines. An intensity of 100 is assigned. * interpolated from nearby elements. X Ray Emission Lines Table.
From www.slideserve.com
PPT XRAY EMISSION SPECTRUM PowerPoint Presentation, free download X Ray Emission Lines Table An intensity of 100 is assigned. They are written both in french and english. Lines shown in grey are not detectable by. Transistions that give rise to the various emission lines. * interpolated from nearby elements. X Ray Emission Lines Table.
From chemistrypuns-periodically.weebly.com
Chemistry Electron Emission Spectrum X Ray Emission Lines Table Lines shown in grey are not detectable by. Transistions that give rise to the various emission lines. They are written both in french and english. * interpolated from nearby elements. An intensity of 100 is assigned. X Ray Emission Lines Table.
From cz.pinterest.com
You Can Download Inspirational Periodic Table Virtual Lab At here https X Ray Emission Lines Table They are written both in french and english. An intensity of 100 is assigned. * interpolated from nearby elements. Lines shown in grey are not detectable by. Transistions that give rise to the various emission lines. X Ray Emission Lines Table.
From www.researchgate.net
Observed solar wind charge exchange soft Xray emission lines X Ray Emission Lines Table They are written both in french and english. An intensity of 100 is assigned. Transistions that give rise to the various emission lines. * interpolated from nearby elements. Lines shown in grey are not detectable by. X Ray Emission Lines Table.
From docslib.org
Cauchois and Sénémaud Tables of Wavelengths of XRay Emission Lines and X Ray Emission Lines Table * interpolated from nearby elements. Lines shown in grey are not detectable by. Transistions that give rise to the various emission lines. An intensity of 100 is assigned. They are written both in french and english. X Ray Emission Lines Table.
From www.researchgate.net
Xray Emission Lines in the Chandra HETG Spectrum of Mrk 1040 X Ray Emission Lines Table They are written both in french and english. Lines shown in grey are not detectable by. * interpolated from nearby elements. An intensity of 100 is assigned. Transistions that give rise to the various emission lines. X Ray Emission Lines Table.
From www.periodictableprintable.com
Periodic Table Atomic Emission Spectra 2024 Periodic Table Printable X Ray Emission Lines Table An intensity of 100 is assigned. They are written both in french and english. Transistions that give rise to the various emission lines. Lines shown in grey are not detectable by. * interpolated from nearby elements. X Ray Emission Lines Table.
From www.amptek.com
Periodic Table and XRay Emission Line Lookup Chart Amptek XRay X Ray Emission Lines Table * interpolated from nearby elements. Lines shown in grey are not detectable by. Transistions that give rise to the various emission lines. They are written both in french and english. An intensity of 100 is assigned. X Ray Emission Lines Table.
From www.semanticscholar.org
Figure 1 from Reconsidering the origin of the Xray emission lines in X Ray Emission Lines Table Lines shown in grey are not detectable by. Transistions that give rise to the various emission lines. They are written both in french and english. * interpolated from nearby elements. An intensity of 100 is assigned. X Ray Emission Lines Table.
From www.semanticscholar.org
Figure 2 from THE DIAGNOSTIC POWER OF XRAY EMISSION LINES IN GRBS X Ray Emission Lines Table They are written both in french and english. * interpolated from nearby elements. Lines shown in grey are not detectable by. Transistions that give rise to the various emission lines. An intensity of 100 is assigned. X Ray Emission Lines Table.
From brokeasshome.com
X Ray Energy Periodic Table X Ray Emission Lines Table Transistions that give rise to the various emission lines. Lines shown in grey are not detectable by. An intensity of 100 is assigned. * interpolated from nearby elements. They are written both in french and english. X Ray Emission Lines Table.
From brokeasshome.com
x ray periodic table X Ray Emission Lines Table An intensity of 100 is assigned. * interpolated from nearby elements. Transistions that give rise to the various emission lines. They are written both in french and english. Lines shown in grey are not detectable by. X Ray Emission Lines Table.
From www.semanticscholar.org
Figure 1 from Cauchois and Sénémaud Tables of wavelengths of Xray X Ray Emission Lines Table Lines shown in grey are not detectable by. An intensity of 100 is assigned. Transistions that give rise to the various emission lines. * interpolated from nearby elements. They are written both in french and english. X Ray Emission Lines Table.
From www.globalsino.com
Initial and Final Levels for Characteristic XRay Lines X Ray Emission Lines Table They are written both in french and english. An intensity of 100 is assigned. * interpolated from nearby elements. Lines shown in grey are not detectable by. Transistions that give rise to the various emission lines. X Ray Emission Lines Table.
From www.sun.org
spectrum X Ray Emission Lines Table They are written both in french and english. Lines shown in grey are not detectable by. * interpolated from nearby elements. An intensity of 100 is assigned. Transistions that give rise to the various emission lines. X Ray Emission Lines Table.
From www.researchgate.net
Xray Emission Lines Download Table X Ray Emission Lines Table An intensity of 100 is assigned. Lines shown in grey are not detectable by. * interpolated from nearby elements. Transistions that give rise to the various emission lines. They are written both in french and english. X Ray Emission Lines Table.
From www.researchgate.net
STRONG EMISSION LINES IN XRAY SPECTRA Download Table X Ray Emission Lines Table Transistions that give rise to the various emission lines. Lines shown in grey are not detectable by. An intensity of 100 is assigned. * interpolated from nearby elements. They are written both in french and english. X Ray Emission Lines Table.
From www.semanticscholar.org
Figure 1 from The timing of nonthermal soft Xray emission line X Ray Emission Lines Table They are written both in french and english. Lines shown in grey are not detectable by. Transistions that give rise to the various emission lines. An intensity of 100 is assigned. * interpolated from nearby elements. X Ray Emission Lines Table.
From www.diamond.ac.uk
Xray Emission Spectroscopy Diamond Light Source X Ray Emission Lines Table Lines shown in grey are not detectable by. An intensity of 100 is assigned. They are written both in french and english. Transistions that give rise to the various emission lines. * interpolated from nearby elements. X Ray Emission Lines Table.
From www.researchgate.net
Xray Emission Lines Download Table X Ray Emission Lines Table They are written both in french and english. * interpolated from nearby elements. Lines shown in grey are not detectable by. An intensity of 100 is assigned. Transistions that give rise to the various emission lines. X Ray Emission Lines Table.
From favpng.com
Energydispersive Xray Spectroscopy Auger Effect Electron Capture X Ray Emission Lines Table * interpolated from nearby elements. Transistions that give rise to the various emission lines. Lines shown in grey are not detectable by. They are written both in french and english. An intensity of 100 is assigned. X Ray Emission Lines Table.
From www.nist.gov
Precision Xray Emission Line Measurements NIST X Ray Emission Lines Table They are written both in french and english. An intensity of 100 is assigned. Lines shown in grey are not detectable by. Transistions that give rise to the various emission lines. * interpolated from nearby elements. X Ray Emission Lines Table.
From www.esrf.fr
Combining machine learning and Xray emission spectroscopy to predict X Ray Emission Lines Table Lines shown in grey are not detectable by. * interpolated from nearby elements. Transistions that give rise to the various emission lines. They are written both in french and english. An intensity of 100 is assigned. X Ray Emission Lines Table.
From studylib.net
emission lines X Ray Emission Lines Table An intensity of 100 is assigned. * interpolated from nearby elements. Transistions that give rise to the various emission lines. Lines shown in grey are not detectable by. They are written both in french and english. X Ray Emission Lines Table.
From utedzz.blogspot.com
Periodic Table X Ray Energies Periodic Table Timeline X Ray Emission Lines Table Transistions that give rise to the various emission lines. * interpolated from nearby elements. An intensity of 100 is assigned. Lines shown in grey are not detectable by. They are written both in french and english. X Ray Emission Lines Table.
From www.semanticscholar.org
Figure 4 from THE DIAGNOSTIC POWER OF XRAY EMISSION LINES IN GRBS X Ray Emission Lines Table * interpolated from nearby elements. An intensity of 100 is assigned. Transistions that give rise to the various emission lines. Lines shown in grey are not detectable by. They are written both in french and english. X Ray Emission Lines Table.
From transwikia.com
[SOLVED] Nomenclature of Xray transitionsSiegbahn Notation Physics X Ray Emission Lines Table Transistions that give rise to the various emission lines. They are written both in french and english. Lines shown in grey are not detectable by. * interpolated from nearby elements. An intensity of 100 is assigned. X Ray Emission Lines Table.
From www.semanticscholar.org
[PDF] Cauchois and Sénémaud Tables of wavelengths of Xray emission X Ray Emission Lines Table An intensity of 100 is assigned. Lines shown in grey are not detectable by. Transistions that give rise to the various emission lines. They are written both in french and english. * interpolated from nearby elements. X Ray Emission Lines Table.
From www.researchgate.net
Xray emission L2,3 Si spectra of silicon samples No. 14, before and X Ray Emission Lines Table They are written both in french and english. Lines shown in grey are not detectable by. An intensity of 100 is assigned. * interpolated from nearby elements. Transistions that give rise to the various emission lines. X Ray Emission Lines Table.
From www.semanticscholar.org
Table 1 from Xray absorption spectroscopy of light elements in X Ray Emission Lines Table They are written both in french and english. An intensity of 100 is assigned. Transistions that give rise to the various emission lines. Lines shown in grey are not detectable by. * interpolated from nearby elements. X Ray Emission Lines Table.
From xrayabsorption.org
Xray Periodic Table IXAS The International Xray Absorption Society X Ray Emission Lines Table * interpolated from nearby elements. Lines shown in grey are not detectable by. They are written both in french and english. Transistions that give rise to the various emission lines. An intensity of 100 is assigned. X Ray Emission Lines Table.
From www.researchgate.net
Xray emission spectra and energy level diagrams of the absorption and X Ray Emission Lines Table They are written both in french and english. * interpolated from nearby elements. Transistions that give rise to the various emission lines. An intensity of 100 is assigned. Lines shown in grey are not detectable by. X Ray Emission Lines Table.
From brokeasshome.com
Periodic Table X Ray Lines X Ray Emission Lines Table They are written both in french and english. Transistions that give rise to the various emission lines. * interpolated from nearby elements. Lines shown in grey are not detectable by. An intensity of 100 is assigned. X Ray Emission Lines Table.
From brokeasshome.com
x ray periodic table X Ray Emission Lines Table An intensity of 100 is assigned. Transistions that give rise to the various emission lines. Lines shown in grey are not detectable by. * interpolated from nearby elements. They are written both in french and english. X Ray Emission Lines Table.