Zinc Chromate Ionic Or Covalent . the production of zinc chromate involves the reaction of zinc oxide (zno) with chromium trioxide (cro 3). zinc chromate is produced by reacting an aqueous slurry of zinc oxide or hydroxide with dissolved chromate ions followed by. If it is covalent, which is typically between 2 or more nonmetals, we need to. that is, does it have ionic bonds, or covalent bonds? zinc chromate is easily produced by the combination of a solution of sodium or potassium chromate with a solution of zinc nitrate, chloride,. ionic compounds generally form from metals and nonmetals. Compounds that do not contain ions, but instead consist of atoms bonded tightly together in. define ionic and molecular (covalent) compounds. Predict the type of compound formed from elements based on their.
from www.pinterest.com
If it is covalent, which is typically between 2 or more nonmetals, we need to. define ionic and molecular (covalent) compounds. Compounds that do not contain ions, but instead consist of atoms bonded tightly together in. the production of zinc chromate involves the reaction of zinc oxide (zno) with chromium trioxide (cro 3). Predict the type of compound formed from elements based on their. ionic compounds generally form from metals and nonmetals. zinc chromate is produced by reacting an aqueous slurry of zinc oxide or hydroxide with dissolved chromate ions followed by. that is, does it have ionic bonds, or covalent bonds? zinc chromate is easily produced by the combination of a solution of sodium or potassium chromate with a solution of zinc nitrate, chloride,.
Learn the difference between ionic and covalent bonds. See examples of
Zinc Chromate Ionic Or Covalent that is, does it have ionic bonds, or covalent bonds? If it is covalent, which is typically between 2 or more nonmetals, we need to. zinc chromate is easily produced by the combination of a solution of sodium or potassium chromate with a solution of zinc nitrate, chloride,. define ionic and molecular (covalent) compounds. Predict the type of compound formed from elements based on their. ionic compounds generally form from metals and nonmetals. Compounds that do not contain ions, but instead consist of atoms bonded tightly together in. the production of zinc chromate involves the reaction of zinc oxide (zno) with chromium trioxide (cro 3). zinc chromate is produced by reacting an aqueous slurry of zinc oxide or hydroxide with dissolved chromate ions followed by. that is, does it have ionic bonds, or covalent bonds?
From www.youtube.com
Electron Configuration for Zn and Zn2+ (Zinc and Zinc ion) YouTube Zinc Chromate Ionic Or Covalent the production of zinc chromate involves the reaction of zinc oxide (zno) with chromium trioxide (cro 3). that is, does it have ionic bonds, or covalent bonds? zinc chromate is produced by reacting an aqueous slurry of zinc oxide or hydroxide with dissolved chromate ions followed by. Compounds that do not contain ions, but instead consist of. Zinc Chromate Ionic Or Covalent.
From www.alamy.com
Symbol and electron diagram for Zinc illustration Stock Vector Image Zinc Chromate Ionic Or Covalent that is, does it have ionic bonds, or covalent bonds? Predict the type of compound formed from elements based on their. zinc chromate is produced by reacting an aqueous slurry of zinc oxide or hydroxide with dissolved chromate ions followed by. zinc chromate is easily produced by the combination of a solution of sodium or potassium chromate. Zinc Chromate Ionic Or Covalent.
From www.researchgate.net
Schematic representation of formation of both ionic and covalent Zinc Chromate Ionic Or Covalent zinc chromate is easily produced by the combination of a solution of sodium or potassium chromate with a solution of zinc nitrate, chloride,. Compounds that do not contain ions, but instead consist of atoms bonded tightly together in. define ionic and molecular (covalent) compounds. ionic compounds generally form from metals and nonmetals. If it is covalent, which. Zinc Chromate Ionic Or Covalent.
From fr.dreamstime.com
Le Glycinate De Zinc Est Une Formule Chimique Moleculaire. Infographics Zinc Chromate Ionic Or Covalent Predict the type of compound formed from elements based on their. zinc chromate is easily produced by the combination of a solution of sodium or potassium chromate with a solution of zinc nitrate, chloride,. that is, does it have ionic bonds, or covalent bonds? zinc chromate is produced by reacting an aqueous slurry of zinc oxide or. Zinc Chromate Ionic Or Covalent.
From www.pinterest.com
Learn the difference between ionic and covalent bonds. See examples of Zinc Chromate Ionic Or Covalent the production of zinc chromate involves the reaction of zinc oxide (zno) with chromium trioxide (cro 3). Compounds that do not contain ions, but instead consist of atoms bonded tightly together in. zinc chromate is produced by reacting an aqueous slurry of zinc oxide or hydroxide with dissolved chromate ions followed by. zinc chromate is easily produced. Zinc Chromate Ionic Or Covalent.
From circuitwiringmoyle99.z22.web.core.windows.net
Diagram Of The Formation Of An Ionic Compound Zinc Chromate Ionic Or Covalent zinc chromate is easily produced by the combination of a solution of sodium or potassium chromate with a solution of zinc nitrate, chloride,. Compounds that do not contain ions, but instead consist of atoms bonded tightly together in. that is, does it have ionic bonds, or covalent bonds? ionic compounds generally form from metals and nonmetals. . Zinc Chromate Ionic Or Covalent.
From www.alamy.com
Zinc gluconate molecule. It is ionic compound, zinc salt of gluconic Zinc Chromate Ionic Or Covalent Compounds that do not contain ions, but instead consist of atoms bonded tightly together in. If it is covalent, which is typically between 2 or more nonmetals, we need to. define ionic and molecular (covalent) compounds. Predict the type of compound formed from elements based on their. zinc chromate is easily produced by the combination of a solution. Zinc Chromate Ionic Or Covalent.
From sciencetrends.com
What Is The Ionic Charge Of Zinc (Zn)? Science Trends Zinc Chromate Ionic Or Covalent ionic compounds generally form from metals and nonmetals. Compounds that do not contain ions, but instead consist of atoms bonded tightly together in. define ionic and molecular (covalent) compounds. that is, does it have ionic bonds, or covalent bonds? zinc chromate is easily produced by the combination of a solution of sodium or potassium chromate with. Zinc Chromate Ionic Or Covalent.
From gioxcpnsw.blob.core.windows.net
Magnesium And Zinc Sulfate Net Ionic Equation at Steve Williamson blog Zinc Chromate Ionic Or Covalent the production of zinc chromate involves the reaction of zinc oxide (zno) with chromium trioxide (cro 3). Predict the type of compound formed from elements based on their. zinc chromate is produced by reacting an aqueous slurry of zinc oxide or hydroxide with dissolved chromate ions followed by. If it is covalent, which is typically between 2 or. Zinc Chromate Ionic Or Covalent.
From sites.google.com
Unit 1 Compounds UIA (Department of Chemistry) Zinc Chromate Ionic Or Covalent If it is covalent, which is typically between 2 or more nonmetals, we need to. the production of zinc chromate involves the reaction of zinc oxide (zno) with chromium trioxide (cro 3). that is, does it have ionic bonds, or covalent bonds? zinc chromate is produced by reacting an aqueous slurry of zinc oxide or hydroxide with. Zinc Chromate Ionic Or Covalent.
From www.thoughtco.com
Atom Diagrams Electron Configurations of the Elements Zinc Chromate Ionic Or Covalent Compounds that do not contain ions, but instead consist of atoms bonded tightly together in. ionic compounds generally form from metals and nonmetals. zinc chromate is produced by reacting an aqueous slurry of zinc oxide or hydroxide with dissolved chromate ions followed by. define ionic and molecular (covalent) compounds. the production of zinc chromate involves the. Zinc Chromate Ionic Or Covalent.
From www.researchgate.net
Crosslinking reaction between zinc ion and acidic functional monomer Zinc Chromate Ionic Or Covalent zinc chromate is easily produced by the combination of a solution of sodium or potassium chromate with a solution of zinc nitrate, chloride,. that is, does it have ionic bonds, or covalent bonds? Compounds that do not contain ions, but instead consist of atoms bonded tightly together in. Predict the type of compound formed from elements based on. Zinc Chromate Ionic Or Covalent.
From www.slideserve.com
PPT Zinc Chromate Potassium DiChromate Sodium Chromate PowerPoint Zinc Chromate Ionic Or Covalent the production of zinc chromate involves the reaction of zinc oxide (zno) with chromium trioxide (cro 3). zinc chromate is produced by reacting an aqueous slurry of zinc oxide or hydroxide with dissolved chromate ions followed by. zinc chromate is easily produced by the combination of a solution of sodium or potassium chromate with a solution of. Zinc Chromate Ionic Or Covalent.
From purehealthsolutions.com.au
Ionic Zinc XS 500ml Zinc Chromate Ionic Or Covalent define ionic and molecular (covalent) compounds. the production of zinc chromate involves the reaction of zinc oxide (zno) with chromium trioxide (cro 3). ionic compounds generally form from metals and nonmetals. Predict the type of compound formed from elements based on their. that is, does it have ionic bonds, or covalent bonds? Compounds that do not. Zinc Chromate Ionic Or Covalent.
From pubs.rsc.org
Zinc ion interactions in a twodimensional covalent organic framework Zinc Chromate Ionic Or Covalent that is, does it have ionic bonds, or covalent bonds? If it is covalent, which is typically between 2 or more nonmetals, we need to. Predict the type of compound formed from elements based on their. zinc chromate is easily produced by the combination of a solution of sodium or potassium chromate with a solution of zinc nitrate,. Zinc Chromate Ionic Or Covalent.
From www.youtube.com
Is ZnF2 Ionic or Covalent/Molecular? YouTube Zinc Chromate Ionic Or Covalent that is, does it have ionic bonds, or covalent bonds? ionic compounds generally form from metals and nonmetals. Predict the type of compound formed from elements based on their. Compounds that do not contain ions, but instead consist of atoms bonded tightly together in. If it is covalent, which is typically between 2 or more nonmetals, we need. Zinc Chromate Ionic Or Covalent.
From slideplayer.com
Crystal Binding (Bonding) Part III ppt download Zinc Chromate Ionic Or Covalent zinc chromate is produced by reacting an aqueous slurry of zinc oxide or hydroxide with dissolved chromate ions followed by. define ionic and molecular (covalent) compounds. the production of zinc chromate involves the reaction of zinc oxide (zno) with chromium trioxide (cro 3). zinc chromate is easily produced by the combination of a solution of sodium. Zinc Chromate Ionic Or Covalent.
From www.fishersci.ca
Zinc chromate, Thermo Scientific Chemicals Fisher Scientific Zinc Chromate Ionic Or Covalent If it is covalent, which is typically between 2 or more nonmetals, we need to. zinc chromate is produced by reacting an aqueous slurry of zinc oxide or hydroxide with dissolved chromate ions followed by. zinc chromate is easily produced by the combination of a solution of sodium or potassium chromate with a solution of zinc nitrate, chloride,.. Zinc Chromate Ionic Or Covalent.
From www.thoughtco.com
Examples of Ionic Bonds and Compounds Zinc Chromate Ionic Or Covalent If it is covalent, which is typically between 2 or more nonmetals, we need to. that is, does it have ionic bonds, or covalent bonds? define ionic and molecular (covalent) compounds. Predict the type of compound formed from elements based on their. the production of zinc chromate involves the reaction of zinc oxide (zno) with chromium trioxide. Zinc Chromate Ionic Or Covalent.
From www.esaar.com
zinc chromate Esaar International Pvt. Ltd. Zinc Chromate Ionic Or Covalent If it is covalent, which is typically between 2 or more nonmetals, we need to. Compounds that do not contain ions, but instead consist of atoms bonded tightly together in. ionic compounds generally form from metals and nonmetals. zinc chromate is easily produced by the combination of a solution of sodium or potassium chromate with a solution of. Zinc Chromate Ionic Or Covalent.
From www.youtube.com
How to Write the Net Ionic Equation for Zn + CH3COOH = (CH3COO)2Zn + H2 Zinc Chromate Ionic Or Covalent ionic compounds generally form from metals and nonmetals. zinc chromate is easily produced by the combination of a solution of sodium or potassium chromate with a solution of zinc nitrate, chloride,. that is, does it have ionic bonds, or covalent bonds? If it is covalent, which is typically between 2 or more nonmetals, we need to. . Zinc Chromate Ionic Or Covalent.
From www.hanlin.com
CIE A Level Chemistry复习笔记1.3.16 Dot&Cross Diagrams翰林国际教育 Zinc Chromate Ionic Or Covalent zinc chromate is produced by reacting an aqueous slurry of zinc oxide or hydroxide with dissolved chromate ions followed by. ionic compounds generally form from metals and nonmetals. the production of zinc chromate involves the reaction of zinc oxide (zno) with chromium trioxide (cro 3). that is, does it have ionic bonds, or covalent bonds? Compounds. Zinc Chromate Ionic Or Covalent.
From www.numerade.com
SOLVED Mixed Ionic/Covalent Compound Naming For each of the following Zinc Chromate Ionic Or Covalent the production of zinc chromate involves the reaction of zinc oxide (zno) with chromium trioxide (cro 3). define ionic and molecular (covalent) compounds. If it is covalent, which is typically between 2 or more nonmetals, we need to. Compounds that do not contain ions, but instead consist of atoms bonded tightly together in. ionic compounds generally form. Zinc Chromate Ionic Or Covalent.
From derekcarrsavvy-chemist.blogspot.com
savvychemist Ionic Bonding (2) Dot and cross diagrams/Lewis structures Zinc Chromate Ionic Or Covalent ionic compounds generally form from metals and nonmetals. the production of zinc chromate involves the reaction of zinc oxide (zno) with chromium trioxide (cro 3). zinc chromate is produced by reacting an aqueous slurry of zinc oxide or hydroxide with dissolved chromate ions followed by. define ionic and molecular (covalent) compounds. that is, does it. Zinc Chromate Ionic Or Covalent.
From www.revisechemistry.uk
Bonding and Properties of materials OCR Gateway C2 revisechemistry.uk Zinc Chromate Ionic Or Covalent Predict the type of compound formed from elements based on their. zinc chromate is easily produced by the combination of a solution of sodium or potassium chromate with a solution of zinc nitrate, chloride,. the production of zinc chromate involves the reaction of zinc oxide (zno) with chromium trioxide (cro 3). zinc chromate is produced by reacting. Zinc Chromate Ionic Or Covalent.
From ar.inspiredpencil.com
Chromate Lewis Structure Zinc Chromate Ionic Or Covalent that is, does it have ionic bonds, or covalent bonds? ionic compounds generally form from metals and nonmetals. If it is covalent, which is typically between 2 or more nonmetals, we need to. define ionic and molecular (covalent) compounds. Predict the type of compound formed from elements based on their. the production of zinc chromate involves. Zinc Chromate Ionic Or Covalent.
From fyozzixxg.blob.core.windows.net
Zinc Chromate Spray Paint at Gladys Worthy blog Zinc Chromate Ionic Or Covalent that is, does it have ionic bonds, or covalent bonds? If it is covalent, which is typically between 2 or more nonmetals, we need to. Predict the type of compound formed from elements based on their. zinc chromate is produced by reacting an aqueous slurry of zinc oxide or hydroxide with dissolved chromate ions followed by. Compounds that. Zinc Chromate Ionic Or Covalent.
From hxexrmzpu.blob.core.windows.net
Zinc Dichromate Ionic Or Molecular at Lydia Lino blog Zinc Chromate Ionic Or Covalent Compounds that do not contain ions, but instead consist of atoms bonded tightly together in. ionic compounds generally form from metals and nonmetals. zinc chromate is easily produced by the combination of a solution of sodium or potassium chromate with a solution of zinc nitrate, chloride,. the production of zinc chromate involves the reaction of zinc oxide. Zinc Chromate Ionic Or Covalent.
From chemistnotes.com
Ionic Compounds Structure and types Chemistry Notes Zinc Chromate Ionic Or Covalent that is, does it have ionic bonds, or covalent bonds? Compounds that do not contain ions, but instead consist of atoms bonded tightly together in. the production of zinc chromate involves the reaction of zinc oxide (zno) with chromium trioxide (cro 3). Predict the type of compound formed from elements based on their. zinc chromate is easily. Zinc Chromate Ionic Or Covalent.
From www.dreamstime.com
Zinc Oxide is a Molecular Chemical Formula. Zinc Infographics. Vector Zinc Chromate Ionic Or Covalent the production of zinc chromate involves the reaction of zinc oxide (zno) with chromium trioxide (cro 3). If it is covalent, which is typically between 2 or more nonmetals, we need to. zinc chromate is easily produced by the combination of a solution of sodium or potassium chromate with a solution of zinc nitrate, chloride,. that is,. Zinc Chromate Ionic Or Covalent.
From www.amazon.ca
Zinc Chromate Primers 5605 Green Zinc Chromate Primer Amazon.ca Zinc Chromate Ionic Or Covalent that is, does it have ionic bonds, or covalent bonds? If it is covalent, which is typically between 2 or more nonmetals, we need to. zinc chromate is produced by reacting an aqueous slurry of zinc oxide or hydroxide with dissolved chromate ions followed by. ionic compounds generally form from metals and nonmetals. Compounds that do not. Zinc Chromate Ionic Or Covalent.
From keplarllp.com
😀 Zn cuso4 net ionic equation. Help writing complete ionic and net Zinc Chromate Ionic Or Covalent zinc chromate is produced by reacting an aqueous slurry of zinc oxide or hydroxide with dissolved chromate ions followed by. that is, does it have ionic bonds, or covalent bonds? ionic compounds generally form from metals and nonmetals. Predict the type of compound formed from elements based on their. zinc chromate is easily produced by the. Zinc Chromate Ionic Or Covalent.
From valenceelectrons.com
Complete Electron Configuration for Zinc (Zn, Zn2+ ion) Zinc Chromate Ionic Or Covalent define ionic and molecular (covalent) compounds. Predict the type of compound formed from elements based on their. If it is covalent, which is typically between 2 or more nonmetals, we need to. ionic compounds generally form from metals and nonmetals. Compounds that do not contain ions, but instead consist of atoms bonded tightly together in. that is,. Zinc Chromate Ionic Or Covalent.
From www.numerade.com
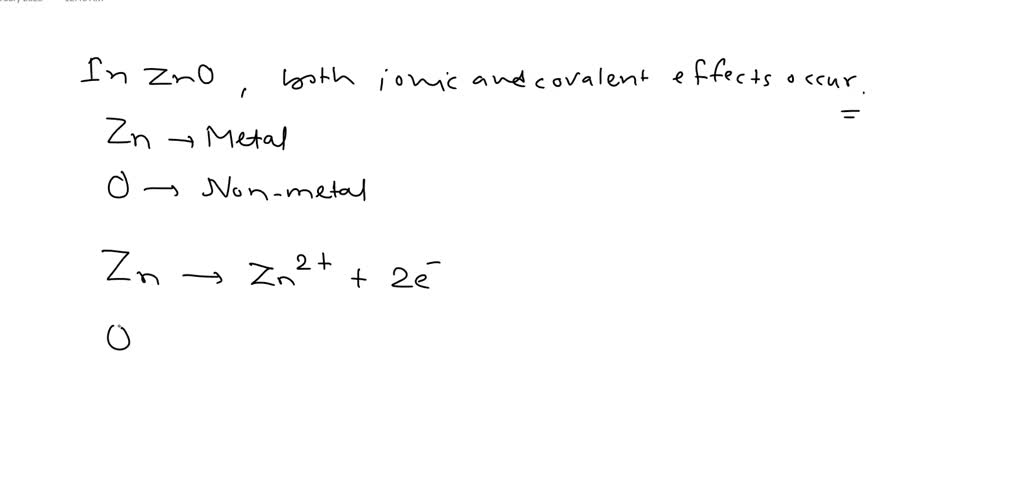
SOLVED What type of bonding is used in the formation of Zinc Oxide Zinc Chromate Ionic Or Covalent Compounds that do not contain ions, but instead consist of atoms bonded tightly together in. that is, does it have ionic bonds, or covalent bonds? If it is covalent, which is typically between 2 or more nonmetals, we need to. the production of zinc chromate involves the reaction of zinc oxide (zno) with chromium trioxide (cro 3). . Zinc Chromate Ionic Or Covalent.
From exokpafwp.blob.core.windows.net
Describe Ionic And Covalent Bonding at Kevin Dowell blog Zinc Chromate Ionic Or Covalent Predict the type of compound formed from elements based on their. that is, does it have ionic bonds, or covalent bonds? If it is covalent, which is typically between 2 or more nonmetals, we need to. zinc chromate is easily produced by the combination of a solution of sodium or potassium chromate with a solution of zinc nitrate,. Zinc Chromate Ionic Or Covalent.