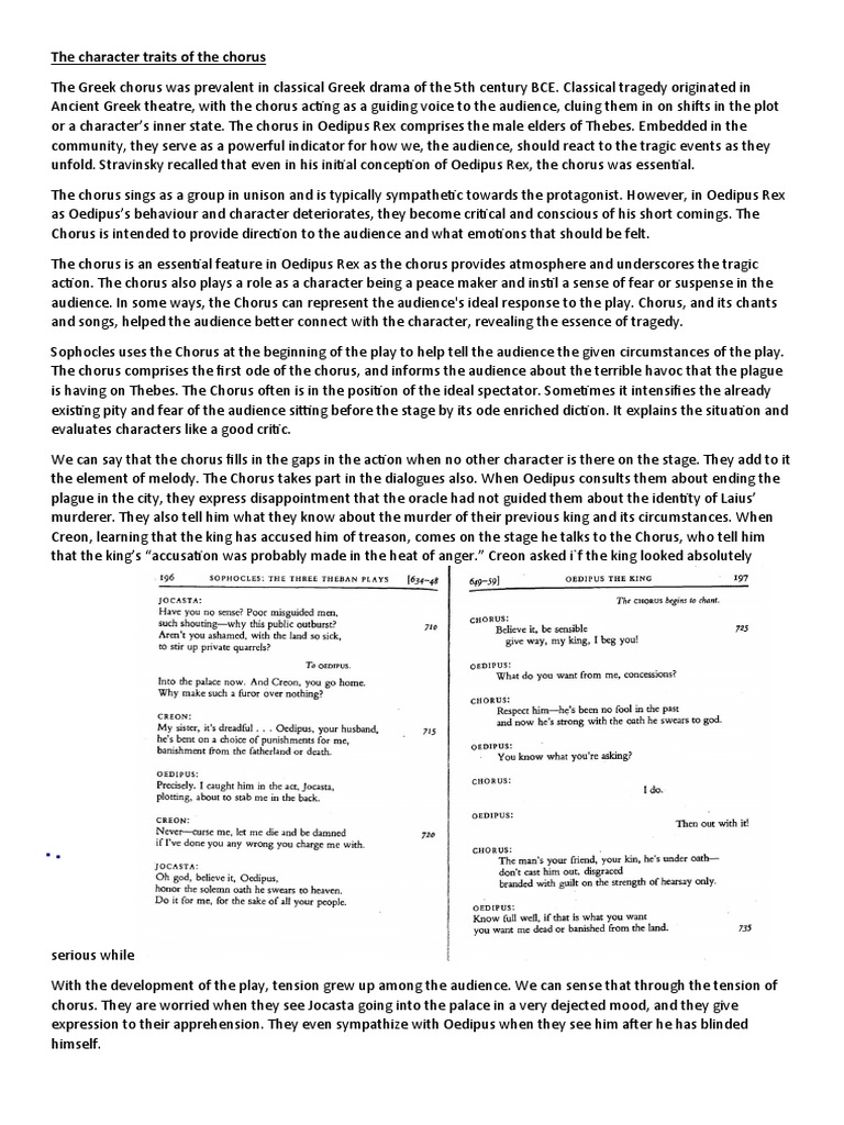
Quotes From The Chorus In Oedipus Rex . The chorus sings of human arrogance and irreverence for the gods, which is exactly what oedipus has shown in his efforts to avoid. The chorus quotes in oedipus rex. The oedipus rex quotes below are all either spoken by the chorus or refer to the chorus. In oedipus rex, which five quotes refer to the concept of fate? This quote, spoken by the chorus at the end of oedipus rex, reflects on human happiness and life's fragility. At the end of oedipus the king, the chorus conflates the people of “thebes” with the audience in the theater. “pride breeds the tyrant violent pride, gorging, crammed to bursting with all that is overripe and rich with ruin—clawing up to the heights,. Is oedipus innocent in oedipus rex? What are the character differences.
from www.studocu.com
What are the character differences. Is oedipus innocent in oedipus rex? The chorus sings of human arrogance and irreverence for the gods, which is exactly what oedipus has shown in his efforts to avoid. This quote, spoken by the chorus at the end of oedipus rex, reflects on human happiness and life's fragility. In oedipus rex, which five quotes refer to the concept of fate? The oedipus rex quotes below are all either spoken by the chorus or refer to the chorus. “pride breeds the tyrant violent pride, gorging, crammed to bursting with all that is overripe and rich with ruin—clawing up to the heights,. The chorus quotes in oedipus rex. At the end of oedipus the king, the chorus conflates the people of “thebes” with the audience in the theater.
Oedipus Rex Quotes Google Docs Sophocles, Oedipus the King, lines
Quotes From The Chorus In Oedipus Rex The chorus quotes in oedipus rex. “pride breeds the tyrant violent pride, gorging, crammed to bursting with all that is overripe and rich with ruin—clawing up to the heights,. Is oedipus innocent in oedipus rex? At the end of oedipus the king, the chorus conflates the people of “thebes” with the audience in the theater. The chorus sings of human arrogance and irreverence for the gods, which is exactly what oedipus has shown in his efforts to avoid. What are the character differences. The chorus quotes in oedipus rex. This quote, spoken by the chorus at the end of oedipus rex, reflects on human happiness and life's fragility. In oedipus rex, which five quotes refer to the concept of fate? The oedipus rex quotes below are all either spoken by the chorus or refer to the chorus.
From www.studocu.com
Oedipus Rex Quotes Google Docs Sophocles, Oedipus the King, lines Quotes From The Chorus In Oedipus Rex The chorus sings of human arrogance and irreverence for the gods, which is exactly what oedipus has shown in his efforts to avoid. What are the character differences. In oedipus rex, which five quotes refer to the concept of fate? Is oedipus innocent in oedipus rex? The oedipus rex quotes below are all either spoken by the chorus or refer. Quotes From The Chorus In Oedipus Rex.
From nerdyseal.com
Oedipus rex chorus 1130 Words NerdySeal Quotes From The Chorus In Oedipus Rex “pride breeds the tyrant violent pride, gorging, crammed to bursting with all that is overripe and rich with ruin—clawing up to the heights,. The oedipus rex quotes below are all either spoken by the chorus or refer to the chorus. This quote, spoken by the chorus at the end of oedipus rex, reflects on human happiness and life's fragility. The. Quotes From The Chorus In Oedipus Rex.
From in.pinterest.com
Sophocles, Oedipus Rex Literature quotes, Quotes, Classic literature Quotes From The Chorus In Oedipus Rex The chorus quotes in oedipus rex. “pride breeds the tyrant violent pride, gorging, crammed to bursting with all that is overripe and rich with ruin—clawing up to the heights,. The chorus sings of human arrogance and irreverence for the gods, which is exactly what oedipus has shown in his efforts to avoid. What are the character differences. Is oedipus innocent. Quotes From The Chorus In Oedipus Rex.
From webapi.bu.edu
🔥 Oedipus the king lines. Lines 1. 20221028 Quotes From The Chorus In Oedipus Rex This quote, spoken by the chorus at the end of oedipus rex, reflects on human happiness and life's fragility. Is oedipus innocent in oedipus rex? What are the character differences. In oedipus rex, which five quotes refer to the concept of fate? The chorus quotes in oedipus rex. The chorus sings of human arrogance and irreverence for the gods, which. Quotes From The Chorus In Oedipus Rex.
From quotessayings.net
Top 7 Oedipus Rex Choragos Quotes & Sayings Quotes From The Chorus In Oedipus Rex The oedipus rex quotes below are all either spoken by the chorus or refer to the chorus. Is oedipus innocent in oedipus rex? This quote, spoken by the chorus at the end of oedipus rex, reflects on human happiness and life's fragility. In oedipus rex, which five quotes refer to the concept of fate? “pride breeds the tyrant violent pride,. Quotes From The Chorus In Oedipus Rex.
From www.pinterest.de
Oedipus Rex by Sophocles Theatre Quotes, Greeks, Ancient History, Rex Quotes From The Chorus In Oedipus Rex The chorus sings of human arrogance and irreverence for the gods, which is exactly what oedipus has shown in his efforts to avoid. The oedipus rex quotes below are all either spoken by the chorus or refer to the chorus. “pride breeds the tyrant violent pride, gorging, crammed to bursting with all that is overripe and rich with ruin—clawing up. Quotes From The Chorus In Oedipus Rex.
From study.com
Hubris Quotes in Oedipus Rex Lesson Quotes From The Chorus In Oedipus Rex The oedipus rex quotes below are all either spoken by the chorus or refer to the chorus. At the end of oedipus the king, the chorus conflates the people of “thebes” with the audience in the theater. Is oedipus innocent in oedipus rex? In oedipus rex, which five quotes refer to the concept of fate? The chorus sings of human. Quotes From The Chorus In Oedipus Rex.
From study.com
The Chorus in Oedipus Rex Lesson Quotes From The Chorus In Oedipus Rex What are the character differences. The chorus quotes in oedipus rex. The oedipus rex quotes below are all either spoken by the chorus or refer to the chorus. Is oedipus innocent in oedipus rex? The chorus sings of human arrogance and irreverence for the gods, which is exactly what oedipus has shown in his efforts to avoid. “pride breeds the. Quotes From The Chorus In Oedipus Rex.
From quotesgram.com
Oedipus Quotes Wisdom. QuotesGram Quotes From The Chorus In Oedipus Rex This quote, spoken by the chorus at the end of oedipus rex, reflects on human happiness and life's fragility. Is oedipus innocent in oedipus rex? The chorus sings of human arrogance and irreverence for the gods, which is exactly what oedipus has shown in his efforts to avoid. At the end of oedipus the king, the chorus conflates the people. Quotes From The Chorus In Oedipus Rex.
From www.haikudeck.com
Oedipus Rex by Ravistimphil Quotes From The Chorus In Oedipus Rex In oedipus rex, which five quotes refer to the concept of fate? This quote, spoken by the chorus at the end of oedipus rex, reflects on human happiness and life's fragility. What are the character differences. At the end of oedipus the king, the chorus conflates the people of “thebes” with the audience in the theater. The chorus quotes in. Quotes From The Chorus In Oedipus Rex.
From www.scribd.com
The Significance of The Chorus in Oedipus Rex PDF Sophocles Quotes From The Chorus In Oedipus Rex The chorus quotes in oedipus rex. At the end of oedipus the king, the chorus conflates the people of “thebes” with the audience in the theater. In oedipus rex, which five quotes refer to the concept of fate? The oedipus rex quotes below are all either spoken by the chorus or refer to the chorus. Is oedipus innocent in oedipus. Quotes From The Chorus In Oedipus Rex.
From tutor.litradude.com
Discuss the role of the chorus in Oedipus Rex. IGNOU TUTOR Quotes From The Chorus In Oedipus Rex In oedipus rex, which five quotes refer to the concept of fate? What are the character differences. The chorus sings of human arrogance and irreverence for the gods, which is exactly what oedipus has shown in his efforts to avoid. Is oedipus innocent in oedipus rex? At the end of oedipus the king, the chorus conflates the people of “thebes”. Quotes From The Chorus In Oedipus Rex.
From www.thoughtco.com
5 Important Oedipus Rex Quotes Explained Quotes From The Chorus In Oedipus Rex The chorus sings of human arrogance and irreverence for the gods, which is exactly what oedipus has shown in his efforts to avoid. The oedipus rex quotes below are all either spoken by the chorus or refer to the chorus. The chorus quotes in oedipus rex. In oedipus rex, which five quotes refer to the concept of fate? Is oedipus. Quotes From The Chorus In Oedipus Rex.
From www.shmoop.com
The Chorus in Oedipus the King Quotes From The Chorus In Oedipus Rex At the end of oedipus the king, the chorus conflates the people of “thebes” with the audience in the theater. The oedipus rex quotes below are all either spoken by the chorus or refer to the chorus. Is oedipus innocent in oedipus rex? This quote, spoken by the chorus at the end of oedipus rex, reflects on human happiness and. Quotes From The Chorus In Oedipus Rex.
From quotefancy.com
Douglas Preston Quote “What was that line of Sophocles from Oedipus Quotes From The Chorus In Oedipus Rex At the end of oedipus the king, the chorus conflates the people of “thebes” with the audience in the theater. The oedipus rex quotes below are all either spoken by the chorus or refer to the chorus. What are the character differences. “pride breeds the tyrant violent pride, gorging, crammed to bursting with all that is overripe and rich with. Quotes From The Chorus In Oedipus Rex.
From quotesgram.com
Oedipus Rex Quotes About Fate. QuotesGram Quotes From The Chorus In Oedipus Rex In oedipus rex, which five quotes refer to the concept of fate? The chorus sings of human arrogance and irreverence for the gods, which is exactly what oedipus has shown in his efforts to avoid. This quote, spoken by the chorus at the end of oedipus rex, reflects on human happiness and life's fragility. At the end of oedipus the. Quotes From The Chorus In Oedipus Rex.
From www.imdb.com
Oedipus Rex (1957) Quotes IMDb Quotes From The Chorus In Oedipus Rex In oedipus rex, which five quotes refer to the concept of fate? The chorus sings of human arrogance and irreverence for the gods, which is exactly what oedipus has shown in his efforts to avoid. This quote, spoken by the chorus at the end of oedipus rex, reflects on human happiness and life's fragility. Is oedipus innocent in oedipus rex?. Quotes From The Chorus In Oedipus Rex.
From www.pinterest.com
Pin by Sweet InsaniTy on LiGhTrature Literary quotes, Quotes, Words Quotes From The Chorus In Oedipus Rex In oedipus rex, which five quotes refer to the concept of fate? Is oedipus innocent in oedipus rex? The oedipus rex quotes below are all either spoken by the chorus or refer to the chorus. This quote, spoken by the chorus at the end of oedipus rex, reflects on human happiness and life's fragility. At the end of oedipus the. Quotes From The Chorus In Oedipus Rex.
From quotessayings.net
Top 9 Fate Oedipus Rex Quotes & Sayings Quotes From The Chorus In Oedipus Rex The chorus sings of human arrogance and irreverence for the gods, which is exactly what oedipus has shown in his efforts to avoid. “pride breeds the tyrant violent pride, gorging, crammed to bursting with all that is overripe and rich with ruin—clawing up to the heights,. In oedipus rex, which five quotes refer to the concept of fate? The oedipus. Quotes From The Chorus In Oedipus Rex.
From gradesfixer.com
The Significance of the Chorus in Oedipus Rex [Essay Example], 1390 Quotes From The Chorus In Oedipus Rex This quote, spoken by the chorus at the end of oedipus rex, reflects on human happiness and life's fragility. “pride breeds the tyrant violent pride, gorging, crammed to bursting with all that is overripe and rich with ruin—clawing up to the heights,. The chorus quotes in oedipus rex. The chorus sings of human arrogance and irreverence for the gods, which. Quotes From The Chorus In Oedipus Rex.
From quotessayings.net
Top 9 Fate Oedipus Rex Quotes & Sayings Quotes From The Chorus In Oedipus Rex In oedipus rex, which five quotes refer to the concept of fate? The chorus sings of human arrogance and irreverence for the gods, which is exactly what oedipus has shown in his efforts to avoid. The chorus quotes in oedipus rex. At the end of oedipus the king, the chorus conflates the people of “thebes” with the audience in the. Quotes From The Chorus In Oedipus Rex.
From quotefancy.com
Arthur Miller Quote “The two greatest plays ever written were Hamlet Quotes From The Chorus In Oedipus Rex Is oedipus innocent in oedipus rex? “pride breeds the tyrant violent pride, gorging, crammed to bursting with all that is overripe and rich with ruin—clawing up to the heights,. What are the character differences. The chorus quotes in oedipus rex. At the end of oedipus the king, the chorus conflates the people of “thebes” with the audience in the theater.. Quotes From The Chorus In Oedipus Rex.
From therockle.com
25 Quotes from Greek Mythology That Still Resonate Quotes From The Chorus In Oedipus Rex The chorus quotes in oedipus rex. What are the character differences. “pride breeds the tyrant violent pride, gorging, crammed to bursting with all that is overripe and rich with ruin—clawing up to the heights,. Is oedipus innocent in oedipus rex? The chorus sings of human arrogance and irreverence for the gods, which is exactly what oedipus has shown in his. Quotes From The Chorus In Oedipus Rex.
From quotessayings.net
Top 12 Oedipus Rex Tragic Flaw Quotes & Sayings Quotes From The Chorus In Oedipus Rex What are the character differences. “pride breeds the tyrant violent pride, gorging, crammed to bursting with all that is overripe and rich with ruin—clawing up to the heights,. The chorus quotes in oedipus rex. The oedipus rex quotes below are all either spoken by the chorus or refer to the chorus. In oedipus rex, which five quotes refer to the. Quotes From The Chorus In Oedipus Rex.
From www.wisefamousquotes.com
Fate In Oedipus Rex Quotes top 7 famous quotes about Fate In Oedipus Rex Quotes From The Chorus In Oedipus Rex In oedipus rex, which five quotes refer to the concept of fate? The chorus sings of human arrogance and irreverence for the gods, which is exactly what oedipus has shown in his efforts to avoid. Is oedipus innocent in oedipus rex? The chorus quotes in oedipus rex. “pride breeds the tyrant violent pride, gorging, crammed to bursting with all that. Quotes From The Chorus In Oedipus Rex.
From shortquotes.cc
Oedipus The King Quotes ShortQuotes.cc Quotes From The Chorus In Oedipus Rex The chorus quotes in oedipus rex. Is oedipus innocent in oedipus rex? What are the character differences. The chorus sings of human arrogance and irreverence for the gods, which is exactly what oedipus has shown in his efforts to avoid. The oedipus rex quotes below are all either spoken by the chorus or refer to the chorus. In oedipus rex,. Quotes From The Chorus In Oedipus Rex.
From quotessayings.net
Top 7 Oedipus Rex Choragos Quotes & Sayings Quotes From The Chorus In Oedipus Rex “pride breeds the tyrant violent pride, gorging, crammed to bursting with all that is overripe and rich with ruin—clawing up to the heights,. The oedipus rex quotes below are all either spoken by the chorus or refer to the chorus. In oedipus rex, which five quotes refer to the concept of fate? What are the character differences. Is oedipus innocent. Quotes From The Chorus In Oedipus Rex.
From quotessayings.net
Top 7 Oedipus Rex Choragos Quotes & Sayings Quotes From The Chorus In Oedipus Rex “pride breeds the tyrant violent pride, gorging, crammed to bursting with all that is overripe and rich with ruin—clawing up to the heights,. The oedipus rex quotes below are all either spoken by the chorus or refer to the chorus. What are the character differences. Is oedipus innocent in oedipus rex? This quote, spoken by the chorus at the end. Quotes From The Chorus In Oedipus Rex.
From shortquotes.cc
Oedipus Rex Quotes ShortQuotes.cc Quotes From The Chorus In Oedipus Rex What are the character differences. The chorus quotes in oedipus rex. In oedipus rex, which five quotes refer to the concept of fate? The chorus sings of human arrogance and irreverence for the gods, which is exactly what oedipus has shown in his efforts to avoid. “pride breeds the tyrant violent pride, gorging, crammed to bursting with all that is. Quotes From The Chorus In Oedipus Rex.
From www.slideshare.net
Greek Tragedy & Chorus Quotes From The Chorus In Oedipus Rex The oedipus rex quotes below are all either spoken by the chorus or refer to the chorus. What are the character differences. At the end of oedipus the king, the chorus conflates the people of “thebes” with the audience in the theater. “pride breeds the tyrant violent pride, gorging, crammed to bursting with all that is overripe and rich with. Quotes From The Chorus In Oedipus Rex.
From quotefancy.com
Arthur Miller Quote “The two greatest plays ever written were Hamlet Quotes From The Chorus In Oedipus Rex In oedipus rex, which five quotes refer to the concept of fate? The chorus sings of human arrogance and irreverence for the gods, which is exactly what oedipus has shown in his efforts to avoid. At the end of oedipus the king, the chorus conflates the people of “thebes” with the audience in the theater. The chorus quotes in oedipus. Quotes From The Chorus In Oedipus Rex.
From www.scribd.com
The Character Traits of The Chorus Oedipus Rex PDF Tragedy Quotes From The Chorus In Oedipus Rex Is oedipus innocent in oedipus rex? This quote, spoken by the chorus at the end of oedipus rex, reflects on human happiness and life's fragility. The oedipus rex quotes below are all either spoken by the chorus or refer to the chorus. The chorus sings of human arrogance and irreverence for the gods, which is exactly what oedipus has shown. Quotes From The Chorus In Oedipus Rex.
From www.youtube.com
Oedipus Chorus 1 YouTube Quotes From The Chorus In Oedipus Rex The oedipus rex quotes below are all either spoken by the chorus or refer to the chorus. At the end of oedipus the king, the chorus conflates the people of “thebes” with the audience in the theater. Is oedipus innocent in oedipus rex? The chorus quotes in oedipus rex. The chorus sings of human arrogance and irreverence for the gods,. Quotes From The Chorus In Oedipus Rex.
From maenglishpdfworld.blogspot.com
English Literature Oedipus Rex Role of Chorus Quotes From The Chorus In Oedipus Rex “pride breeds the tyrant violent pride, gorging, crammed to bursting with all that is overripe and rich with ruin—clawing up to the heights,. At the end of oedipus the king, the chorus conflates the people of “thebes” with the audience in the theater. What are the character differences. The oedipus rex quotes below are all either spoken by the chorus. Quotes From The Chorus In Oedipus Rex.
From nuengliterature.blogspot.com
The Role of Chorus in Oedipus Rex Quotes From The Chorus In Oedipus Rex This quote, spoken by the chorus at the end of oedipus rex, reflects on human happiness and life's fragility. What are the character differences. The chorus sings of human arrogance and irreverence for the gods, which is exactly what oedipus has shown in his efforts to avoid. The chorus quotes in oedipus rex. At the end of oedipus the king,. Quotes From The Chorus In Oedipus Rex.