What Is E2B Format . This document provides guidance on the implementation of the standard adopted by the ich for electronic transmission of individual case. This information paper explains the short history of e2b, relationship to ich m5 and iso idmp standard, and ich position on regional. This q&a document provides clarifications for the harmonized interpretation of the e2b(r3) ig package and should be reviewed in conjunction with the ig. Users should report icsrs using the iso icsr/ich e2b(r3) format and use the related iso standard terminology for pharmaceutical form and route of. This user guide describes supplemental information how to use the terminologies maintained by the european directorate for the quality of medicines.
from docs.oracle.com
This document provides guidance on the implementation of the standard adopted by the ich for electronic transmission of individual case. This user guide describes supplemental information how to use the terminologies maintained by the european directorate for the quality of medicines. This information paper explains the short history of e2b, relationship to ich m5 and iso idmp standard, and ich position on regional. Users should report icsrs using the iso icsr/ich e2b(r3) format and use the related iso standard terminology for pharmaceutical form and route of. This q&a document provides clarifications for the harmonized interpretation of the e2b(r3) ig package and should be reviewed in conjunction with the ig.
Using the E2B Viewer
What Is E2B Format This user guide describes supplemental information how to use the terminologies maintained by the european directorate for the quality of medicines. This user guide describes supplemental information how to use the terminologies maintained by the european directorate for the quality of medicines. Users should report icsrs using the iso icsr/ich e2b(r3) format and use the related iso standard terminology for pharmaceutical form and route of. This q&a document provides clarifications for the harmonized interpretation of the e2b(r3) ig package and should be reviewed in conjunction with the ig. This information paper explains the short history of e2b, relationship to ich m5 and iso idmp standard, and ich position on regional. This document provides guidance on the implementation of the standard adopted by the ich for electronic transmission of individual case.
From docs.oracle.com
Using the E2B Viewer What Is E2B Format This information paper explains the short history of e2b, relationship to ich m5 and iso idmp standard, and ich position on regional. This q&a document provides clarifications for the harmonized interpretation of the e2b(r3) ig package and should be reviewed in conjunction with the ig. This user guide describes supplemental information how to use the terminologies maintained by the european. What Is E2B Format.
From toolgir.ru
Http error message format What Is E2B Format This information paper explains the short history of e2b, relationship to ich m5 and iso idmp standard, and ich position on regional. This q&a document provides clarifications for the harmonized interpretation of the e2b(r3) ig package and should be reviewed in conjunction with the ig. This document provides guidance on the implementation of the standard adopted by the ich for. What Is E2B Format.
From blog.drugvigil.com
Drugvigil's Blog Insightful Pharmacovigilance Articles What Is E2B Format This user guide describes supplemental information how to use the terminologies maintained by the european directorate for the quality of medicines. This q&a document provides clarifications for the harmonized interpretation of the e2b(r3) ig package and should be reviewed in conjunction with the ig. This document provides guidance on the implementation of the standard adopted by the ich for electronic. What Is E2B Format.
From vuink.com
AI data analyst in cloud sandbox with LangChain & E2B What Is E2B Format Users should report icsrs using the iso icsr/ich e2b(r3) format and use the related iso standard terminology for pharmaceutical form and route of. This document provides guidance on the implementation of the standard adopted by the ich for electronic transmission of individual case. This information paper explains the short history of e2b, relationship to ich m5 and iso idmp standard,. What Is E2B Format.
From docs.oracle.com
System Configuration What Is E2B Format This document provides guidance on the implementation of the standard adopted by the ich for electronic transmission of individual case. This information paper explains the short history of e2b, relationship to ich m5 and iso idmp standard, and ich position on regional. Users should report icsrs using the iso icsr/ich e2b(r3) format and use the related iso standard terminology for. What Is E2B Format.
From dokumen.tips
(PDF) What's E2B Viewer? DOKUMEN.TIPS What Is E2B Format This document provides guidance on the implementation of the standard adopted by the ich for electronic transmission of individual case. This user guide describes supplemental information how to use the terminologies maintained by the european directorate for the quality of medicines. Users should report icsrs using the iso icsr/ich e2b(r3) format and use the related iso standard terminology for pharmaceutical. What Is E2B Format.
From cioctocdo.com
【LLM】大型语言模型将重新定义B2B软件 全球IT瞭望 What Is E2B Format This information paper explains the short history of e2b, relationship to ich m5 and iso idmp standard, and ich position on regional. This user guide describes supplemental information how to use the terminologies maintained by the european directorate for the quality of medicines. This document provides guidance on the implementation of the standard adopted by the ich for electronic transmission. What Is E2B Format.
From docs.oracle.com
PMDA E2B (R3) Paper Forms Framework What Is E2B Format Users should report icsrs using the iso icsr/ich e2b(r3) format and use the related iso standard terminology for pharmaceutical form and route of. This user guide describes supplemental information how to use the terminologies maintained by the european directorate for the quality of medicines. This q&a document provides clarifications for the harmonized interpretation of the e2b(r3) ig package and should. What Is E2B Format.
From www.ruten.com.tw
E2BM30LN20WZC1 M30LS10 M30LN30 M30LS15WZB1 傳感器 C2 B2 露天市集 全台最大 What Is E2B Format This information paper explains the short history of e2b, relationship to ich m5 and iso idmp standard, and ich position on regional. Users should report icsrs using the iso icsr/ich e2b(r3) format and use the related iso standard terminology for pharmaceutical form and route of. This q&a document provides clarifications for the harmonized interpretation of the e2b(r3) ig package and. What Is E2B Format.
From docs.oracle.com
Transmitting and Monitoring E2B Reports What Is E2B Format This q&a document provides clarifications for the harmonized interpretation of the e2b(r3) ig package and should be reviewed in conjunction with the ig. This information paper explains the short history of e2b, relationship to ich m5 and iso idmp standard, and ich position on regional. Users should report icsrs using the iso icsr/ich e2b(r3) format and use the related iso. What Is E2B Format.
From www.slideshare.net
E2B(R2) vs E2B(R3) ICSR ELEMENTS What Is E2B Format This q&a document provides clarifications for the harmonized interpretation of the e2b(r3) ig package and should be reviewed in conjunction with the ig. This user guide describes supplemental information how to use the terminologies maintained by the european directorate for the quality of medicines. This document provides guidance on the implementation of the standard adopted by the ich for electronic. What Is E2B Format.
From www.scribd.com
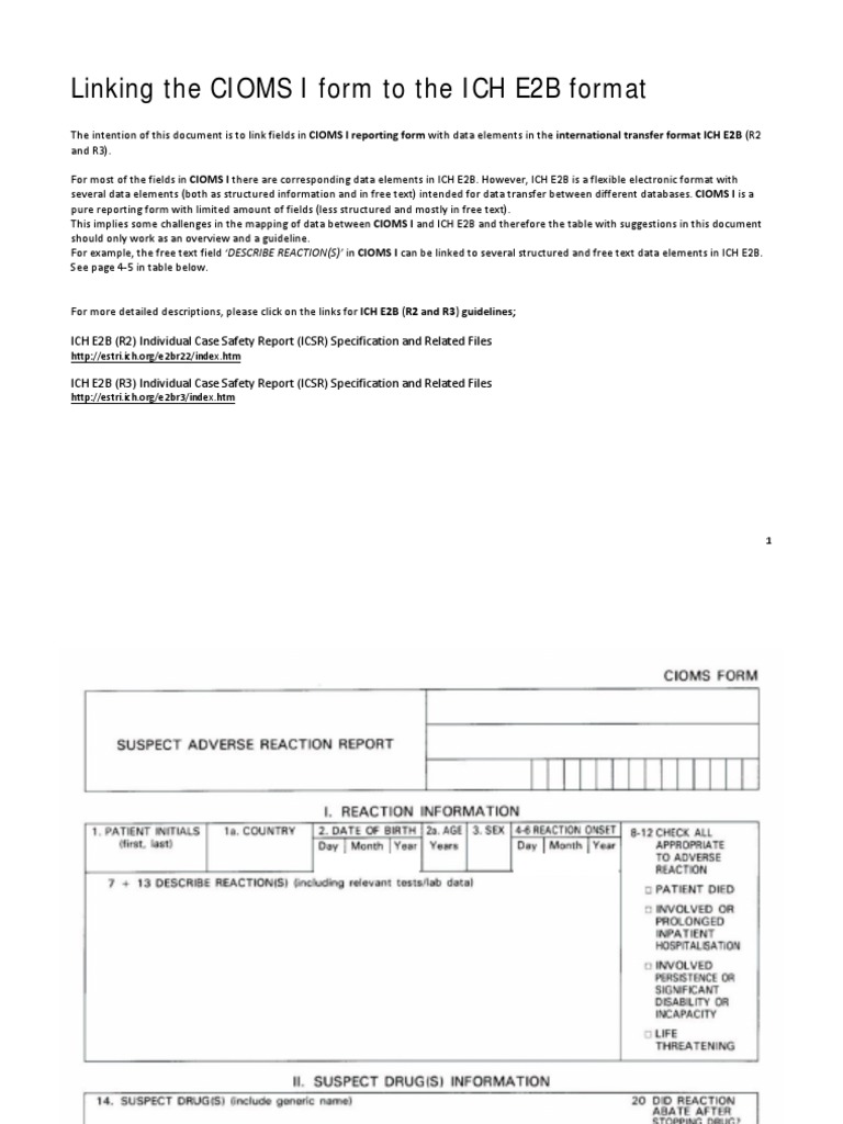
Linking The CIOMS I Form To The ICH E2B Format PDF What Is E2B Format This user guide describes supplemental information how to use the terminologies maintained by the european directorate for the quality of medicines. This information paper explains the short history of e2b, relationship to ich m5 and iso idmp standard, and ich position on regional. This q&a document provides clarifications for the harmonized interpretation of the e2b(r3) ig package and should be. What Is E2B Format.
From www.usenix.org
Sample Encrypted Message What Is E2B Format This document provides guidance on the implementation of the standard adopted by the ich for electronic transmission of individual case. This information paper explains the short history of e2b, relationship to ich m5 and iso idmp standard, and ich position on regional. Users should report icsrs using the iso icsr/ich e2b(r3) format and use the related iso standard terminology for. What Is E2B Format.
From www.youtube.com
5th Phase Bank E2B Translation Bangladesh Bank (ADResearch) 19.04 What Is E2B Format This q&a document provides clarifications for the harmonized interpretation of the e2b(r3) ig package and should be reviewed in conjunction with the ig. This information paper explains the short history of e2b, relationship to ich m5 and iso idmp standard, and ich position on regional. Users should report icsrs using the iso icsr/ich e2b(r3) format and use the related iso. What Is E2B Format.
From www.sophossystem.com
Sophos eSynchronize E2B R3 Solution Sophos IT Services What Is E2B Format Users should report icsrs using the iso icsr/ich e2b(r3) format and use the related iso standard terminology for pharmaceutical form and route of. This information paper explains the short history of e2b, relationship to ich m5 and iso idmp standard, and ich position on regional. This user guide describes supplemental information how to use the terminologies maintained by the european. What Is E2B Format.
From www.wpfastworld.com
e2b home page, documentation and downloads AIpowered open source IDE What Is E2B Format This q&a document provides clarifications for the harmonized interpretation of the e2b(r3) ig package and should be reviewed in conjunction with the ig. This information paper explains the short history of e2b, relationship to ich m5 and iso idmp standard, and ich position on regional. This user guide describes supplemental information how to use the terminologies maintained by the european. What Is E2B Format.
From docs.oracle.com
Using the E2B Viewer What Is E2B Format This document provides guidance on the implementation of the standard adopted by the ich for electronic transmission of individual case. This q&a document provides clarifications for the harmonized interpretation of the e2b(r3) ig package and should be reviewed in conjunction with the ig. Users should report icsrs using the iso icsr/ich e2b(r3) format and use the related iso standard terminology. What Is E2B Format.
From docs.oracle.com
E2B Extensions (Applicable for R2 only) What Is E2B Format This q&a document provides clarifications for the harmonized interpretation of the e2b(r3) ig package and should be reviewed in conjunction with the ig. This user guide describes supplemental information how to use the terminologies maintained by the european directorate for the quality of medicines. Users should report icsrs using the iso icsr/ich e2b(r3) format and use the related iso standard. What Is E2B Format.
From www.slideshare.net
E2B(R2) vs E2B(R3) ICSR ELEMENTS What Is E2B Format This document provides guidance on the implementation of the standard adopted by the ich for electronic transmission of individual case. This information paper explains the short history of e2b, relationship to ich m5 and iso idmp standard, and ich position on regional. This user guide describes supplemental information how to use the terminologies maintained by the european directorate for the. What Is E2B Format.
From www.slideshare.net
E2B(R2) vs E2B(R3) ICSR ELEMENTS What Is E2B Format This q&a document provides clarifications for the harmonized interpretation of the e2b(r3) ig package and should be reviewed in conjunction with the ig. This document provides guidance on the implementation of the standard adopted by the ich for electronic transmission of individual case. Users should report icsrs using the iso icsr/ich e2b(r3) format and use the related iso standard terminology. What Is E2B Format.
From www.youtube.com
ICH ICSR E2B R3 Guideline How to Fill ICSR What Data Needed in What Is E2B Format This user guide describes supplemental information how to use the terminologies maintained by the european directorate for the quality of medicines. This document provides guidance on the implementation of the standard adopted by the ich for electronic transmission of individual case. This information paper explains the short history of e2b, relationship to ich m5 and iso idmp standard, and ich. What Is E2B Format.
From docs.oracle.com
Using the E2B Viewer What Is E2B Format This q&a document provides clarifications for the harmonized interpretation of the e2b(r3) ig package and should be reviewed in conjunction with the ig. Users should report icsrs using the iso icsr/ich e2b(r3) format and use the related iso standard terminology for pharmaceutical form and route of. This user guide describes supplemental information how to use the terminologies maintained by the. What Is E2B Format.
From www.pdffiller.com
Fillable Online The NEW EudraVigilance System and the electronic What Is E2B Format This user guide describes supplemental information how to use the terminologies maintained by the european directorate for the quality of medicines. This information paper explains the short history of e2b, relationship to ich m5 and iso idmp standard, and ich position on regional. Users should report icsrs using the iso icsr/ich e2b(r3) format and use the related iso standard terminology. What Is E2B Format.
From github.com
GitHub MoinUdDin/LangChainforLLMApplicationDevelopment Jupyter What Is E2B Format This document provides guidance on the implementation of the standard adopted by the ich for electronic transmission of individual case. Users should report icsrs using the iso icsr/ich e2b(r3) format and use the related iso standard terminology for pharmaceutical form and route of. This information paper explains the short history of e2b, relationship to ich m5 and iso idmp standard,. What Is E2B Format.
From pypi.org
e2b · PyPI What Is E2B Format Users should report icsrs using the iso icsr/ich e2b(r3) format and use the related iso standard terminology for pharmaceutical form and route of. This document provides guidance on the implementation of the standard adopted by the ich for electronic transmission of individual case. This q&a document provides clarifications for the harmonized interpretation of the e2b(r3) ig package and should be. What Is E2B Format.
From www.connected-pawns.com
Azure cXML DTD Messages Connected Pawns What Is E2B Format This document provides guidance on the implementation of the standard adopted by the ich for electronic transmission of individual case. This q&a document provides clarifications for the harmonized interpretation of the e2b(r3) ig package and should be reviewed in conjunction with the ig. This user guide describes supplemental information how to use the terminologies maintained by the european directorate for. What Is E2B Format.
From kufactor.ru
ICH E2B GUIDELINES PDF What Is E2B Format This information paper explains the short history of e2b, relationship to ich m5 and iso idmp standard, and ich position on regional. Users should report icsrs using the iso icsr/ich e2b(r3) format and use the related iso standard terminology for pharmaceutical form and route of. This document provides guidance on the implementation of the standard adopted by the ich for. What Is E2B Format.
From allaboutpharmacovigilance.org
Understanding E2B Pharmacovigilance What Is E2B Format This q&a document provides clarifications for the harmonized interpretation of the e2b(r3) ig package and should be reviewed in conjunction with the ig. This information paper explains the short history of e2b, relationship to ich m5 and iso idmp standard, and ich position on regional. Users should report icsrs using the iso icsr/ich e2b(r3) format and use the related iso. What Is E2B Format.
From www.slideshare.net
E2B(R2) vs E2B(R3) ICSR ELEMENTS What Is E2B Format Users should report icsrs using the iso icsr/ich e2b(r3) format and use the related iso standard terminology for pharmaceutical form and route of. This user guide describes supplemental information how to use the terminologies maintained by the european directorate for the quality of medicines. This document provides guidance on the implementation of the standard adopted by the ich for electronic. What Is E2B Format.
From www.slideshare.net
E2B(R2) vs E2B(R3) ICSR ELEMENTS What Is E2B Format This information paper explains the short history of e2b, relationship to ich m5 and iso idmp standard, and ich position on regional. This user guide describes supplemental information how to use the terminologies maintained by the european directorate for the quality of medicines. This document provides guidance on the implementation of the standard adopted by the ich for electronic transmission. What Is E2B Format.
From issuu.com
Pepperdine E2B™ 2022 Collateral Bifold by Pepperdine Graziadio What Is E2B Format This q&a document provides clarifications for the harmonized interpretation of the e2b(r3) ig package and should be reviewed in conjunction with the ig. This document provides guidance on the implementation of the standard adopted by the ich for electronic transmission of individual case. This user guide describes supplemental information how to use the terminologies maintained by the european directorate for. What Is E2B Format.
From docs.oracle.com
Transmitting and Monitoring E2B Reports What Is E2B Format Users should report icsrs using the iso icsr/ich e2b(r3) format and use the related iso standard terminology for pharmaceutical form and route of. This document provides guidance on the implementation of the standard adopted by the ich for electronic transmission of individual case. This information paper explains the short history of e2b, relationship to ich m5 and iso idmp standard,. What Is E2B Format.
From blog.drugvigil.com
🥨 E2B and E2B(R2) and E2B(R3) The Variations Drugvigil's Blog What Is E2B Format This user guide describes supplemental information how to use the terminologies maintained by the european directorate for the quality of medicines. This document provides guidance on the implementation of the standard adopted by the ich for electronic transmission of individual case. Users should report icsrs using the iso icsr/ich e2b(r3) format and use the related iso standard terminology for pharmaceutical. What Is E2B Format.
From www.linkedin.com
E2B(R3) format in Swissmedic Switzerland What Is E2B Format This document provides guidance on the implementation of the standard adopted by the ich for electronic transmission of individual case. Users should report icsrs using the iso icsr/ich e2b(r3) format and use the related iso standard terminology for pharmaceutical form and route of. This user guide describes supplemental information how to use the terminologies maintained by the european directorate for. What Is E2B Format.
From dokumen.tips
(PDF) What is E2B Marketing? DOKUMEN.TIPS What Is E2B Format This information paper explains the short history of e2b, relationship to ich m5 and iso idmp standard, and ich position on regional. Users should report icsrs using the iso icsr/ich e2b(r3) format and use the related iso standard terminology for pharmaceutical form and route of. This q&a document provides clarifications for the harmonized interpretation of the e2b(r3) ig package and. What Is E2B Format.