How Long Does Plutonium Take To Decay . When you purchase through links on our site, we may earn an affiliate. Radioactive (or nuclear) waste is a byproduct from nuclear reactors, fuel processing plants, hospitals and research facilities. Gamma radiation, however, can penetrate the body. Plutonium has 15 isotopes with mass numbers ranging from 232 to 246. Isotopes of the same element have. Radioactive waste is also generated while. You can hold plutonium in your hand, but it has the potential to destroy entire cities. The atomic number of plutonium is 94. The time required for a radioactive substance to lose 50 percent of its.
from www.planetary.org
Plutonium has 15 isotopes with mass numbers ranging from 232 to 246. Isotopes of the same element have. You can hold plutonium in your hand, but it has the potential to destroy entire cities. The atomic number of plutonium is 94. Radioactive waste is also generated while. Gamma radiation, however, can penetrate the body. When you purchase through links on our site, we may earn an affiliate. Radioactive (or nuclear) waste is a byproduct from nuclear reactors, fuel processing plants, hospitals and research facilities. The time required for a radioactive substance to lose 50 percent of its.
Why we need plutonium power for space missions The Society
How Long Does Plutonium Take To Decay Gamma radiation, however, can penetrate the body. Isotopes of the same element have. Gamma radiation, however, can penetrate the body. Radioactive (or nuclear) waste is a byproduct from nuclear reactors, fuel processing plants, hospitals and research facilities. Radioactive waste is also generated while. Plutonium has 15 isotopes with mass numbers ranging from 232 to 246. When you purchase through links on our site, we may earn an affiliate. The atomic number of plutonium is 94. You can hold plutonium in your hand, but it has the potential to destroy entire cities. The time required for a radioactive substance to lose 50 percent of its.
From www.vedantu.com
Facts About Plutonium Learn Important Terms and Concepts How Long Does Plutonium Take To Decay You can hold plutonium in your hand, but it has the potential to destroy entire cities. Plutonium has 15 isotopes with mass numbers ranging from 232 to 246. Radioactive (or nuclear) waste is a byproduct from nuclear reactors, fuel processing plants, hospitals and research facilities. When you purchase through links on our site, we may earn an affiliate. The time. How Long Does Plutonium Take To Decay.
From www.slideserve.com
PPT Nuclear Fission PowerPoint Presentation, free download ID1487921 How Long Does Plutonium Take To Decay You can hold plutonium in your hand, but it has the potential to destroy entire cities. Gamma radiation, however, can penetrate the body. When you purchase through links on our site, we may earn an affiliate. The atomic number of plutonium is 94. The time required for a radioactive substance to lose 50 percent of its. Radioactive (or nuclear) waste. How Long Does Plutonium Take To Decay.
From www.businessinsider.com
Plutonium shortage may jeopardize NASA space exploration, says report How Long Does Plutonium Take To Decay Gamma radiation, however, can penetrate the body. The atomic number of plutonium is 94. Radioactive (or nuclear) waste is a byproduct from nuclear reactors, fuel processing plants, hospitals and research facilities. You can hold plutonium in your hand, but it has the potential to destroy entire cities. Plutonium has 15 isotopes with mass numbers ranging from 232 to 246. Radioactive. How Long Does Plutonium Take To Decay.
From www.numerade.com
Plutonium242 decays to uranium 238 by emission of an αparticle with How Long Does Plutonium Take To Decay Radioactive waste is also generated while. The time required for a radioactive substance to lose 50 percent of its. When you purchase through links on our site, we may earn an affiliate. Gamma radiation, however, can penetrate the body. You can hold plutonium in your hand, but it has the potential to destroy entire cities. Plutonium has 15 isotopes with. How Long Does Plutonium Take To Decay.
From www.slideserve.com
PPT Nuclear Physics PowerPoint Presentation, free download ID5497861 How Long Does Plutonium Take To Decay You can hold plutonium in your hand, but it has the potential to destroy entire cities. When you purchase through links on our site, we may earn an affiliate. Plutonium has 15 isotopes with mass numbers ranging from 232 to 246. Gamma radiation, however, can penetrate the body. Isotopes of the same element have. Radioactive waste is also generated while.. How Long Does Plutonium Take To Decay.
From periodictable.com
Isotope data for plutonium238 in the Periodic Table How Long Does Plutonium Take To Decay You can hold plutonium in your hand, but it has the potential to destroy entire cities. When you purchase through links on our site, we may earn an affiliate. Isotopes of the same element have. Radioactive (or nuclear) waste is a byproduct from nuclear reactors, fuel processing plants, hospitals and research facilities. The atomic number of plutonium is 94. Gamma. How Long Does Plutonium Take To Decay.
From www.numerade.com
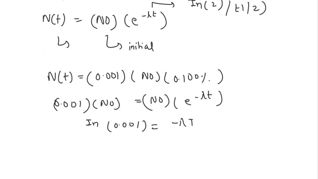
SOLVED The halflife for radioactive decay (a firstorder process) of How Long Does Plutonium Take To Decay You can hold plutonium in your hand, but it has the potential to destroy entire cities. Radioactive (or nuclear) waste is a byproduct from nuclear reactors, fuel processing plants, hospitals and research facilities. Radioactive waste is also generated while. The atomic number of plutonium is 94. The time required for a radioactive substance to lose 50 percent of its. Isotopes. How Long Does Plutonium Take To Decay.
From www.slideserve.com
PPT Plutonium Chemistry PowerPoint Presentation, free download ID How Long Does Plutonium Take To Decay The time required for a radioactive substance to lose 50 percent of its. Isotopes of the same element have. Radioactive (or nuclear) waste is a byproduct from nuclear reactors, fuel processing plants, hospitals and research facilities. Gamma radiation, however, can penetrate the body. Plutonium has 15 isotopes with mass numbers ranging from 232 to 246. When you purchase through links. How Long Does Plutonium Take To Decay.
From periodictable.com
Isotope data for plutonium236 in the Periodic Table How Long Does Plutonium Take To Decay Gamma radiation, however, can penetrate the body. Plutonium has 15 isotopes with mass numbers ranging from 232 to 246. Isotopes of the same element have. The time required for a radioactive substance to lose 50 percent of its. The atomic number of plutonium is 94. When you purchase through links on our site, we may earn an affiliate. Radioactive waste. How Long Does Plutonium Take To Decay.
From www.britannica.com
Plutonium Radioactive Element, Nuclear Fuel Britannica How Long Does Plutonium Take To Decay Gamma radiation, however, can penetrate the body. The atomic number of plutonium is 94. Isotopes of the same element have. The time required for a radioactive substance to lose 50 percent of its. Radioactive (or nuclear) waste is a byproduct from nuclear reactors, fuel processing plants, hospitals and research facilities. When you purchase through links on our site, we may. How Long Does Plutonium Take To Decay.
From periodictable.com
Isotope data for plutonium240 in the Periodic Table How Long Does Plutonium Take To Decay When you purchase through links on our site, we may earn an affiliate. Radioactive waste is also generated while. You can hold plutonium in your hand, but it has the potential to destroy entire cities. Plutonium has 15 isotopes with mass numbers ranging from 232 to 246. Radioactive (or nuclear) waste is a byproduct from nuclear reactors, fuel processing plants,. How Long Does Plutonium Take To Decay.
From slideplayer.com
1. What are the three types of decay we walked about yesterday? ppt How Long Does Plutonium Take To Decay Gamma radiation, however, can penetrate the body. Isotopes of the same element have. When you purchase through links on our site, we may earn an affiliate. You can hold plutonium in your hand, but it has the potential to destroy entire cities. Radioactive waste is also generated while. The time required for a radioactive substance to lose 50 percent of. How Long Does Plutonium Take To Decay.
From chemlin.org
Plutonium242 isotopic data and properties How Long Does Plutonium Take To Decay Radioactive waste is also generated while. The atomic number of plutonium is 94. Gamma radiation, however, can penetrate the body. When you purchase through links on our site, we may earn an affiliate. Radioactive (or nuclear) waste is a byproduct from nuclear reactors, fuel processing plants, hospitals and research facilities. The time required for a radioactive substance to lose 50. How Long Does Plutonium Take To Decay.
From slideplayer.com
WarmUp Algebra 2 Honors 2/22/18 ppt download How Long Does Plutonium Take To Decay Radioactive waste is also generated while. Plutonium has 15 isotopes with mass numbers ranging from 232 to 246. Isotopes of the same element have. The time required for a radioactive substance to lose 50 percent of its. Radioactive (or nuclear) waste is a byproduct from nuclear reactors, fuel processing plants, hospitals and research facilities. The atomic number of plutonium is. How Long Does Plutonium Take To Decay.
From sciencenotes.org
Plutonium Facts (Pu or Atomic Number 94) How Long Does Plutonium Take To Decay Gamma radiation, however, can penetrate the body. When you purchase through links on our site, we may earn an affiliate. The atomic number of plutonium is 94. You can hold plutonium in your hand, but it has the potential to destroy entire cities. Radioactive waste is also generated while. The time required for a radioactive substance to lose 50 percent. How Long Does Plutonium Take To Decay.
From courses.lumenlearning.com
Radioactive Decay Chemistry for Majors How Long Does Plutonium Take To Decay Gamma radiation, however, can penetrate the body. When you purchase through links on our site, we may earn an affiliate. Radioactive (or nuclear) waste is a byproduct from nuclear reactors, fuel processing plants, hospitals and research facilities. The time required for a radioactive substance to lose 50 percent of its. You can hold plutonium in your hand, but it has. How Long Does Plutonium Take To Decay.
From www.spaceze.com
Plutonium Facts about the radioactive element Space News & Blog How Long Does Plutonium Take To Decay The atomic number of plutonium is 94. Plutonium has 15 isotopes with mass numbers ranging from 232 to 246. The time required for a radioactive substance to lose 50 percent of its. You can hold plutonium in your hand, but it has the potential to destroy entire cities. Isotopes of the same element have. Radioactive (or nuclear) waste is a. How Long Does Plutonium Take To Decay.
From everything-everywhere.com
Plutonium How Long Does Plutonium Take To Decay Gamma radiation, however, can penetrate the body. The atomic number of plutonium is 94. Radioactive waste is also generated while. Radioactive (or nuclear) waste is a byproduct from nuclear reactors, fuel processing plants, hospitals and research facilities. Isotopes of the same element have. The time required for a radioactive substance to lose 50 percent of its. You can hold plutonium. How Long Does Plutonium Take To Decay.
From www.researchgate.net
Decay heat evolution after uranium and plutonium extraction. Download How Long Does Plutonium Take To Decay Plutonium has 15 isotopes with mass numbers ranging from 232 to 246. Radioactive waste is also generated while. Gamma radiation, however, can penetrate the body. When you purchase through links on our site, we may earn an affiliate. You can hold plutonium in your hand, but it has the potential to destroy entire cities. Radioactive (or nuclear) waste is a. How Long Does Plutonium Take To Decay.
From brainly.com
please help! how long will it take 24g of plutonium240 to decay to 20g How Long Does Plutonium Take To Decay When you purchase through links on our site, we may earn an affiliate. The time required for a radioactive substance to lose 50 percent of its. Gamma radiation, however, can penetrate the body. Isotopes of the same element have. The atomic number of plutonium is 94. Plutonium has 15 isotopes with mass numbers ranging from 232 to 246. Radioactive waste. How Long Does Plutonium Take To Decay.
From pubchem.ncbi.nlm.nih.gov
Plutonium Pu (Element) PubChem How Long Does Plutonium Take To Decay When you purchase through links on our site, we may earn an affiliate. The time required for a radioactive substance to lose 50 percent of its. Radioactive waste is also generated while. Radioactive (or nuclear) waste is a byproduct from nuclear reactors, fuel processing plants, hospitals and research facilities. Plutonium has 15 isotopes with mass numbers ranging from 232 to. How Long Does Plutonium Take To Decay.
From everipedia.org
Plutonium Wiki How Long Does Plutonium Take To Decay The time required for a radioactive substance to lose 50 percent of its. You can hold plutonium in your hand, but it has the potential to destroy entire cities. When you purchase through links on our site, we may earn an affiliate. The atomic number of plutonium is 94. Radioactive (or nuclear) waste is a byproduct from nuclear reactors, fuel. How Long Does Plutonium Take To Decay.
From www.slideserve.com
PPT Radioactive Decay of Plutonium239 Over the course of 80.8 How Long Does Plutonium Take To Decay Plutonium has 15 isotopes with mass numbers ranging from 232 to 246. When you purchase through links on our site, we may earn an affiliate. Radioactive waste is also generated while. The atomic number of plutonium is 94. Radioactive (or nuclear) waste is a byproduct from nuclear reactors, fuel processing plants, hospitals and research facilities. Gamma radiation, however, can penetrate. How Long Does Plutonium Take To Decay.
From www.slideserve.com
PPT Radioactive Decay of Plutonium239 Over the course of 80.8 How Long Does Plutonium Take To Decay The atomic number of plutonium is 94. Radioactive waste is also generated while. When you purchase through links on our site, we may earn an affiliate. You can hold plutonium in your hand, but it has the potential to destroy entire cities. Plutonium has 15 isotopes with mass numbers ranging from 232 to 246. Isotopes of the same element have.. How Long Does Plutonium Take To Decay.
From discover.lanl.gov
A History of Plutonium Actinide Research Quarterly (ARQ) Los Alamos How Long Does Plutonium Take To Decay Radioactive waste is also generated while. Plutonium has 15 isotopes with mass numbers ranging from 232 to 246. You can hold plutonium in your hand, but it has the potential to destroy entire cities. The atomic number of plutonium is 94. Radioactive (or nuclear) waste is a byproduct from nuclear reactors, fuel processing plants, hospitals and research facilities. Isotopes of. How Long Does Plutonium Take To Decay.
From www.scribd.com
plutonium fact sheet Plutonium Radioactive Decay How Long Does Plutonium Take To Decay Radioactive waste is also generated while. Radioactive (or nuclear) waste is a byproduct from nuclear reactors, fuel processing plants, hospitals and research facilities. You can hold plutonium in your hand, but it has the potential to destroy entire cities. Gamma radiation, however, can penetrate the body. The time required for a radioactive substance to lose 50 percent of its. Isotopes. How Long Does Plutonium Take To Decay.
From www.numerade.com
Show complete solution 1. Plutonium239 (produced in breeder reactors How Long Does Plutonium Take To Decay Isotopes of the same element have. The atomic number of plutonium is 94. Radioactive waste is also generated while. Radioactive (or nuclear) waste is a byproduct from nuclear reactors, fuel processing plants, hospitals and research facilities. Gamma radiation, however, can penetrate the body. Plutonium has 15 isotopes with mass numbers ranging from 232 to 246. You can hold plutonium in. How Long Does Plutonium Take To Decay.
From www.nuclear-power.com
Plutonium 239 Fission & Properties How Long Does Plutonium Take To Decay Plutonium has 15 isotopes with mass numbers ranging from 232 to 246. Radioactive (or nuclear) waste is a byproduct from nuclear reactors, fuel processing plants, hospitals and research facilities. Radioactive waste is also generated while. The time required for a radioactive substance to lose 50 percent of its. Isotopes of the same element have. When you purchase through links on. How Long Does Plutonium Take To Decay.
From www.slideserve.com
PPT Nuclear Chemistry PowerPoint Presentation, free download ID3013974 How Long Does Plutonium Take To Decay Gamma radiation, however, can penetrate the body. You can hold plutonium in your hand, but it has the potential to destroy entire cities. Radioactive waste is also generated while. Isotopes of the same element have. The time required for a radioactive substance to lose 50 percent of its. The atomic number of plutonium is 94. Plutonium has 15 isotopes with. How Long Does Plutonium Take To Decay.
From www.slideserve.com
PPT Radioactive Decay of Plutonium239 Over the course of 80.8 How Long Does Plutonium Take To Decay Isotopes of the same element have. The time required for a radioactive substance to lose 50 percent of its. You can hold plutonium in your hand, but it has the potential to destroy entire cities. The atomic number of plutonium is 94. Radioactive (or nuclear) waste is a byproduct from nuclear reactors, fuel processing plants, hospitals and research facilities. Radioactive. How Long Does Plutonium Take To Decay.
From www.slideserve.com
PPT Radioactive Decay of Plutonium239 Over the course of 80.8 How Long Does Plutonium Take To Decay When you purchase through links on our site, we may earn an affiliate. The time required for a radioactive substance to lose 50 percent of its. Isotopes of the same element have. Plutonium has 15 isotopes with mass numbers ranging from 232 to 246. Gamma radiation, however, can penetrate the body. You can hold plutonium in your hand, but it. How Long Does Plutonium Take To Decay.
From www.numerade.com
SOLVED Plutonium236 is an alpha emitter with a halflife of 2.86 How Long Does Plutonium Take To Decay Gamma radiation, however, can penetrate the body. The time required for a radioactive substance to lose 50 percent of its. Isotopes of the same element have. When you purchase through links on our site, we may earn an affiliate. You can hold plutonium in your hand, but it has the potential to destroy entire cities. Plutonium has 15 isotopes with. How Long Does Plutonium Take To Decay.
From www.numerade.com
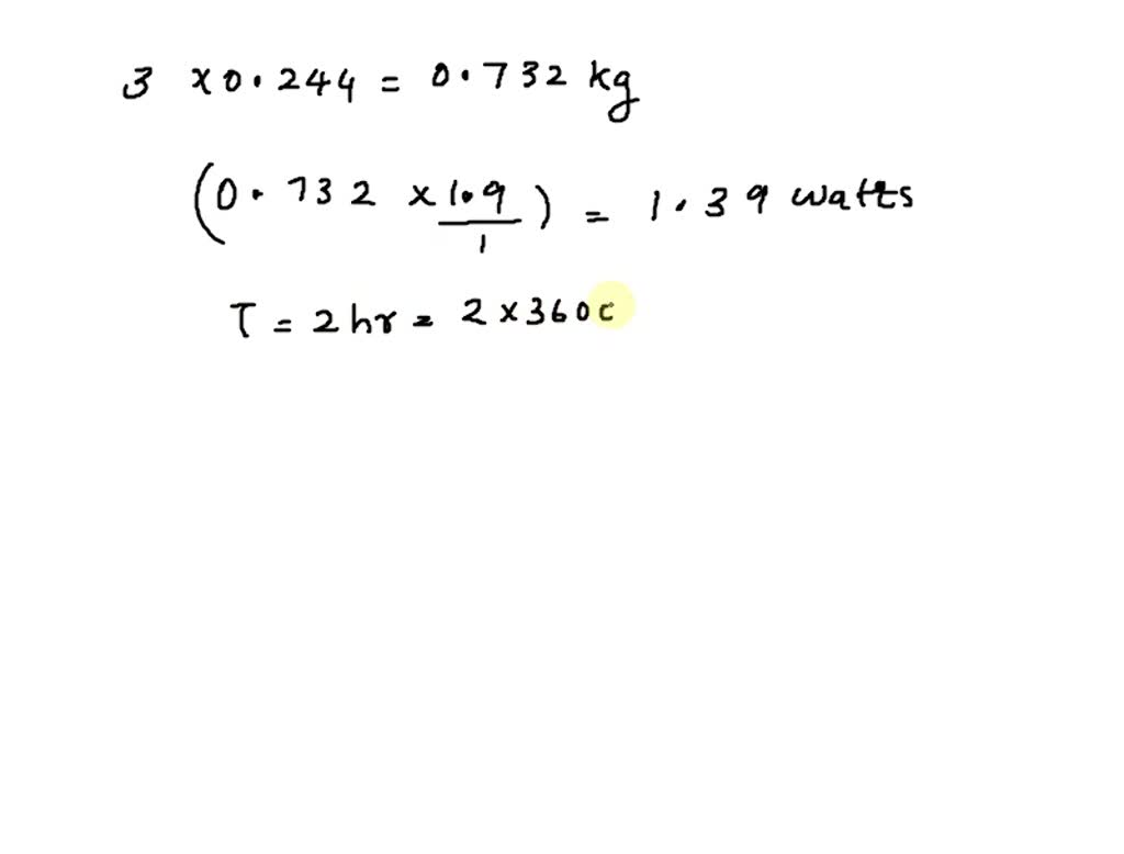
SOLVED 'Plutonium isotopes undergo decay; producing heat Plutonium How Long Does Plutonium Take To Decay Isotopes of the same element have. You can hold plutonium in your hand, but it has the potential to destroy entire cities. Plutonium has 15 isotopes with mass numbers ranging from 232 to 246. The time required for a radioactive substance to lose 50 percent of its. Radioactive (or nuclear) waste is a byproduct from nuclear reactors, fuel processing plants,. How Long Does Plutonium Take To Decay.
From chemicalengineeringworld.com
Plutonium Element Properties and Information Chemical Engineering World How Long Does Plutonium Take To Decay Gamma radiation, however, can penetrate the body. Radioactive waste is also generated while. The time required for a radioactive substance to lose 50 percent of its. You can hold plutonium in your hand, but it has the potential to destroy entire cities. When you purchase through links on our site, we may earn an affiliate. Isotopes of the same element. How Long Does Plutonium Take To Decay.
From www.planetary.org
Why we need plutonium power for space missions The Society How Long Does Plutonium Take To Decay The atomic number of plutonium is 94. Gamma radiation, however, can penetrate the body. Plutonium has 15 isotopes with mass numbers ranging from 232 to 246. When you purchase through links on our site, we may earn an affiliate. You can hold plutonium in your hand, but it has the potential to destroy entire cities. The time required for a. How Long Does Plutonium Take To Decay.