F = P(1 + I)^N . Download and print present value of future payment chart. N = number of periods. The compound amount formula (f/p) calculates the future value of a present sum of money after compounding at a given interest rate for a specific number of. So, the basic formula for compound interest is: Compound amount (f/p, i, n): I = discount rate per period. Compound interest, or 'interest on interest', is calculated using the compound interest. Fv = future value, pv = present value, r = interest rate (as a. F = p (1 + i)n(1) where. Fv = pv (1+r) n. The accumulated value of a present sum invested at a given interest rate after some time can be expressed as. F = p (1 + i) n which can. Use compound interest formula a=p(1 + r/n)^nt to find interest, principal, rate, time and. F = single future payment. Compound interest calculator finds compound interest earned on an investment or paid on a loan.
from www.scribd.com
Compound amount (f/p, i, n): Download and print present value of future payment chart. Compound interest calculator finds compound interest earned on an investment or paid on a loan. F=p\left(1+i\right)^{n} solve for n \left\{\begin{matrix}n=\frac{8\pi n_{1}i}{2\ln(2)+\pi i}+\frac{4\ln(\frac{f}{p})}{2\ln(2)+\pi i}\text{,. N = number of periods. Compound interest, or 'interest on interest', is calculated using the compound interest. The compound amount formula (f/p) calculates the future value of a present sum of money after compounding at a given interest rate for a specific number of. I = discount rate per period. F = p (1 + i) n which can. Fv = pv (1+r) n.
Interés Simple Fórmulas I P I N F P + I F P (1+ I N) PDF
F = P(1 + I)^N Fv = pv (1+r) n. Fv = pv (1+r) n. The compound amount formula (f/p) calculates the future value of a present sum of money after compounding at a given interest rate for a specific number of. Download and print present value of future payment chart. So, the basic formula for compound interest is: F=p\left(1+i\right)^{n} solve for n \left\{\begin{matrix}n=\frac{8\pi n_{1}i}{2\ln(2)+\pi i}+\frac{4\ln(\frac{f}{p})}{2\ln(2)+\pi i}\text{,. F = p (1 + i) n which can. Compound amount (f/p, i, n): F = single future payment. Use compound interest formula a=p(1 + r/n)^nt to find interest, principal, rate, time and. N = number of periods. The accumulated value of a present sum invested at a given interest rate after some time can be expressed as. I = discount rate per period. Fv = future value, pv = present value, r = interest rate (as a. Compound interest, or 'interest on interest', is calculated using the compound interest. F = p (1 + i)n(1) where.
From www.studocu.com
Número DE AÑOS hgnuy yy u y NÚMERO DE AÑOS Interés compuesto P = F F = P(1 + I)^N Compound amount (f/p, i, n): Fv = pv (1+r) n. Compound interest calculator finds compound interest earned on an investment or paid on a loan. The compound amount formula (f/p) calculates the future value of a present sum of money after compounding at a given interest rate for a specific number of. Fv = future value, pv = present value,. F = P(1 + I)^N.
From www.studocu.com
Formulario Ingeniería Económica FORMULARIO INGENIERÍA ECONÓMICA F = P(1 + I)^N N = number of periods. Compound amount (f/p, i, n): The compound amount formula (f/p) calculates the future value of a present sum of money after compounding at a given interest rate for a specific number of. Compound interest, or 'interest on interest', is calculated using the compound interest. F=p\left(1+i\right)^{n} solve for n \left\{\begin{matrix}n=\frac{8\pi n_{1}i}{2\ln(2)+\pi i}+\frac{4\ln(\frac{f}{p})}{2\ln(2)+\pi i}\text{,. F = p. F = P(1 + I)^N.
From www.youtube.com
Solve the Literal Equation 1/p + 1/q = 1/f for f YouTube F = P(1 + I)^N N = number of periods. Fv = future value, pv = present value, r = interest rate (as a. F=p\left(1+i\right)^{n} solve for n \left\{\begin{matrix}n=\frac{8\pi n_{1}i}{2\ln(2)+\pi i}+\frac{4\ln(\frac{f}{p})}{2\ln(2)+\pi i}\text{,. The compound amount formula (f/p) calculates the future value of a present sum of money after compounding at a given interest rate for a specific number of. F = single future payment. The. F = P(1 + I)^N.
From horrornews.net
Film Review F.P.1 Doesn't Answer (1932) HNN F = P(1 + I)^N So, the basic formula for compound interest is: F = single future payment. The accumulated value of a present sum invested at a given interest rate after some time can be expressed as. Compound interest, or 'interest on interest', is calculated using the compound interest. Compound interest calculator finds compound interest earned on an investment or paid on a loan.. F = P(1 + I)^N.
From www.youtube.com
Compound Interest Using Rule A=P(1+i)^n YouTube F = P(1 + I)^N Fv = pv (1+r) n. Download and print present value of future payment chart. So, the basic formula for compound interest is: Compound interest, or 'interest on interest', is calculated using the compound interest. Use compound interest formula a=p(1 + r/n)^nt to find interest, principal, rate, time and. N = number of periods. F=p\left(1+i\right)^{n} solve for n \left\{\begin{matrix}n=\frac{8\pi n_{1}i}{2\ln(2)+\pi i}+\frac{4\ln(\frac{f}{p})}{2\ln(2)+\pi. F = P(1 + I)^N.
From www.studocu.com
Fórmulas Ingeco fòrmulas YEISON C.. CASAS 𝑨𝑵𝑼𝑨𝑳𝑰𝑫𝑨𝑫𝑬𝑺 𝐹 = 𝑃(1 + 𝑖)𝑛 F = P(1 + I)^N Compound interest, or 'interest on interest', is calculated using the compound interest. Fv = future value, pv = present value, r = interest rate (as a. F=p\left(1+i\right)^{n} solve for n \left\{\begin{matrix}n=\frac{8\pi n_{1}i}{2\ln(2)+\pi i}+\frac{4\ln(\frac{f}{p})}{2\ln(2)+\pi i}\text{,. The accumulated value of a present sum invested at a given interest rate after some time can be expressed as. N = number of periods. F. F = P(1 + I)^N.
From www.chegg.com
Solved (F P, i, N) F = P(1 + i)n (P A, i, N) P = A((1+i)N F = P(1 + I)^N The compound amount formula (f/p) calculates the future value of a present sum of money after compounding at a given interest rate for a specific number of. Fv = future value, pv = present value, r = interest rate (as a. Use compound interest formula a=p(1 + r/n)^nt to find interest, principal, rate, time and. Compound interest, or 'interest on. F = P(1 + I)^N.
From www.slideserve.com
PPT Chapter 2 PowerPoint Presentation, free download ID5666984 F = P(1 + I)^N The accumulated value of a present sum invested at a given interest rate after some time can be expressed as. The compound amount formula (f/p) calculates the future value of a present sum of money after compounding at a given interest rate for a specific number of. F = p (1 + i) n which can. N = number of. F = P(1 + I)^N.
From www.slideserve.com
PPT Interés Compuesto PowerPoint Presentation, free download ID5949037 F = P(1 + I)^N The compound amount formula (f/p) calculates the future value of a present sum of money after compounding at a given interest rate for a specific number of. F = single future payment. Use compound interest formula a=p(1 + r/n)^nt to find interest, principal, rate, time and. Compound interest calculator finds compound interest earned on an investment or paid on a. F = P(1 + I)^N.
From www.studocu.com
Formulario Ingeco admonit Formulario Ingeniería Económica 𝐹 = 𝑃(1 + 𝑖 F = P(1 + I)^N The accumulated value of a present sum invested at a given interest rate after some time can be expressed as. Compound interest, or 'interest on interest', is calculated using the compound interest. Use compound interest formula a=p(1 + r/n)^nt to find interest, principal, rate, time and. Fv = future value, pv = present value, r = interest rate (as a.. F = P(1 + I)^N.
From www.studocu.com
Taller 2 DE Finanzas INTERES COMPUESTO P= 750000 F= P(1+i)^n F=? F F = P(1 + I)^N Use compound interest formula a=p(1 + r/n)^nt to find interest, principal, rate, time and. The compound amount formula (f/p) calculates the future value of a present sum of money after compounding at a given interest rate for a specific number of. Fv = pv (1+r) n. F = p (1 + i)n(1) where. I = discount rate per period. The. F = P(1 + I)^N.
From math.stackexchange.com
calculus f is integrable over Q iff U(f,P)L(f,P) F = P(1 + I)^N Compound amount (f/p, i, n): F=p\left(1+i\right)^{n} solve for n \left\{\begin{matrix}n=\frac{8\pi n_{1}i}{2\ln(2)+\pi i}+\frac{4\ln(\frac{f}{p})}{2\ln(2)+\pi i}\text{,. Download and print present value of future payment chart. The accumulated value of a present sum invested at a given interest rate after some time can be expressed as. F = single future payment. I = discount rate per period. Fv = pv (1+r) n. The compound. F = P(1 + I)^N.
From www.chegg.com
Solved Symbol Formula (F/P, i, n) F =P(1+i)" (P/F, i, n) P F = P(1 + I)^N F=p\left(1+i\right)^{n} solve for n \left\{\begin{matrix}n=\frac{8\pi n_{1}i}{2\ln(2)+\pi i}+\frac{4\ln(\frac{f}{p})}{2\ln(2)+\pi i}\text{,. So, the basic formula for compound interest is: F = single future payment. Download and print present value of future payment chart. Compound interest calculator finds compound interest earned on an investment or paid on a loan. The compound amount formula (f/p) calculates the future value of a present sum of money. F = P(1 + I)^N.
From www.slideshare.net
Engineering economics F = P(1 + I)^N Compound interest, or 'interest on interest', is calculated using the compound interest. F = single future payment. The accumulated value of a present sum invested at a given interest rate after some time can be expressed as. Fv = pv (1+r) n. F = p (1 + i)n(1) where. Use compound interest formula a=p(1 + r/n)^nt to find interest, principal,. F = P(1 + I)^N.
From www.studocu.com
Interest Dhdbtaa 10/3/ 1 ⚫ Compound interest F = P F = P(1 + I)^N F=p\left(1+i\right)^{n} solve for n \left\{\begin{matrix}n=\frac{8\pi n_{1}i}{2\ln(2)+\pi i}+\frac{4\ln(\frac{f}{p})}{2\ln(2)+\pi i}\text{,. Download and print present value of future payment chart. F = p (1 + i) n which can. The compound amount formula (f/p) calculates the future value of a present sum of money after compounding at a given interest rate for a specific number of. Fv = pv (1+r) n. So, the. F = P(1 + I)^N.
From www.studocu.com
Wzory inwestowanie F=P( 1 +i) n P= F ( 1 +i) n F A = A [ ( 1 + i) n − F = P(1 + I)^N The compound amount formula (f/p) calculates the future value of a present sum of money after compounding at a given interest rate for a specific number of. I = discount rate per period. Compound amount (f/p, i, n): The accumulated value of a present sum invested at a given interest rate after some time can be expressed as. So, the. F = P(1 + I)^N.
From www.chegg.com
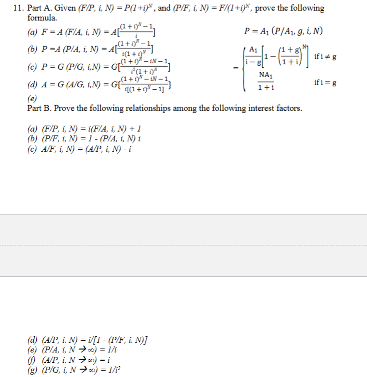
Solved 11. Part A. Given (F/P,i,N)=P(1+i)N, and F = P(1 + I)^N Compound amount (f/p, i, n): F = p (1 + i)n(1) where. So, the basic formula for compound interest is: F = single future payment. Compound interest, or 'interest on interest', is calculated using the compound interest. Compound interest calculator finds compound interest earned on an investment or paid on a loan. F=p\left(1+i\right)^{n} solve for n \left\{\begin{matrix}n=\frac{8\pi n_{1}i}{2\ln(2)+\pi i}+\frac{4\ln(\frac{f}{p})}{2\ln(2)+\pi i}\text{,.. F = P(1 + I)^N.
From www.chegg.com
Solved F=P(1+i)nF=R[(1+i)n−1]P(1+i)n=R[(1+i)n−1] Problem 1. F = P(1 + I)^N Fv = future value, pv = present value, r = interest rate (as a. The accumulated value of a present sum invested at a given interest rate after some time can be expressed as. Compound amount (f/p, i, n): The compound amount formula (f/p) calculates the future value of a present sum of money after compounding at a given interest. F = P(1 + I)^N.
From www.chegg.com
Solved Here are some formulas you may need P/F = 1/(1 + F = P(1 + I)^N I = discount rate per period. Compound interest calculator finds compound interest earned on an investment or paid on a loan. Fv = pv (1+r) n. N = number of periods. Compound amount (f/p, i, n): The compound amount formula (f/p) calculates the future value of a present sum of money after compounding at a given interest rate for a. F = P(1 + I)^N.
From www.studocu.com
10 12 apuntes Termina las operaciones i debe ser menor que 20 𝐹 F = P(1 + I)^N F = p (1 + i)n(1) where. F = p (1 + i) n which can. Compound amount (f/p, i, n): F = single future payment. Compound interest, or 'interest on interest', is calculated using the compound interest. Use compound interest formula a=p(1 + r/n)^nt to find interest, principal, rate, time and. F=p\left(1+i\right)^{n} solve for n \left\{\begin{matrix}n=\frac{8\pi n_{1}i}{2\ln(2)+\pi i}+\frac{4\ln(\frac{f}{p})}{2\ln(2)+\pi i}\text{,.. F = P(1 + I)^N.
From www.studocu.com
Interes Simple tablas INTERES SIMPLE I P. i . n F P (1 i. n ) F P 1 F = P(1 + I)^N Use compound interest formula a=p(1 + r/n)^nt to find interest, principal, rate, time and. F = p (1 + i)n(1) where. Compound amount (f/p, i, n): Compound interest calculator finds compound interest earned on an investment or paid on a loan. I = discount rate per period. So, the basic formula for compound interest is: F = p (1 +. F = P(1 + I)^N.
From slideplayer.com
1 EGGC4214 Systems Engineering & Economy Lecture 4 Interest Formulas F = P(1 + I)^N The accumulated value of a present sum invested at a given interest rate after some time can be expressed as. Fv = pv (1+r) n. The compound amount formula (f/p) calculates the future value of a present sum of money after compounding at a given interest rate for a specific number of. Compound interest calculator finds compound interest earned on. F = P(1 + I)^N.
From www.slideserve.com
PPT Project Feasibility PowerPoint Presentation, free download ID F = P(1 + I)^N F=p\left(1+i\right)^{n} solve for n \left\{\begin{matrix}n=\frac{8\pi n_{1}i}{2\ln(2)+\pi i}+\frac{4\ln(\frac{f}{p})}{2\ln(2)+\pi i}\text{,. F = single future payment. Compound interest, or 'interest on interest', is calculated using the compound interest. Fv = pv (1+r) n. Download and print present value of future payment chart. The accumulated value of a present sum invested at a given interest rate after some time can be expressed as. The. F = P(1 + I)^N.
From www.scribd.com
Interés Simple Fórmulas I P I N F P + I F P (1+ I N) PDF F = P(1 + I)^N Use compound interest formula a=p(1 + r/n)^nt to find interest, principal, rate, time and. N = number of periods. F = single future payment. Compound interest calculator finds compound interest earned on an investment or paid on a loan. The accumulated value of a present sum invested at a given interest rate after some time can be expressed as. So,. F = P(1 + I)^N.
From www.chegg.com
Solved Symbol Formula (F/P, i, n) F =P(1+i)" (P/F, i, n) P F = P(1 + I)^N F = p (1 + i)n(1) where. I = discount rate per period. Compound interest, or 'interest on interest', is calculated using the compound interest. Fv = future value, pv = present value, r = interest rate (as a. Use compound interest formula a=p(1 + r/n)^nt to find interest, principal, rate, time and. So, the basic formula for compound interest. F = P(1 + I)^N.
From www.gauthmath.com
Solved Use the compound interest formula to determine the final The F = P(1 + I)^N Use compound interest formula a=p(1 + r/n)^nt to find interest, principal, rate, time and. The compound amount formula (f/p) calculates the future value of a present sum of money after compounding at a given interest rate for a specific number of. The accumulated value of a present sum invested at a given interest rate after some time can be expressed. F = P(1 + I)^N.
From www.youtube.com
Financial Formula A= P(1+ i )^n Word Problem Grade 11, Learn Math with F = P(1 + I)^N So, the basic formula for compound interest is: F = single future payment. The accumulated value of a present sum invested at a given interest rate after some time can be expressed as. F=p\left(1+i\right)^{n} solve for n \left\{\begin{matrix}n=\frac{8\pi n_{1}i}{2\ln(2)+\pi i}+\frac{4\ln(\frac{f}{p})}{2\ln(2)+\pi i}\text{,. Download and print present value of future payment chart. Use compound interest formula a=p(1 + r/n)^nt to find interest,. F = P(1 + I)^N.
From www.studocu.com
Actividad Colaborativa 3.1 Tabla de Capitalización F= P(1+i)ᶺn F = P(1 + I)^N Compound interest, or 'interest on interest', is calculated using the compound interest. Compound interest calculator finds compound interest earned on an investment or paid on a loan. I = discount rate per period. The accumulated value of a present sum invested at a given interest rate after some time can be expressed as. F = p (1 + i) n. F = P(1 + I)^N.
From www.chegg.com
Solved Use the following equation F = P (1+ i)^N. Given F F = P(1 + I)^N Fv = pv (1+r) n. Compound interest, or 'interest on interest', is calculated using the compound interest. F = p (1 + i)n(1) where. Download and print present value of future payment chart. Compound amount (f/p, i, n): Use compound interest formula a=p(1 + r/n)^nt to find interest, principal, rate, time and. The accumulated value of a present sum invested. F = P(1 + I)^N.
From www.numerade.com
SOLVED 23. The future value F of monthly payments of P at an interest F = P(1 + I)^N F = p (1 + i) n which can. Fv = future value, pv = present value, r = interest rate (as a. Download and print present value of future payment chart. Compound amount (f/p, i, n): I = discount rate per period. F = p (1 + i)n(1) where. N = number of periods. Fv = pv (1+r) n.. F = P(1 + I)^N.
From www.chegg.com
Solved In the formula P = F(1 + i)^n the factor (1 + 1)^n F = P(1 + I)^N The accumulated value of a present sum invested at a given interest rate after some time can be expressed as. The compound amount formula (f/p) calculates the future value of a present sum of money after compounding at a given interest rate for a specific number of. Fv = future value, pv = present value, r = interest rate (as. F = P(1 + I)^N.
From studylib.net
P/F , i, n F = P(1 + I)^N The accumulated value of a present sum invested at a given interest rate after some time can be expressed as. Fv = future value, pv = present value, r = interest rate (as a. Compound interest, or 'interest on interest', is calculated using the compound interest. F = p (1 + i)n(1) where. Use compound interest formula a=p(1 + r/n)^nt. F = P(1 + I)^N.
From www.youtube.com
Compound Interest formula A=P(1+i)^n YouTube F = P(1 + I)^N F = single future payment. F = p (1 + i)n(1) where. The compound amount formula (f/p) calculates the future value of a present sum of money after compounding at a given interest rate for a specific number of. F=p\left(1+i\right)^{n} solve for n \left\{\begin{matrix}n=\frac{8\pi n_{1}i}{2\ln(2)+\pi i}+\frac{4\ln(\frac{f}{p})}{2\ln(2)+\pi i}\text{,. N = number of periods. Compound amount (f/p, i, n): The accumulated value. F = P(1 + I)^N.
From es.scribd.com
F=P 〖 (1+i) 〗 ^n PDF Economias F = P(1 + I)^N Compound interest calculator finds compound interest earned on an investment or paid on a loan. F = p (1 + i) n which can. The compound amount formula (f/p) calculates the future value of a present sum of money after compounding at a given interest rate for a specific number of. F = single future payment. Compound amount (f/p, i,. F = P(1 + I)^N.
From www.studocu.com
255765026 Ejercicios Unidad 4 Interes Simple F=P(1+n*i) Interes F = P(1 + I)^N The compound amount formula (f/p) calculates the future value of a present sum of money after compounding at a given interest rate for a specific number of. Fv = future value, pv = present value, r = interest rate (as a. Compound interest, or 'interest on interest', is calculated using the compound interest. The accumulated value of a present sum. F = P(1 + I)^N.