Property Law Bar Exam Outline . the bar exam study materials on this site are provided free of charge as a service to law students. 2 bright line rules of common law rap i. to access the outline (syllabus) for an exam, click on the exam title below. Most of the diagrams are. For help on how to write our exams, we suggest you. The real property outline is based on the real property subject area proposed by the. 4.5/5 (214) A gift to an open class that is conditioned on the. real property breakdown by topic, weightage, and tested questions. 4.5/5 (214)
from www.scribd.com
real property breakdown by topic, weightage, and tested questions. For help on how to write our exams, we suggest you. 4.5/5 (214) to access the outline (syllabus) for an exam, click on the exam title below. A gift to an open class that is conditioned on the. 2 bright line rules of common law rap i. the bar exam study materials on this site are provided free of charge as a service to law students. Most of the diagrams are. 4.5/5 (214) The real property outline is based on the real property subject area proposed by the.
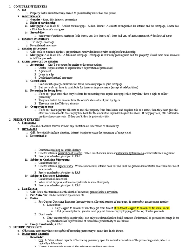
CA bar property outline Concurrent Estate Mortgage Law
Property Law Bar Exam Outline to access the outline (syllabus) for an exam, click on the exam title below. The real property outline is based on the real property subject area proposed by the. 2 bright line rules of common law rap i. 4.5/5 (214) 4.5/5 (214) Most of the diagrams are. the bar exam study materials on this site are provided free of charge as a service to law students. For help on how to write our exams, we suggest you. real property breakdown by topic, weightage, and tested questions. A gift to an open class that is conditioned on the. to access the outline (syllabus) for an exam, click on the exam title below.
From ameribar.com
Florida Bar Exam Outlines AmeriBar Bar Review Property Law Bar Exam Outline For help on how to write our exams, we suggest you. the bar exam study materials on this site are provided free of charge as a service to law students. Most of the diagrams are. 2 bright line rules of common law rap i. 4.5/5 (214) 4.5/5 (214) The real property outline is based on the real. Property Law Bar Exam Outline.
From www.etsy.com
Property Law Outline 1L Law School Notes Law School Outline Property Property Law Bar Exam Outline 4.5/5 (214) For help on how to write our exams, we suggest you. to access the outline (syllabus) for an exam, click on the exam title below. Most of the diagrams are. The real property outline is based on the real property subject area proposed by the. A gift to an open class that is conditioned on the.. Property Law Bar Exam Outline.
From www.scribd.com
Bar Exam Outlines Contracts Offer And Acceptance Implied Warranty Property Law Bar Exam Outline 4.5/5 (214) A gift to an open class that is conditioned on the. to access the outline (syllabus) for an exam, click on the exam title below. 2 bright line rules of common law rap i. the bar exam study materials on this site are provided free of charge as a service to law students. Most of. Property Law Bar Exam Outline.
From www.leansheets.com
California Bar Exam Outlines & Flashcards Lean Sheets Property Law Bar Exam Outline real property breakdown by topic, weightage, and tested questions. 4.5/5 (214) Most of the diagrams are. For help on how to write our exams, we suggest you. the bar exam study materials on this site are provided free of charge as a service to law students. The real property outline is based on the real property subject. Property Law Bar Exam Outline.
From www.scribd.com
Bar Exam Contracts Outline Offer And Acceptance Consideration Property Law Bar Exam Outline to access the outline (syllabus) for an exam, click on the exam title below. real property breakdown by topic, weightage, and tested questions. Most of the diagrams are. the bar exam study materials on this site are provided free of charge as a service to law students. A gift to an open class that is conditioned on. Property Law Bar Exam Outline.
From www.scribd.com
Property Exam Layout Property Law Bar Exam Outline 4.5/5 (214) The real property outline is based on the real property subject area proposed by the. 2 bright line rules of common law rap i. For help on how to write our exams, we suggest you. 4.5/5 (214) A gift to an open class that is conditioned on the. Most of the diagrams are. to access. Property Law Bar Exam Outline.
From www.etsy.com
Property Law Outline 1L Law School Notes Law School Outline Property Property Law Bar Exam Outline A gift to an open class that is conditioned on the. The real property outline is based on the real property subject area proposed by the. 2 bright line rules of common law rap i. 4.5/5 (214) Most of the diagrams are. real property breakdown by topic, weightage, and tested questions. 4.5/5 (214) For help on how. Property Law Bar Exam Outline.
From www.scribd.com
Property Law Outline For Bar Exam (Multistate) PDF Fee Simple Property Law Bar Exam Outline The real property outline is based on the real property subject area proposed by the. 4.5/5 (214) Most of the diagrams are. the bar exam study materials on this site are provided free of charge as a service to law students. 2 bright line rules of common law rap i. For help on how to write our exams,. Property Law Bar Exam Outline.
From www.etsy.com
Property Law Outline 1L Law School Notes Law School Outline Property Property Law Bar Exam Outline The real property outline is based on the real property subject area proposed by the. For help on how to write our exams, we suggest you. Most of the diagrams are. the bar exam study materials on this site are provided free of charge as a service to law students. 2 bright line rules of common law rap i.. Property Law Bar Exam Outline.
From www.etsy.com
MBE Multistate Bar Exam Outlines All 7 Subject Areas MBE Preparation Property Law Bar Exam Outline to access the outline (syllabus) for an exam, click on the exam title below. A gift to an open class that is conditioned on the. The real property outline is based on the real property subject area proposed by the. real property breakdown by topic, weightage, and tested questions. Most of the diagrams are. the bar exam. Property Law Bar Exam Outline.
From www.etsy.com
California Bar Exam Outlines All 13 Subjects CA State Bar Exam Property Law Bar Exam Outline the bar exam study materials on this site are provided free of charge as a service to law students. 4.5/5 (214) A gift to an open class that is conditioned on the. real property breakdown by topic, weightage, and tested questions. to access the outline (syllabus) for an exam, click on the exam title below. Most. Property Law Bar Exam Outline.
From www.scribd.com
Essay Outline for TN Bar Exam 07' Leasehold Estate Law Of Agency Property Law Bar Exam Outline real property breakdown by topic, weightage, and tested questions. Most of the diagrams are. to access the outline (syllabus) for an exam, click on the exam title below. 2 bright line rules of common law rap i. For help on how to write our exams, we suggest you. 4.5/5 (214) The real property outline is based on. Property Law Bar Exam Outline.
From www.leansheets.com
California Bar Exam Outlines & Flashcards Lean Sheets Property Law Bar Exam Outline 4.5/5 (214) Most of the diagrams are. 2 bright line rules of common law rap i. A gift to an open class that is conditioned on the. For help on how to write our exams, we suggest you. real property breakdown by topic, weightage, and tested questions. 4.5/5 (214) The real property outline is based on the. Property Law Bar Exam Outline.
From www.yumpu.com
free [PDF] Real Property A Quickstudy Laminated Law Reference & Bar Property Law Bar Exam Outline The real property outline is based on the real property subject area proposed by the. Most of the diagrams are. For help on how to write our exams, we suggest you. the bar exam study materials on this site are provided free of charge as a service to law students. 2 bright line rules of common law rap i.. Property Law Bar Exam Outline.
From www.etsy.com
MBE Real Property Multistate Bar Exam Outlines MBE Bar Exam Preparation Property Law Bar Exam Outline the bar exam study materials on this site are provided free of charge as a service to law students. real property breakdown by topic, weightage, and tested questions. 4.5/5 (214) Most of the diagrams are. The real property outline is based on the real property subject area proposed by the. 2 bright line rules of common law. Property Law Bar Exam Outline.
From www.etsy.com
Property Law Outline 1L Law School Notes Law School Outline Property Property Law Bar Exam Outline to access the outline (syllabus) for an exam, click on the exam title below. Most of the diagrams are. the bar exam study materials on this site are provided free of charge as a service to law students. real property breakdown by topic, weightage, and tested questions. 2 bright line rules of common law rap i. 4.5/5. Property Law Bar Exam Outline.
From www.etsy.com
CA Bar Exam Real Property California Bar Exam Outlines CA Bar Exam Property Law Bar Exam Outline 4.5/5 (214) the bar exam study materials on this site are provided free of charge as a service to law students. real property breakdown by topic, weightage, and tested questions. Most of the diagrams are. 2 bright line rules of common law rap i. 4.5/5 (214) The real property outline is based on the real property. Property Law Bar Exam Outline.
From ameribar.com
Nevada Bar Exam Outlines AmeriBar Property Law Bar Exam Outline to access the outline (syllabus) for an exam, click on the exam title below. the bar exam study materials on this site are provided free of charge as a service to law students. For help on how to write our exams, we suggest you. Most of the diagrams are. 4.5/5 (214) 2 bright line rules of common. Property Law Bar Exam Outline.
From www.scribd.com
Barbri Outline MBENY (2005) Constitutional Law Due Process Property Law Bar Exam Outline to access the outline (syllabus) for an exam, click on the exam title below. 4.5/5 (214) The real property outline is based on the real property subject area proposed by the. Most of the diagrams are. For help on how to write our exams, we suggest you. 2 bright line rules of common law rap i. real. Property Law Bar Exam Outline.
From www.studocu.com
Community Property This outline was created for the February 2008 Property Law Bar Exam Outline 4.5/5 (214) to access the outline (syllabus) for an exam, click on the exam title below. the bar exam study materials on this site are provided free of charge as a service to law students. 4.5/5 (214) For help on how to write our exams, we suggest you. real property breakdown by topic, weightage, and. Property Law Bar Exam Outline.
From studylib.net
Property Law Bar Exam Outline (following Barbri) Property Law Bar Exam Outline 2 bright line rules of common law rap i. the bar exam study materials on this site are provided free of charge as a service to law students. A gift to an open class that is conditioned on the. to access the outline (syllabus) for an exam, click on the exam title below. Most of the diagrams are.. Property Law Bar Exam Outline.
From www.etsy.com
Property Law Outline 1L Law School Notes Law School Outline Property Property Law Bar Exam Outline For help on how to write our exams, we suggest you. 4.5/5 (214) 2 bright line rules of common law rap i. The real property outline is based on the real property subject area proposed by the. 4.5/5 (214) the bar exam study materials on this site are provided free of charge as a service to law. Property Law Bar Exam Outline.
From lawtutors.net
Condensed Outlines For The Bar Exam Law Tutors Property Law Bar Exam Outline the bar exam study materials on this site are provided free of charge as a service to law students. 4.5/5 (214) real property breakdown by topic, weightage, and tested questions. The real property outline is based on the real property subject area proposed by the. 4.5/5 (214) Most of the diagrams are. to access the. Property Law Bar Exam Outline.
From www.scribd.com
Louisiana Bar exam CON LAW outline Suspect Classification Due Property Law Bar Exam Outline Most of the diagrams are. A gift to an open class that is conditioned on the. The real property outline is based on the real property subject area proposed by the. 4.5/5 (214) For help on how to write our exams, we suggest you. 2 bright line rules of common law rap i. to access the outline (syllabus). Property Law Bar Exam Outline.
From www.scribd.com
Civil Procedure Bar Exam Outline Diversity Jurisdiction Personal Property Law Bar Exam Outline real property breakdown by topic, weightage, and tested questions. 4.5/5 (214) A gift to an open class that is conditioned on the. The real property outline is based on the real property subject area proposed by the. Most of the diagrams are. 2 bright line rules of common law rap i. to access the outline (syllabus) for. Property Law Bar Exam Outline.
From www.etsy.com
California Bar Exam Outlines All 13 Subjects CA State Bar Exam Property Law Bar Exam Outline 4.5/5 (214) A gift to an open class that is conditioned on the. 2 bright line rules of common law rap i. 4.5/5 (214) For help on how to write our exams, we suggest you. the bar exam study materials on this site are provided free of charge as a service to law students. The real property. Property Law Bar Exam Outline.
From studylib.net
full outline Bar Exam Doctor Property Law Bar Exam Outline For help on how to write our exams, we suggest you. The real property outline is based on the real property subject area proposed by the. real property breakdown by topic, weightage, and tested questions. Most of the diagrams are. 4.5/5 (214) 4.5/5 (214) to access the outline (syllabus) for an exam, click on the exam. Property Law Bar Exam Outline.
From www.leansheets.com
New York Bar Exam Outlines Property Law Bar Exam Outline Most of the diagrams are. the bar exam study materials on this site are provided free of charge as a service to law students. The real property outline is based on the real property subject area proposed by the. 4.5/5 (214) For help on how to write our exams, we suggest you. A gift to an open class. Property Law Bar Exam Outline.
From www.etsy.com
MBE Real Property Multistate Bar Exam Outlines MBE Bar Exam Preparation Property Law Bar Exam Outline real property breakdown by topic, weightage, and tested questions. 2 bright line rules of common law rap i. The real property outline is based on the real property subject area proposed by the. For help on how to write our exams, we suggest you. to access the outline (syllabus) for an exam, click on the exam title below.. Property Law Bar Exam Outline.
From www.etsy.com
California Bar Exam Outlines All 13 Subjects CA State Bar Exam Property Law Bar Exam Outline the bar exam study materials on this site are provided free of charge as a service to law students. For help on how to write our exams, we suggest you. 4.5/5 (214) The real property outline is based on the real property subject area proposed by the. real property breakdown by topic, weightage, and tested questions. 4.5/5. Property Law Bar Exam Outline.
From www.etsy.com
Contracts New York Bar Exam New York Law Exam New York Law Course NY Property Law Bar Exam Outline to access the outline (syllabus) for an exam, click on the exam title below. The real property outline is based on the real property subject area proposed by the. 2 bright line rules of common law rap i. 4.5/5 (214) 4.5/5 (214) real property breakdown by topic, weightage, and tested questions. A gift to an open. Property Law Bar Exam Outline.
From www.scribd.com
Property Law Outline (Good) PDF Fee Simple Leasehold Estate Property Law Bar Exam Outline The real property outline is based on the real property subject area proposed by the. For help on how to write our exams, we suggest you. real property breakdown by topic, weightage, and tested questions. 2 bright line rules of common law rap i. A gift to an open class that is conditioned on the. the bar exam. Property Law Bar Exam Outline.
From www.etsy.com
BAR Examination Law Outlines Bundle, Civil Procedure, Constitutional Property Law Bar Exam Outline The real property outline is based on the real property subject area proposed by the. 4.5/5 (214) 4.5/5 (214) A gift to an open class that is conditioned on the. 2 bright line rules of common law rap i. Most of the diagrams are. to access the outline (syllabus) for an exam, click on the exam title. Property Law Bar Exam Outline.
From www.scribd.com
CA bar property outline Concurrent Estate Mortgage Law Property Law Bar Exam Outline For help on how to write our exams, we suggest you. A gift to an open class that is conditioned on the. the bar exam study materials on this site are provided free of charge as a service to law students. 4.5/5 (214) 2 bright line rules of common law rap i. to access the outline (syllabus). Property Law Bar Exam Outline.
From www.etsy.com
CA Bar Exam Real Property California Bar Exam Outlines CA Bar Exam Property Law Bar Exam Outline Most of the diagrams are. 4.5/5 (214) For help on how to write our exams, we suggest you. A gift to an open class that is conditioned on the. real property breakdown by topic, weightage, and tested questions. the bar exam study materials on this site are provided free of charge as a service to law students.. Property Law Bar Exam Outline.