What Is Draft Tube And Explain Its Application .   a draft tube is a tube that establishes a connection between the water turbine’s outlet and the tailrace, which is the water channel.   what is a draft tube? Draft tubes are one of the most. A draft tube is a specialised tube that serves as an intermediary connection between the exit of a water turbine and the tailrace, a channel responsible for directing water away from the turbine's exit point.   the draft tube is a connecting pipe that is normally installed at the turbine’s outlet or exhaust, and it transfers the. This channel is called the tailrace.  a draft tube is a special tube that connects the end of a water turbine to the water channel that carries the water away. A draft tube is a kind of tube which connects (or acts as an intermediately) between the water turbine exit and tail race.  the draft tube is a connecting tube that gradually increases in area from the impeller outlet to the rear barrel.   what is a draft tube?
        
        from www.youtube.com 
     
        
        A draft tube is a kind of tube which connects (or acts as an intermediately) between the water turbine exit and tail race. This channel is called the tailrace.  a draft tube is a special tube that connects the end of a water turbine to the water channel that carries the water away. A draft tube is a specialised tube that serves as an intermediary connection between the exit of a water turbine and the tailrace, a channel responsible for directing water away from the turbine's exit point.   what is a draft tube?  the draft tube is a connecting tube that gradually increases in area from the impeller outlet to the rear barrel.   the draft tube is a connecting pipe that is normally installed at the turbine’s outlet or exhaust, and it transfers the.   a draft tube is a tube that establishes a connection between the water turbine’s outlet and the tailrace, which is the water channel. Draft tubes are one of the most.   what is a draft tube?
    
    	
            
	
		 
         
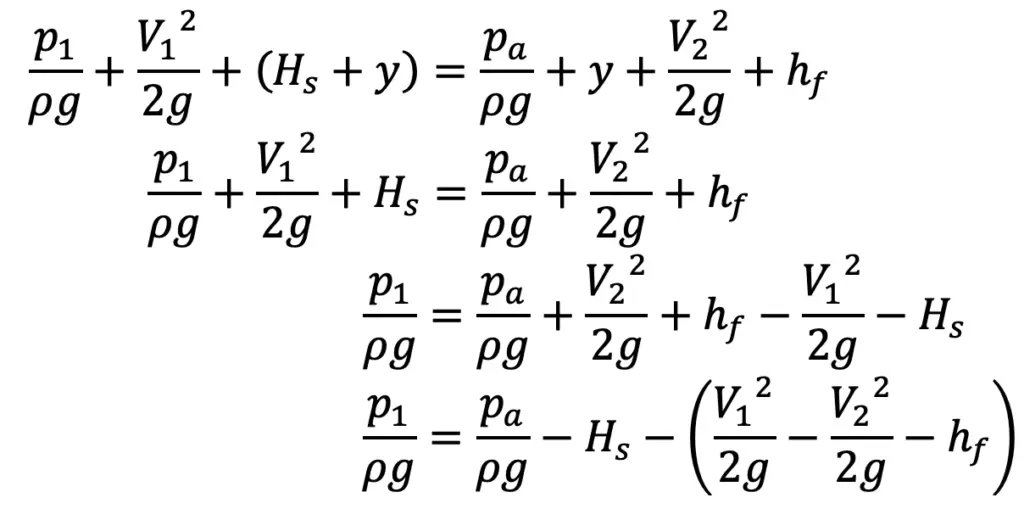
    Draft tube theory Application of Bernoulli's equation YouTube 
    What Is Draft Tube And Explain Its Application    a draft tube is a tube that establishes a connection between the water turbine’s outlet and the tailrace, which is the water channel.   a draft tube is a tube that establishes a connection between the water turbine’s outlet and the tailrace, which is the water channel.  the draft tube is a connecting tube that gradually increases in area from the impeller outlet to the rear barrel. A draft tube is a kind of tube which connects (or acts as an intermediately) between the water turbine exit and tail race. Draft tubes are one of the most.   what is a draft tube? This channel is called the tailrace.  a draft tube is a special tube that connects the end of a water turbine to the water channel that carries the water away.   the draft tube is a connecting pipe that is normally installed at the turbine’s outlet or exhaust, and it transfers the.   what is a draft tube? A draft tube is a specialised tube that serves as an intermediary connection between the exit of a water turbine and the tailrace, a channel responsible for directing water away from the turbine's exit point.
            
	
		 
         
 
    
        From extrudesign.com 
                    How to calculate the Efficiency of Draft Tube? ExtruDesign What Is Draft Tube And Explain Its Application    the draft tube is a connecting pipe that is normally installed at the turbine’s outlet or exhaust, and it transfers the.   what is a draft tube? A draft tube is a specialised tube that serves as an intermediary connection between the exit of a water turbine and the tailrace, a channel responsible for directing water away from the. What Is Draft Tube And Explain Its Application.
     
    
        From extrudesign.com 
                    How to calculate the Efficiency of Draft Tube? ExtruDesign What Is Draft Tube And Explain Its Application   the draft tube is a connecting tube that gradually increases in area from the impeller outlet to the rear barrel.   the draft tube is a connecting pipe that is normally installed at the turbine’s outlet or exhaust, and it transfers the. This channel is called the tailrace.  a draft tube is a special tube that connects the. What Is Draft Tube And Explain Its Application.
     
    
        From dxobciyrk.blob.core.windows.net 
                    What Is A Draft Tube Explain Its Functions at Zoe Andrade blog What Is Draft Tube And Explain Its Application   the draft tube is a connecting tube that gradually increases in area from the impeller outlet to the rear barrel. A draft tube is a specialised tube that serves as an intermediary connection between the exit of a water turbine and the tailrace, a channel responsible for directing water away from the turbine's exit point.   the draft tube. What Is Draft Tube And Explain Its Application.
     
    
        From www.researchgate.net 
                    (PDF) THEORY OF DRAFT TUBE What Is Draft Tube And Explain Its Application    the draft tube is a connecting pipe that is normally installed at the turbine’s outlet or exhaust, and it transfers the.  the draft tube is a connecting tube that gradually increases in area from the impeller outlet to the rear barrel. This channel is called the tailrace.   what is a draft tube? A draft tube is a. What Is Draft Tube And Explain Its Application.
     
    
        From www.youtube.com 
                    What is draft tube I what is draft tube in turbine I Function of draft What Is Draft Tube And Explain Its Application  A draft tube is a specialised tube that serves as an intermediary connection between the exit of a water turbine and the tailrace, a channel responsible for directing water away from the turbine's exit point.  the draft tube is a connecting tube that gradually increases in area from the impeller outlet to the rear barrel.   what is a. What Is Draft Tube And Explain Its Application.
     
    
        From www.youtube.com 
                    Francis turbine Working Principle Function of Draft tube, Runner What Is Draft Tube And Explain Its Application  A draft tube is a specialised tube that serves as an intermediary connection between the exit of a water turbine and the tailrace, a channel responsible for directing water away from the turbine's exit point.  the draft tube is a connecting tube that gradually increases in area from the impeller outlet to the rear barrel.   a draft tube. What Is Draft Tube And Explain Its Application.
     
    
        From dxobciyrk.blob.core.windows.net 
                    What Is A Draft Tube Explain Its Functions at Zoe Andrade blog What Is Draft Tube And Explain Its Application    what is a draft tube?   the draft tube is a connecting pipe that is normally installed at the turbine’s outlet or exhaust, and it transfers the. A draft tube is a kind of tube which connects (or acts as an intermediately) between the water turbine exit and tail race. A draft tube is a specialised tube that serves. What Is Draft Tube And Explain Its Application.
     
    
        From www.dingwells.com 
                    Hydro Draft Tube Dingwell's Enegry Industry What Is Draft Tube And Explain Its Application    what is a draft tube? Draft tubes are one of the most. This channel is called the tailrace.  the draft tube is a connecting tube that gradually increases in area from the impeller outlet to the rear barrel.  a draft tube is a special tube that connects the end of a water turbine to the water channel. What Is Draft Tube And Explain Its Application.
     
    
        From dxobciyrk.blob.core.windows.net 
                    What Is A Draft Tube Explain Its Functions at Zoe Andrade blog What Is Draft Tube And Explain Its Application    the draft tube is a connecting pipe that is normally installed at the turbine’s outlet or exhaust, and it transfers the.   what is a draft tube?   a draft tube is a tube that establishes a connection between the water turbine’s outlet and the tailrace, which is the water channel.  a draft tube is a special tube. What Is Draft Tube And Explain Its Application.
     
    
        From www.mdpi.com 
                    Water Free FullText Francis Turbine Draft Tube Troubleshooting What Is Draft Tube And Explain Its Application  This channel is called the tailrace.   a draft tube is a tube that establishes a connection between the water turbine’s outlet and the tailrace, which is the water channel. A draft tube is a kind of tube which connects (or acts as an intermediately) between the water turbine exit and tail race.  a draft tube is a special. What Is Draft Tube And Explain Its Application.
     
    
        From www.envirodynesystems.com 
                    Draft Tube Mixers Envirodyne Systems Inc. What Is Draft Tube And Explain Its Application  This channel is called the tailrace.   the draft tube is a connecting pipe that is normally installed at the turbine’s outlet or exhaust, and it transfers the.   what is a draft tube?  the draft tube is a connecting tube that gradually increases in area from the impeller outlet to the rear barrel. A draft tube is a. What Is Draft Tube And Explain Its Application.
     
    
        From www.google.com 
                    Patent US3532327 Draft tube arrangement for startingup and settled What Is Draft Tube And Explain Its Application   a draft tube is a special tube that connects the end of a water turbine to the water channel that carries the water away. Draft tubes are one of the most. A draft tube is a kind of tube which connects (or acts as an intermediately) between the water turbine exit and tail race.   a draft tube is. What Is Draft Tube And Explain Its Application.
     
    
        From www.mech4study.com 
                    What is Draft Tube, Its Types and Function? Mech4study What Is Draft Tube And Explain Its Application    a draft tube is a tube that establishes a connection between the water turbine’s outlet and the tailrace, which is the water channel. A draft tube is a kind of tube which connects (or acts as an intermediately) between the water turbine exit and tail race. Draft tubes are one of the most.   what is a draft tube?. What Is Draft Tube And Explain Its Application.
     
    
        From www.frenchriverland.com 
                    Draft Tube Tests What Is Draft Tube And Explain Its Application    the draft tube is a connecting pipe that is normally installed at the turbine’s outlet or exhaust, and it transfers the. Draft tubes are one of the most.   what is a draft tube?  the draft tube is a connecting tube that gradually increases in area from the impeller outlet to the rear barrel.   what is a. What Is Draft Tube And Explain Its Application.
     
    
        From www.mdpi.com 
                    Energies Free FullText Effect of Fins on the Internal Flow What Is Draft Tube And Explain Its Application    what is a draft tube?   what is a draft tube?   a draft tube is a tube that establishes a connection between the water turbine’s outlet and the tailrace, which is the water channel. A draft tube is a specialised tube that serves as an intermediary connection between the exit of a water turbine and the tailrace, a. What Is Draft Tube And Explain Its Application.
     
    
        From www.youtube.com 
                    Draft tube and its types YouTube What Is Draft Tube And Explain Its Application    the draft tube is a connecting pipe that is normally installed at the turbine’s outlet or exhaust, and it transfers the. A draft tube is a specialised tube that serves as an intermediary connection between the exit of a water turbine and the tailrace, a channel responsible for directing water away from the turbine's exit point.  a draft. What Is Draft Tube And Explain Its Application.
     
    
        From hameco.com.vn 
                    Draft tube What Is Draft Tube And Explain Its Application  A draft tube is a kind of tube which connects (or acts as an intermediately) between the water turbine exit and tail race.   what is a draft tube? This channel is called the tailrace. A draft tube is a specialised tube that serves as an intermediary connection between the exit of a water turbine and the tailrace, a channel. What Is Draft Tube And Explain Its Application.
     
    
        From www.researchgate.net 
                    Draft tube used for the optimization with different crosssections What Is Draft Tube And Explain Its Application   the draft tube is a connecting tube that gradually increases in area from the impeller outlet to the rear barrel. This channel is called the tailrace. Draft tubes are one of the most. A draft tube is a kind of tube which connects (or acts as an intermediately) between the water turbine exit and tail race.   what is. What Is Draft Tube And Explain Its Application.
     
    
        From mechanicaljungle.com 
                    Working of Draft Tube The Efficiency of Draft Tube Types of Draft Tube What Is Draft Tube And Explain Its Application  Draft tubes are one of the most. A draft tube is a specialised tube that serves as an intermediary connection between the exit of a water turbine and the tailrace, a channel responsible for directing water away from the turbine's exit point.   a draft tube is a tube that establishes a connection between the water turbine’s outlet and the. What Is Draft Tube And Explain Its Application.
     
    
        From www.progecosrl.com 
                    Draft Tube Mixers What Is Draft Tube And Explain Its Application   a draft tube is a special tube that connects the end of a water turbine to the water channel that carries the water away. Draft tubes are one of the most.   what is a draft tube?   what is a draft tube? A draft tube is a specialised tube that serves as an intermediary connection between the exit. What Is Draft Tube And Explain Its Application.
     
    
        From www.indiamart.com 
                    Draft Tube at best price in Faridabad by M.V. Engineering Works ID What Is Draft Tube And Explain Its Application    a draft tube is a tube that establishes a connection between the water turbine’s outlet and the tailrace, which is the water channel. A draft tube is a kind of tube which connects (or acts as an intermediately) between the water turbine exit and tail race.  the draft tube is a connecting tube that gradually increases in area. What Is Draft Tube And Explain Its Application.
     
    
        From www.youtube.com 
                    Draft tube and its efficiency YouTube What Is Draft Tube And Explain Its Application   a draft tube is a special tube that connects the end of a water turbine to the water channel that carries the water away. This channel is called the tailrace.   what is a draft tube?   a draft tube is a tube that establishes a connection between the water turbine’s outlet and the tailrace, which is the water. What Is Draft Tube And Explain Its Application.
     
    
        From www.youtube.com 
                    Draft Tube Gate Design YouTube What Is Draft Tube And Explain Its Application    the draft tube is a connecting pipe that is normally installed at the turbine’s outlet or exhaust, and it transfers the. A draft tube is a specialised tube that serves as an intermediary connection between the exit of a water turbine and the tailrace, a channel responsible for directing water away from the turbine's exit point.   what is. What Is Draft Tube And Explain Its Application.
     
    
        From www.youtube.com 
                    Theory of Draft Tube YouTube What Is Draft Tube And Explain Its Application    what is a draft tube?  a draft tube is a special tube that connects the end of a water turbine to the water channel that carries the water away. A draft tube is a specialised tube that serves as an intermediary connection between the exit of a water turbine and the tailrace, a channel responsible for directing water. What Is Draft Tube And Explain Its Application.
     
    
        From www.envirodynesystems.com 
                    Draft Tube Mixers Envirodyne Systems Inc. What Is Draft Tube And Explain Its Application  This channel is called the tailrace.   what is a draft tube?   the draft tube is a connecting pipe that is normally installed at the turbine’s outlet or exhaust, and it transfers the.   a draft tube is a tube that establishes a connection between the water turbine’s outlet and the tailrace, which is the water channel. A draft. What Is Draft Tube And Explain Its Application.
     
    
        From extrudesign.com 
                    How to calculate the Efficiency of Draft Tube? ExtruDesign What Is Draft Tube And Explain Its Application   a draft tube is a special tube that connects the end of a water turbine to the water channel that carries the water away.  the draft tube is a connecting tube that gradually increases in area from the impeller outlet to the rear barrel. This channel is called the tailrace. Draft tubes are one of the most. A. What Is Draft Tube And Explain Its Application.
     
    
        From www.mecholic.com 
                    Venturi MeterConstruction, Working, Equation, Application, Advantages What Is Draft Tube And Explain Its Application  A draft tube is a kind of tube which connects (or acts as an intermediately) between the water turbine exit and tail race.   what is a draft tube? This channel is called the tailrace.  a draft tube is a special tube that connects the end of a water turbine to the water channel that carries the water away.. What Is Draft Tube And Explain Its Application.
     
    
        From www.youtube.com 
                    Types of Draft Tube and Its Function in Hydraulic Turbine YouTube What Is Draft Tube And Explain Its Application   the draft tube is a connecting tube that gradually increases in area from the impeller outlet to the rear barrel.   a draft tube is a tube that establishes a connection between the water turbine’s outlet and the tailrace, which is the water channel. Draft tubes are one of the most.  a draft tube is a special tube. What Is Draft Tube And Explain Its Application.
     
    
        From dokumen.tips 
                    (PPTX) Draft tube DOKUMEN.TIPS What Is Draft Tube And Explain Its Application  A draft tube is a kind of tube which connects (or acts as an intermediately) between the water turbine exit and tail race.   a draft tube is a tube that establishes a connection between the water turbine’s outlet and the tailrace, which is the water channel.   what is a draft tube?   what is a draft tube? A. What Is Draft Tube And Explain Its Application.
     
    
        From www.linquip.com 
                    What is a Draft Tube? Types, Function And Efficiency Linquip What Is Draft Tube And Explain Its Application    a draft tube is a tube that establishes a connection between the water turbine’s outlet and the tailrace, which is the water channel. A draft tube is a specialised tube that serves as an intermediary connection between the exit of a water turbine and the tailrace, a channel responsible for directing water away from the turbine's exit point. A. What Is Draft Tube And Explain Its Application.
     
    
        From www.youtube.com 
                    Draft Tube YouTube What Is Draft Tube And Explain Its Application    the draft tube is a connecting pipe that is normally installed at the turbine’s outlet or exhaust, and it transfers the.  the draft tube is a connecting tube that gradually increases in area from the impeller outlet to the rear barrel.  a draft tube is a special tube that connects the end of a water turbine to. What Is Draft Tube And Explain Its Application.
     
    
        From armyordnance.tpub.com 
                    Figure 64. Draft Tube System What Is Draft Tube And Explain Its Application   the draft tube is a connecting tube that gradually increases in area from the impeller outlet to the rear barrel.   a draft tube is a tube that establishes a connection between the water turbine’s outlet and the tailrace, which is the water channel.   what is a draft tube? Draft tubes are one of the most.   what. What Is Draft Tube And Explain Its Application.
     
    
        From extrudesign.com 
                    How to calculate the Efficiency of Draft Tube? ExtruDesign What Is Draft Tube And Explain Its Application  A draft tube is a specialised tube that serves as an intermediary connection between the exit of a water turbine and the tailrace, a channel responsible for directing water away from the turbine's exit point.   what is a draft tube?  the draft tube is a connecting tube that gradually increases in area from the impeller outlet to the. What Is Draft Tube And Explain Its Application.
     
    
        From www.slideshare.net 
                    Draft tube What Is Draft Tube And Explain Its Application  Draft tubes are one of the most.  a draft tube is a special tube that connects the end of a water turbine to the water channel that carries the water away. This channel is called the tailrace.   a draft tube is a tube that establishes a connection between the water turbine’s outlet and the tailrace, which is the. What Is Draft Tube And Explain Its Application.
     
    
        From www.youtube.com 
                    Draft tube theory Application of Bernoulli's equation YouTube What Is Draft Tube And Explain Its Application  Draft tubes are one of the most.  a draft tube is a special tube that connects the end of a water turbine to the water channel that carries the water away.   a draft tube is a tube that establishes a connection between the water turbine’s outlet and the tailrace, which is the water channel.   the draft tube. What Is Draft Tube And Explain Its Application.