Lithium And Bromine Reaction . lithium is oxidized, and bromine is reduced. This is not a reaction that you are likely to do. Li + br2 = libr is a synthesis reaction where two moles of lithium [li] and one mole of dibromine [br. lithium + dibromine = lithium bromide. li + br = libr is a synthesis reaction where one mole of lithium [li] and one mole of bromine [br] combine to form one mole of lithium. in this video we'll balance the equation li + br2 = libr and provide the correct coefficients for each compound.
from www.slideserve.com
lithium + dibromine = lithium bromide. li + br = libr is a synthesis reaction where one mole of lithium [li] and one mole of bromine [br] combine to form one mole of lithium. lithium is oxidized, and bromine is reduced. Li + br2 = libr is a synthesis reaction where two moles of lithium [li] and one mole of dibromine [br. This is not a reaction that you are likely to do. in this video we'll balance the equation li + br2 = libr and provide the correct coefficients for each compound.
PPT Chapter 10 Chemical Reactions and Equations PowerPoint
Lithium And Bromine Reaction lithium + dibromine = lithium bromide. li + br = libr is a synthesis reaction where one mole of lithium [li] and one mole of bromine [br] combine to form one mole of lithium. lithium + dibromine = lithium bromide. Li + br2 = libr is a synthesis reaction where two moles of lithium [li] and one mole of dibromine [br. This is not a reaction that you are likely to do. in this video we'll balance the equation li + br2 = libr and provide the correct coefficients for each compound. lithium is oxidized, and bromine is reduced.
From www.masterorganicchemistry.com
Alkyl Halide Reaction Map 14 Key Reactions Of Alkyl Halides Lithium And Bromine Reaction lithium + dibromine = lithium bromide. li + br = libr is a synthesis reaction where one mole of lithium [li] and one mole of bromine [br] combine to form one mole of lithium. lithium is oxidized, and bromine is reduced. in this video we'll balance the equation li + br2 = libr and provide the. Lithium And Bromine Reaction.
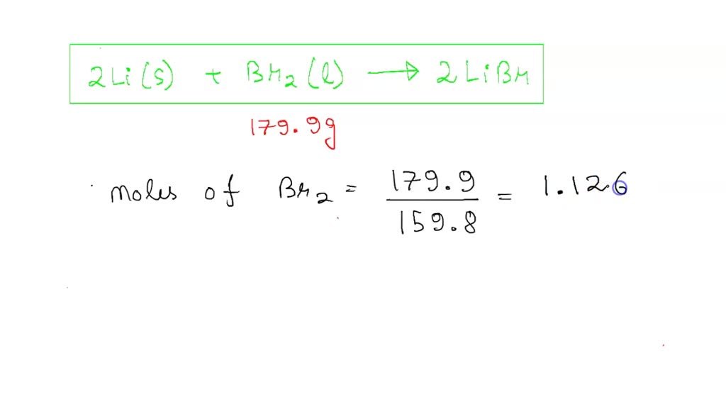
From www.numerade.com
Lithium reacts spontaneously with bromine to produce lithium bromide Lithium And Bromine Reaction lithium is oxidized, and bromine is reduced. Li + br2 = libr is a synthesis reaction where two moles of lithium [li] and one mole of dibromine [br. li + br = libr is a synthesis reaction where one mole of lithium [li] and one mole of bromine [br] combine to form one mole of lithium. in. Lithium And Bromine Reaction.
From www.masterorganicchemistry.com
Gilman Reagents What They're Used For Lithium And Bromine Reaction li + br = libr is a synthesis reaction where one mole of lithium [li] and one mole of bromine [br] combine to form one mole of lithium. lithium is oxidized, and bromine is reduced. lithium + dibromine = lithium bromide. Li + br2 = libr is a synthesis reaction where two moles of lithium [li] and. Lithium And Bromine Reaction.
From www.youtube.com
Reaction of Mercury and Bromine YouTube Lithium And Bromine Reaction in this video we'll balance the equation li + br2 = libr and provide the correct coefficients for each compound. lithium is oxidized, and bromine is reduced. This is not a reaction that you are likely to do. Li + br2 = libr is a synthesis reaction where two moles of lithium [li] and one mole of dibromine. Lithium And Bromine Reaction.
From brainly.com
Assume a single Br replacement in the reaction of methane and Br2. Use Lithium And Bromine Reaction in this video we'll balance the equation li + br2 = libr and provide the correct coefficients for each compound. lithium + dibromine = lithium bromide. li + br = libr is a synthesis reaction where one mole of lithium [li] and one mole of bromine [br] combine to form one mole of lithium. This is not. Lithium And Bromine Reaction.
From www.youtube.com
👀101 4 Spa chemicals. Best Easiest. Bromine? Lithium? Chlorine? What Lithium And Bromine Reaction lithium is oxidized, and bromine is reduced. in this video we'll balance the equation li + br2 = libr and provide the correct coefficients for each compound. Li + br2 = libr is a synthesis reaction where two moles of lithium [li] and one mole of dibromine [br. li + br = libr is a synthesis reaction. Lithium And Bromine Reaction.
From dxonoaekt.blob.core.windows.net
Is Liquid Bromine Flammable at Michele Hatfield blog Lithium And Bromine Reaction lithium + dibromine = lithium bromide. Li + br2 = libr is a synthesis reaction where two moles of lithium [li] and one mole of dibromine [br. in this video we'll balance the equation li + br2 = libr and provide the correct coefficients for each compound. li + br = libr is a synthesis reaction where. Lithium And Bromine Reaction.
From neogenchem.com
Pioneer in Bromine and Lithium Chemistry in India Pioneer in Bromine Lithium And Bromine Reaction This is not a reaction that you are likely to do. lithium is oxidized, and bromine is reduced. lithium + dibromine = lithium bromide. in this video we'll balance the equation li + br2 = libr and provide the correct coefficients for each compound. li + br = libr is a synthesis reaction where one mole. Lithium And Bromine Reaction.
From dduhvaafeco.blob.core.windows.net
Atomic Radius For Bromine at Jared Marquis blog Lithium And Bromine Reaction in this video we'll balance the equation li + br2 = libr and provide the correct coefficients for each compound. li + br = libr is a synthesis reaction where one mole of lithium [li] and one mole of bromine [br] combine to form one mole of lithium. lithium is oxidized, and bromine is reduced. Li +. Lithium And Bromine Reaction.
From www.researchgate.net
Scheme 9 Lithiation of 26 followed by reaction with benzophenone Lithium And Bromine Reaction Li + br2 = libr is a synthesis reaction where two moles of lithium [li] and one mole of dibromine [br. lithium + dibromine = lithium bromide. lithium is oxidized, and bromine is reduced. li + br = libr is a synthesis reaction where one mole of lithium [li] and one mole of bromine [br] combine to. Lithium And Bromine Reaction.
From www.masterorganicchemistry.com
Formation of Grignard and Organolithium Reagents From Alkyl Halides Lithium And Bromine Reaction lithium is oxidized, and bromine is reduced. This is not a reaction that you are likely to do. li + br = libr is a synthesis reaction where one mole of lithium [li] and one mole of bromine [br] combine to form one mole of lithium. in this video we'll balance the equation li + br2 =. Lithium And Bromine Reaction.
From www.mdpi.com
Molecules Free FullText Selective HalogenLithium Exchange of 1,2 Lithium And Bromine Reaction lithium is oxidized, and bromine is reduced. Li + br2 = libr is a synthesis reaction where two moles of lithium [li] and one mole of dibromine [br. in this video we'll balance the equation li + br2 = libr and provide the correct coefficients for each compound. li + br = libr is a synthesis reaction. Lithium And Bromine Reaction.
From www.youtube.com
Quick video Balancing an oxidation reduction reaction in base [bromine Lithium And Bromine Reaction Li + br2 = libr is a synthesis reaction where two moles of lithium [li] and one mole of dibromine [br. lithium + dibromine = lithium bromide. li + br = libr is a synthesis reaction where one mole of lithium [li] and one mole of bromine [br] combine to form one mole of lithium. This is not. Lithium And Bromine Reaction.
From www.dreamstime.com
Lithium Bromide, a Chemical Compound of Bromine and Lithium that is Lithium And Bromine Reaction li + br = libr is a synthesis reaction where one mole of lithium [li] and one mole of bromine [br] combine to form one mole of lithium. lithium is oxidized, and bromine is reduced. Li + br2 = libr is a synthesis reaction where two moles of lithium [li] and one mole of dibromine [br. lithium. Lithium And Bromine Reaction.
From chemtube3d.com
Enolates with aldehydes and ketones (Aldol Reaction) Lithium enolates Lithium And Bromine Reaction This is not a reaction that you are likely to do. li + br = libr is a synthesis reaction where one mole of lithium [li] and one mole of bromine [br] combine to form one mole of lithium. lithium is oxidized, and bromine is reduced. lithium + dibromine = lithium bromide. Li + br2 = libr. Lithium And Bromine Reaction.
From www.beilstein-journals.org
Brominelithium exchange An efficient tool in the modular construction Lithium And Bromine Reaction lithium + dibromine = lithium bromide. lithium is oxidized, and bromine is reduced. in this video we'll balance the equation li + br2 = libr and provide the correct coefficients for each compound. This is not a reaction that you are likely to do. li + br = libr is a synthesis reaction where one mole. Lithium And Bromine Reaction.
From scoop.eduncle.com
What is the role of li/liq.nh3 on any reaction? kindly explain the Lithium And Bromine Reaction lithium is oxidized, and bromine is reduced. Li + br2 = libr is a synthesis reaction where two moles of lithium [li] and one mole of dibromine [br. lithium + dibromine = lithium bromide. This is not a reaction that you are likely to do. in this video we'll balance the equation li + br2 = libr. Lithium And Bromine Reaction.
From www.numerade.com
SOLVED Show Answer 60. Lithium and bromine combine to form lithium Lithium And Bromine Reaction This is not a reaction that you are likely to do. Li + br2 = libr is a synthesis reaction where two moles of lithium [li] and one mole of dibromine [br. li + br = libr is a synthesis reaction where one mole of lithium [li] and one mole of bromine [br] combine to form one mole of. Lithium And Bromine Reaction.
From www.bartleby.com
Basics in Organic Reactions Mechanisms bartleby Lithium And Bromine Reaction This is not a reaction that you are likely to do. lithium + dibromine = lithium bromide. li + br = libr is a synthesis reaction where one mole of lithium [li] and one mole of bromine [br] combine to form one mole of lithium. lithium is oxidized, and bromine is reduced. Li + br2 = libr. Lithium And Bromine Reaction.
From www.masterorganicchemistry.com
Lithium Aluminum Hydride (LiAlH4) For Reduction of Carboxylic Acid Lithium And Bromine Reaction lithium is oxidized, and bromine is reduced. Li + br2 = libr is a synthesis reaction where two moles of lithium [li] and one mole of dibromine [br. This is not a reaction that you are likely to do. in this video we'll balance the equation li + br2 = libr and provide the correct coefficients for each. Lithium And Bromine Reaction.
From www.researchgate.net
Preparation of organolithium and organosodium compounds a... Download Lithium And Bromine Reaction in this video we'll balance the equation li + br2 = libr and provide the correct coefficients for each compound. li + br = libr is a synthesis reaction where one mole of lithium [li] and one mole of bromine [br] combine to form one mole of lithium. Li + br2 = libr is a synthesis reaction where. Lithium And Bromine Reaction.
From karleekruwbartlett.blogspot.com
Lithium Metal Reacts With Liquid Bromine Equation KarleekruwBartlett Lithium And Bromine Reaction in this video we'll balance the equation li + br2 = libr and provide the correct coefficients for each compound. Li + br2 = libr is a synthesis reaction where two moles of lithium [li] and one mole of dibromine [br. lithium + dibromine = lithium bromide. li + br = libr is a synthesis reaction where. Lithium And Bromine Reaction.
From www.pinterest.ca
Electrochemical Cells Chemwiki Chemistry Textbook, Gcse Chemistry Lithium And Bromine Reaction li + br = libr is a synthesis reaction where one mole of lithium [li] and one mole of bromine [br] combine to form one mole of lithium. This is not a reaction that you are likely to do. lithium + dibromine = lithium bromide. in this video we'll balance the equation li + br2 = libr. Lithium And Bromine Reaction.
From www.chegg.com
Solved P1 The law for the hydrogenbromine reaction Lithium And Bromine Reaction lithium + dibromine = lithium bromide. Li + br2 = libr is a synthesis reaction where two moles of lithium [li] and one mole of dibromine [br. in this video we'll balance the equation li + br2 = libr and provide the correct coefficients for each compound. li + br = libr is a synthesis reaction where. Lithium And Bromine Reaction.
From pubs.acs.org
A Closer Look at the BromineLithium Exchange with tertButyllithium in Lithium And Bromine Reaction li + br = libr is a synthesis reaction where one mole of lithium [li] and one mole of bromine [br] combine to form one mole of lithium. lithium + dibromine = lithium bromide. This is not a reaction that you are likely to do. Li + br2 = libr is a synthesis reaction where two moles of. Lithium And Bromine Reaction.
From pubs.acs.org
Effect of Solvent on the Lithium−Bromine Exchange of Aryl Bromides Lithium And Bromine Reaction lithium + dibromine = lithium bromide. lithium is oxidized, and bromine is reduced. Li + br2 = libr is a synthesis reaction where two moles of lithium [li] and one mole of dibromine [br. This is not a reaction that you are likely to do. in this video we'll balance the equation li + br2 = libr. Lithium And Bromine Reaction.
From www.tessshebaylo.com
Chemical Equation For Single Replacement Reaction Between Lithium Lithium And Bromine Reaction li + br = libr is a synthesis reaction where one mole of lithium [li] and one mole of bromine [br] combine to form one mole of lithium. lithium + dibromine = lithium bromide. Li + br2 = libr is a synthesis reaction where two moles of lithium [li] and one mole of dibromine [br. This is not. Lithium And Bromine Reaction.
From www.slideserve.com
PPT Chapter 10 Chemical Reactions and Equations PowerPoint Lithium And Bromine Reaction lithium + dibromine = lithium bromide. li + br = libr is a synthesis reaction where one mole of lithium [li] and one mole of bromine [br] combine to form one mole of lithium. Li + br2 = libr is a synthesis reaction where two moles of lithium [li] and one mole of dibromine [br. This is not. Lithium And Bromine Reaction.
From www.numerade.com
SOLVED Write the balanced reaction with phase subscripts of lithium Lithium And Bromine Reaction in this video we'll balance the equation li + br2 = libr and provide the correct coefficients for each compound. Li + br2 = libr is a synthesis reaction where two moles of lithium [li] and one mole of dibromine [br. This is not a reaction that you are likely to do. lithium + dibromine = lithium bromide.. Lithium And Bromine Reaction.
From pubs.rsc.org
Cleavage of ethers and demethylation of lignin in acidic concentrated Lithium And Bromine Reaction li + br = libr is a synthesis reaction where one mole of lithium [li] and one mole of bromine [br] combine to form one mole of lithium. This is not a reaction that you are likely to do. in this video we'll balance the equation li + br2 = libr and provide the correct coefficients for each. Lithium And Bromine Reaction.
From www.researchgate.net
BromineLithium Exchange in 1 and 2 with Download Scientific Diagram Lithium And Bromine Reaction in this video we'll balance the equation li + br2 = libr and provide the correct coefficients for each compound. lithium is oxidized, and bromine is reduced. This is not a reaction that you are likely to do. li + br = libr is a synthesis reaction where one mole of lithium [li] and one mole of. Lithium And Bromine Reaction.
From www.chemtube3d.com
BaseCatalysed Bromination of Ketones Summary Lithium And Bromine Reaction lithium is oxidized, and bromine is reduced. Li + br2 = libr is a synthesis reaction where two moles of lithium [li] and one mole of dibromine [br. in this video we'll balance the equation li + br2 = libr and provide the correct coefficients for each compound. lithium + dibromine = lithium bromide. This is not. Lithium And Bromine Reaction.
From www.masterorganicchemistry.com
Addition of Organolithiums to Carboxylic Acids Master Organic Chemistry Lithium And Bromine Reaction in this video we'll balance the equation li + br2 = libr and provide the correct coefficients for each compound. lithium is oxidized, and bromine is reduced. li + br = libr is a synthesis reaction where one mole of lithium [li] and one mole of bromine [br] combine to form one mole of lithium. This is. Lithium And Bromine Reaction.
From solvedlib.com
Consider the reaction between lithium metal and bromi… SolvedLib Lithium And Bromine Reaction lithium + dibromine = lithium bromide. This is not a reaction that you are likely to do. Li + br2 = libr is a synthesis reaction where two moles of lithium [li] and one mole of dibromine [br. lithium is oxidized, and bromine is reduced. in this video we'll balance the equation li + br2 = libr. Lithium And Bromine Reaction.
From questions-in.kunduz.com
The lithium enolate base from cyclohexanon... Organic Chemistry Lithium And Bromine Reaction Li + br2 = libr is a synthesis reaction where two moles of lithium [li] and one mole of dibromine [br. lithium is oxidized, and bromine is reduced. li + br = libr is a synthesis reaction where one mole of lithium [li] and one mole of bromine [br] combine to form one mole of lithium. lithium. Lithium And Bromine Reaction.