Couches Pest Control . reliable home pest control and termite protection in hillsborough county,. Our services range from once. specializing in subterranaen termite treatments & prevention. couch’s pest patrol specializes in residential and commercial pest control, as well as subterranean and drywood termite prevention. see reviews for couch's pest patrol in saint petersburg, fl at 5155 1st ave s from angi members or join today to leave your own. read 18 customer reviews of couch's pest patrol, one of the best pest control businesses at 5155 1st ave s, saint.
from couchspestpatrol.com
Our services range from once. see reviews for couch's pest patrol in saint petersburg, fl at 5155 1st ave s from angi members or join today to leave your own. read 18 customer reviews of couch's pest patrol, one of the best pest control businesses at 5155 1st ave s, saint. reliable home pest control and termite protection in hillsborough county,. couch’s pest patrol specializes in residential and commercial pest control, as well as subterranean and drywood termite prevention. specializing in subterranaen termite treatments & prevention.
Couch's Pest Patrol Pinellas Termite Extermination & Pest Control
Couches Pest Control specializing in subterranaen termite treatments & prevention. Our services range from once. specializing in subterranaen termite treatments & prevention. read 18 customer reviews of couch's pest patrol, one of the best pest control businesses at 5155 1st ave s, saint. couch’s pest patrol specializes in residential and commercial pest control, as well as subterranean and drywood termite prevention. reliable home pest control and termite protection in hillsborough county,. see reviews for couch's pest patrol in saint petersburg, fl at 5155 1st ave s from angi members or join today to leave your own.
From www.lookingfour.com
Top Tips for Keeping Bed Bugs Away from Your Couches and Beds Couches Pest Control specializing in subterranaen termite treatments & prevention. Our services range from once. reliable home pest control and termite protection in hillsborough county,. see reviews for couch's pest patrol in saint petersburg, fl at 5155 1st ave s from angi members or join today to leave your own. read 18 customer reviews of couch's pest patrol, one. Couches Pest Control.
From www.dreamstime.com
Pest Control Worker in Uniform Spraying Pesticides Under Couch in Couches Pest Control couch’s pest patrol specializes in residential and commercial pest control, as well as subterranean and drywood termite prevention. read 18 customer reviews of couch's pest patrol, one of the best pest control businesses at 5155 1st ave s, saint. see reviews for couch's pest patrol in saint petersburg, fl at 5155 1st ave s from angi members. Couches Pest Control.
From www.slideshare.net
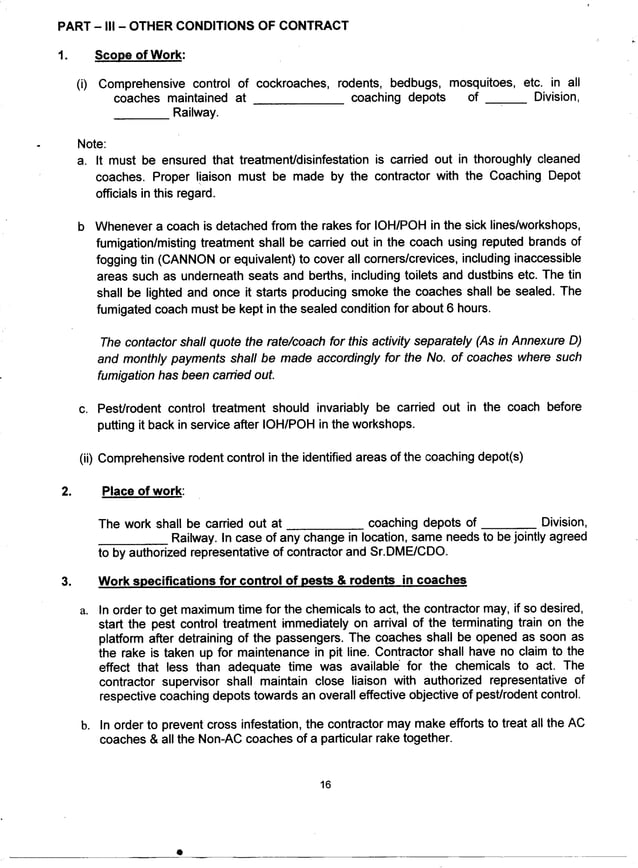
Pest and rodent control in Railway Coaches Couches Pest Control specializing in subterranaen termite treatments & prevention. reliable home pest control and termite protection in hillsborough county,. couch’s pest patrol specializes in residential and commercial pest control, as well as subterranean and drywood termite prevention. read 18 customer reviews of couch's pest patrol, one of the best pest control businesses at 5155 1st ave s, saint.. Couches Pest Control.
From mypestpros.com
Bed Bug Control My Pest Pros Couches Pest Control Our services range from once. specializing in subterranaen termite treatments & prevention. reliable home pest control and termite protection in hillsborough county,. see reviews for couch's pest patrol in saint petersburg, fl at 5155 1st ave s from angi members or join today to leave your own. read 18 customer reviews of couch's pest patrol, one. Couches Pest Control.
From couchspestpatrol.com
Couch's Pest Patrol Pinellas Termite Extermination & Pest Control Couches Pest Control specializing in subterranaen termite treatments & prevention. read 18 customer reviews of couch's pest patrol, one of the best pest control businesses at 5155 1st ave s, saint. see reviews for couch's pest patrol in saint petersburg, fl at 5155 1st ave s from angi members or join today to leave your own. Our services range from. Couches Pest Control.
From couchspestpatrol.com
Couch's Pest Patrol Pinellas Termite Extermination & Pest Control Couches Pest Control Our services range from once. see reviews for couch's pest patrol in saint petersburg, fl at 5155 1st ave s from angi members or join today to leave your own. specializing in subterranaen termite treatments & prevention. reliable home pest control and termite protection in hillsborough county,. couch’s pest patrol specializes in residential and commercial pest. Couches Pest Control.
From www.fullscopepestcontrol.com
Ways to Get Rid of Bed Bugs in Couches FullScope Couches Pest Control couch’s pest patrol specializes in residential and commercial pest control, as well as subterranean and drywood termite prevention. see reviews for couch's pest patrol in saint petersburg, fl at 5155 1st ave s from angi members or join today to leave your own. reliable home pest control and termite protection in hillsborough county,. Our services range from. Couches Pest Control.
From in.pinterest.com
Chennai Pest Control Services 1 Pest Control Service Provider We Couches Pest Control reliable home pest control and termite protection in hillsborough county,. couch’s pest patrol specializes in residential and commercial pest control, as well as subterranean and drywood termite prevention. read 18 customer reviews of couch's pest patrol, one of the best pest control businesses at 5155 1st ave s, saint. see reviews for couch's pest patrol in. Couches Pest Control.
From maisonlyinteriordesign.com
How To Get Rid Of Bed Bugs In Microfiber Couch Pest Elimination Strategies Couches Pest Control specializing in subterranaen termite treatments & prevention. couch’s pest patrol specializes in residential and commercial pest control, as well as subterranean and drywood termite prevention. reliable home pest control and termite protection in hillsborough county,. see reviews for couch's pest patrol in saint petersburg, fl at 5155 1st ave s from angi members or join today. Couches Pest Control.
From hicare.in
What to Expect During and After Cockroach Pest Control Treatment Couches Pest Control Our services range from once. read 18 customer reviews of couch's pest patrol, one of the best pest control businesses at 5155 1st ave s, saint. reliable home pest control and termite protection in hillsborough county,. see reviews for couch's pest patrol in saint petersburg, fl at 5155 1st ave s from angi members or join today. Couches Pest Control.
From www.pestcontrolsleuth.com
Do Fleas Live in Couches? Pest Control Sleuth Couches Pest Control couch’s pest patrol specializes in residential and commercial pest control, as well as subterranean and drywood termite prevention. see reviews for couch's pest patrol in saint petersburg, fl at 5155 1st ave s from angi members or join today to leave your own. specializing in subterranaen termite treatments & prevention. reliable home pest control and termite. Couches Pest Control.
From www.youtube.com
MOVING VLOG Couch is Here! Pest Control Appt, Honest Chat, Amazon Haul Couches Pest Control Our services range from once. specializing in subterranaen termite treatments & prevention. read 18 customer reviews of couch's pest patrol, one of the best pest control businesses at 5155 1st ave s, saint. see reviews for couch's pest patrol in saint petersburg, fl at 5155 1st ave s from angi members or join today to leave your. Couches Pest Control.
From www.selfpestcontrol.com
Pest Control Use a steamer on mattresses, couches, and other places Couches Pest Control reliable home pest control and termite protection in hillsborough county,. couch’s pest patrol specializes in residential and commercial pest control, as well as subterranean and drywood termite prevention. Our services range from once. specializing in subterranaen termite treatments & prevention. see reviews for couch's pest patrol in saint petersburg, fl at 5155 1st ave s from. Couches Pest Control.
From selfcontrolpest.com
DIY Pest Control Kit Self Control Pest Couches Pest Control couch’s pest patrol specializes in residential and commercial pest control, as well as subterranean and drywood termite prevention. read 18 customer reviews of couch's pest patrol, one of the best pest control businesses at 5155 1st ave s, saint. reliable home pest control and termite protection in hillsborough county,. see reviews for couch's pest patrol in. Couches Pest Control.
From pettypestcontrolservices.ca
What To Do About Bed Bugs Couches Pest Control read 18 customer reviews of couch's pest patrol, one of the best pest control businesses at 5155 1st ave s, saint. reliable home pest control and termite protection in hillsborough county,. specializing in subterranaen termite treatments & prevention. Our services range from once. couch’s pest patrol specializes in residential and commercial pest control, as well as. Couches Pest Control.
From nl.pinterest.com
Why are Bed Bugs in Your Couch Bed bugs, Rid of bed bugs, Diy pest Couches Pest Control couch’s pest patrol specializes in residential and commercial pest control, as well as subterranean and drywood termite prevention. specializing in subterranaen termite treatments & prevention. Our services range from once. reliable home pest control and termite protection in hillsborough county,. see reviews for couch's pest patrol in saint petersburg, fl at 5155 1st ave s from. Couches Pest Control.
From couchspestpatrol.com
Couch's Pest Patrol Pinellas Termite Extermination & Pest Control Couches Pest Control see reviews for couch's pest patrol in saint petersburg, fl at 5155 1st ave s from angi members or join today to leave your own. reliable home pest control and termite protection in hillsborough county,. Our services range from once. specializing in subterranaen termite treatments & prevention. couch’s pest patrol specializes in residential and commercial pest. Couches Pest Control.
From www.slideshare.net
Pest and rodent control in Railway Coaches Couches Pest Control reliable home pest control and termite protection in hillsborough county,. specializing in subterranaen termite treatments & prevention. Our services range from once. read 18 customer reviews of couch's pest patrol, one of the best pest control businesses at 5155 1st ave s, saint. couch’s pest patrol specializes in residential and commercial pest control, as well as. Couches Pest Control.
From pestphobia.com
Bed Bug Spray For Couches PestPhobia Couches Pest Control read 18 customer reviews of couch's pest patrol, one of the best pest control businesses at 5155 1st ave s, saint. couch’s pest patrol specializes in residential and commercial pest control, as well as subterranean and drywood termite prevention. Our services range from once. see reviews for couch's pest patrol in saint petersburg, fl at 5155 1st. Couches Pest Control.
From www.walmart.com
Bayer Advanced 502795 Home Pest Control Indoor and Outdoor Insect Couches Pest Control see reviews for couch's pest patrol in saint petersburg, fl at 5155 1st ave s from angi members or join today to leave your own. read 18 customer reviews of couch's pest patrol, one of the best pest control businesses at 5155 1st ave s, saint. specializing in subterranaen termite treatments & prevention. reliable home pest. Couches Pest Control.
From www.dreamstime.com
Pest Control Worker in Uniform Spraying Pesticides Under Couch in Couches Pest Control read 18 customer reviews of couch's pest patrol, one of the best pest control businesses at 5155 1st ave s, saint. see reviews for couch's pest patrol in saint petersburg, fl at 5155 1st ave s from angi members or join today to leave your own. Our services range from once. reliable home pest control and termite. Couches Pest Control.
From pestphobia.com
How To Get Rid Of Fleas On Furniture PestPhobia Couches Pest Control read 18 customer reviews of couch's pest patrol, one of the best pest control businesses at 5155 1st ave s, saint. see reviews for couch's pest patrol in saint petersburg, fl at 5155 1st ave s from angi members or join today to leave your own. reliable home pest control and termite protection in hillsborough county,. Our. Couches Pest Control.
From www.couchpestcontrol.com
Home Couch Pest Control Couches Pest Control reliable home pest control and termite protection in hillsborough county,. see reviews for couch's pest patrol in saint petersburg, fl at 5155 1st ave s from angi members or join today to leave your own. specializing in subterranaen termite treatments & prevention. read 18 customer reviews of couch's pest patrol, one of the best pest control. Couches Pest Control.
From storables.com
8 Unbelievable Yard Pest Control For 2023 Storables Couches Pest Control couch’s pest patrol specializes in residential and commercial pest control, as well as subterranean and drywood termite prevention. reliable home pest control and termite protection in hillsborough county,. specializing in subterranaen termite treatments & prevention. Our services range from once. see reviews for couch's pest patrol in saint petersburg, fl at 5155 1st ave s from. Couches Pest Control.
From www.facebook.com
Couch Pest Control Cartersville GA Couches Pest Control see reviews for couch's pest patrol in saint petersburg, fl at 5155 1st ave s from angi members or join today to leave your own. specializing in subterranaen termite treatments & prevention. reliable home pest control and termite protection in hillsborough county,. Our services range from once. read 18 customer reviews of couch's pest patrol, one. Couches Pest Control.
From www.pctonline.com
Reader Poll Using Business Coaches Pest Control Technology Couches Pest Control Our services range from once. see reviews for couch's pest patrol in saint petersburg, fl at 5155 1st ave s from angi members or join today to leave your own. couch’s pest patrol specializes in residential and commercial pest control, as well as subterranean and drywood termite prevention. reliable home pest control and termite protection in hillsborough. Couches Pest Control.
From www.pinterest.com
Bedbugs in couch Pest control, Bed bugs, Cinnamon sticks Couches Pest Control couch’s pest patrol specializes in residential and commercial pest control, as well as subterranean and drywood termite prevention. see reviews for couch's pest patrol in saint petersburg, fl at 5155 1st ave s from angi members or join today to leave your own. specializing in subterranaen termite treatments & prevention. read 18 customer reviews of couch's. Couches Pest Control.
From www.slideshare.net
Pest and rodent control in Railway Coaches PDF Couches Pest Control read 18 customer reviews of couch's pest patrol, one of the best pest control businesses at 5155 1st ave s, saint. see reviews for couch's pest patrol in saint petersburg, fl at 5155 1st ave s from angi members or join today to leave your own. reliable home pest control and termite protection in hillsborough county,. Our. Couches Pest Control.
From exyxgafip.blob.core.windows.net
How To Protect Couches From Bed Bugs at Swain blog Couches Pest Control couch’s pest patrol specializes in residential and commercial pest control, as well as subterranean and drywood termite prevention. see reviews for couch's pest patrol in saint petersburg, fl at 5155 1st ave s from angi members or join today to leave your own. reliable home pest control and termite protection in hillsborough county,. read 18 customer. Couches Pest Control.
From www.pestcontrolsleuth.com
How to Get Mice Out of Couch? Pest Control Sleuth Couches Pest Control specializing in subterranaen termite treatments & prevention. couch’s pest patrol specializes in residential and commercial pest control, as well as subterranean and drywood termite prevention. see reviews for couch's pest patrol in saint petersburg, fl at 5155 1st ave s from angi members or join today to leave your own. read 18 customer reviews of couch's. Couches Pest Control.
From ambilur.com
Control de plagas cucarachas Ambilur Couches Pest Control reliable home pest control and termite protection in hillsborough county,. specializing in subterranaen termite treatments & prevention. see reviews for couch's pest patrol in saint petersburg, fl at 5155 1st ave s from angi members or join today to leave your own. couch’s pest patrol specializes in residential and commercial pest control, as well as subterranean. Couches Pest Control.
From bynder-auto-posts.netlify.app
How Much Does Pest Control Cost? HomeServe USA Couches Pest Control couch’s pest patrol specializes in residential and commercial pest control, as well as subterranean and drywood termite prevention. Our services range from once. specializing in subterranaen termite treatments & prevention. read 18 customer reviews of couch's pest patrol, one of the best pest control businesses at 5155 1st ave s, saint. reliable home pest control and. Couches Pest Control.
From couchspestpatrol.com
Couch's Pest Patrol Pinellas Termite Extermination & Pest Control Couches Pest Control reliable home pest control and termite protection in hillsborough county,. Our services range from once. see reviews for couch's pest patrol in saint petersburg, fl at 5155 1st ave s from angi members or join today to leave your own. couch’s pest patrol specializes in residential and commercial pest control, as well as subterranean and drywood termite. Couches Pest Control.
From www.pinterest.com
Get Rid of Bed Bugs in Your Couch Fast Rid of bed bugs, Bed bugs, Bed Couches Pest Control Our services range from once. read 18 customer reviews of couch's pest patrol, one of the best pest control businesses at 5155 1st ave s, saint. see reviews for couch's pest patrol in saint petersburg, fl at 5155 1st ave s from angi members or join today to leave your own. couch’s pest patrol specializes in residential. Couches Pest Control.
From arizonapestsolutions.com
Pest Control Methods Pros and Cons AZ Pest Solutions Couches Pest Control read 18 customer reviews of couch's pest patrol, one of the best pest control businesses at 5155 1st ave s, saint. see reviews for couch's pest patrol in saint petersburg, fl at 5155 1st ave s from angi members or join today to leave your own. reliable home pest control and termite protection in hillsborough county,. . Couches Pest Control.