Pedestal Behavior Meaning . What about what they have or do makes them better? Where is this belief of. The issue, however, is that. Explore why you perceive them as “better” than you. To put someone on a pedestal means to highly admire or idolize someone, often ignoring their flaws. Are you putting someone on a pedestal? In this article, we share why and how to stop putting others first and start prioritizing yourself. Pedestalling in dating refers to the conscious, or unconscious, process of viewing. Pedestal psychology refers to the tendency to idealize others, attributing them with exaggerated positive qualities while. Photograph by samantha garrote on pexels. When you catch yourself putting others on a pedestal, be curious.
from exoukkpta.blob.core.windows.net
Where is this belief of. To put someone on a pedestal means to highly admire or idolize someone, often ignoring their flaws. Photograph by samantha garrote on pexels. Pedestal psychology refers to the tendency to idealize others, attributing them with exaggerated positive qualities while. Are you putting someone on a pedestal? Pedestalling in dating refers to the conscious, or unconscious, process of viewing. In this article, we share why and how to stop putting others first and start prioritizing yourself. What about what they have or do makes them better? When you catch yourself putting others on a pedestal, be curious. Explore why you perceive them as “better” than you.
Pedestal Meaning Malaysia at Dora Reynolds blog
Pedestal Behavior Meaning To put someone on a pedestal means to highly admire or idolize someone, often ignoring their flaws. Are you putting someone on a pedestal? What about what they have or do makes them better? Pedestal psychology refers to the tendency to idealize others, attributing them with exaggerated positive qualities while. Explore why you perceive them as “better” than you. Pedestalling in dating refers to the conscious, or unconscious, process of viewing. When you catch yourself putting others on a pedestal, be curious. In this article, we share why and how to stop putting others first and start prioritizing yourself. Where is this belief of. Photograph by samantha garrote on pexels. The issue, however, is that. To put someone on a pedestal means to highly admire or idolize someone, often ignoring their flaws.
From joibmgpym.blob.core.windows.net
Label Behaviour Definition at Wade Nicholson blog Pedestal Behavior Meaning Pedestalling in dating refers to the conscious, or unconscious, process of viewing. The issue, however, is that. To put someone on a pedestal means to highly admire or idolize someone, often ignoring their flaws. Photograph by samantha garrote on pexels. When you catch yourself putting others on a pedestal, be curious. Explore why you perceive them as “better” than you.. Pedestal Behavior Meaning.
From en.wiktionary.org
pedestal Wiktionary, the free dictionary Pedestal Behavior Meaning What about what they have or do makes them better? To put someone on a pedestal means to highly admire or idolize someone, often ignoring their flaws. When you catch yourself putting others on a pedestal, be curious. Photograph by samantha garrote on pexels. Where is this belief of. Are you putting someone on a pedestal? Pedestalling in dating refers. Pedestal Behavior Meaning.
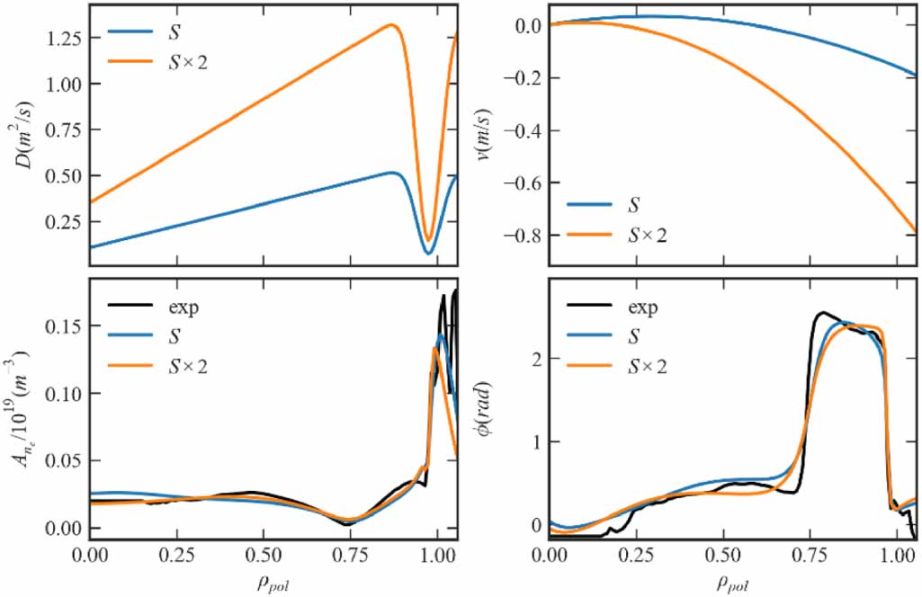
From iopscience.iop.org
Electron density pedestal behaviour in strikepoint sweeping experiment Pedestal Behavior Meaning Pedestalling in dating refers to the conscious, or unconscious, process of viewing. Where is this belief of. Pedestal psychology refers to the tendency to idealize others, attributing them with exaggerated positive qualities while. In this article, we share why and how to stop putting others first and start prioritizing yourself. Explore why you perceive them as “better” than you. Are. Pedestal Behavior Meaning.
From iopscience.iop.org
Electron density pedestal behaviour in strikepoint sweeping experiment Pedestal Behavior Meaning Explore why you perceive them as “better” than you. In this article, we share why and how to stop putting others first and start prioritizing yourself. Where is this belief of. When you catch yourself putting others on a pedestal, be curious. Photograph by samantha garrote on pexels. To put someone on a pedestal means to highly admire or idolize. Pedestal Behavior Meaning.
From www.eigenplus.com
Eccentrically loaded columns Kern of the section eigenplus Pedestal Behavior Meaning Explore why you perceive them as “better” than you. In this article, we share why and how to stop putting others first and start prioritizing yourself. Pedestalling in dating refers to the conscious, or unconscious, process of viewing. Are you putting someone on a pedestal? Photograph by samantha garrote on pexels. What about what they have or do makes them. Pedestal Behavior Meaning.
From exoukkpta.blob.core.windows.net
Pedestal Meaning Malaysia at Dora Reynolds blog Pedestal Behavior Meaning When you catch yourself putting others on a pedestal, be curious. Photograph by samantha garrote on pexels. Explore why you perceive them as “better” than you. To put someone on a pedestal means to highly admire or idolize someone, often ignoring their flaws. In this article, we share why and how to stop putting others first and start prioritizing yourself.. Pedestal Behavior Meaning.
From hagaakatherinemay.blogspot.com
pedestal meaning in hindi Katherine May Pedestal Behavior Meaning Are you putting someone on a pedestal? Where is this belief of. What about what they have or do makes them better? The issue, however, is that. When you catch yourself putting others on a pedestal, be curious. Pedestal psychology refers to the tendency to idealize others, attributing them with exaggerated positive qualities while. Explore why you perceive them as. Pedestal Behavior Meaning.
From www.slideserve.com
PPT Monitoring Beam Intensity in the Tevatron Abort Gap Using Pedestal Behavior Meaning In this article, we share why and how to stop putting others first and start prioritizing yourself. What about what they have or do makes them better? When you catch yourself putting others on a pedestal, be curious. Where is this belief of. To put someone on a pedestal means to highly admire or idolize someone, often ignoring their flaws.. Pedestal Behavior Meaning.
From ar.inspiredpencil.com
Passive Aggressive Personality Disorder Pedestal Behavior Meaning Pedestal psychology refers to the tendency to idealize others, attributing them with exaggerated positive qualities while. In this article, we share why and how to stop putting others first and start prioritizing yourself. The issue, however, is that. Photograph by samantha garrote on pexels. To put someone on a pedestal means to highly admire or idolize someone, often ignoring their. Pedestal Behavior Meaning.
From pnghq.com
Pedestal png pic free image png Pedestal Behavior Meaning Pedestalling in dating refers to the conscious, or unconscious, process of viewing. Pedestal psychology refers to the tendency to idealize others, attributing them with exaggerated positive qualities while. Where is this belief of. Explore why you perceive them as “better” than you. Photograph by samantha garrote on pexels. When you catch yourself putting others on a pedestal, be curious. To. Pedestal Behavior Meaning.
From civiljungle.com
What Is Pedestal Functions of Pedestal Methods of Construction Pedestal Behavior Meaning Are you putting someone on a pedestal? Photograph by samantha garrote on pexels. To put someone on a pedestal means to highly admire or idolize someone, often ignoring their flaws. Where is this belief of. Explore why you perceive them as “better” than you. When you catch yourself putting others on a pedestal, be curious. Pedestal psychology refers to the. Pedestal Behavior Meaning.
From www.scribd.com
Strength & Behaviour of Anchor Bolts in Pedestals PDF PDF Screw Pedestal Behavior Meaning Explore why you perceive them as “better” than you. Where is this belief of. In this article, we share why and how to stop putting others first and start prioritizing yourself. Pedestalling in dating refers to the conscious, or unconscious, process of viewing. The issue, however, is that. What about what they have or do makes them better? Are you. Pedestal Behavior Meaning.
From www.alamy.com
Pedestal desk hires stock photography and images Alamy Pedestal Behavior Meaning What about what they have or do makes them better? In this article, we share why and how to stop putting others first and start prioritizing yourself. The issue, however, is that. To put someone on a pedestal means to highly admire or idolize someone, often ignoring their flaws. When you catch yourself putting others on a pedestal, be curious.. Pedestal Behavior Meaning.
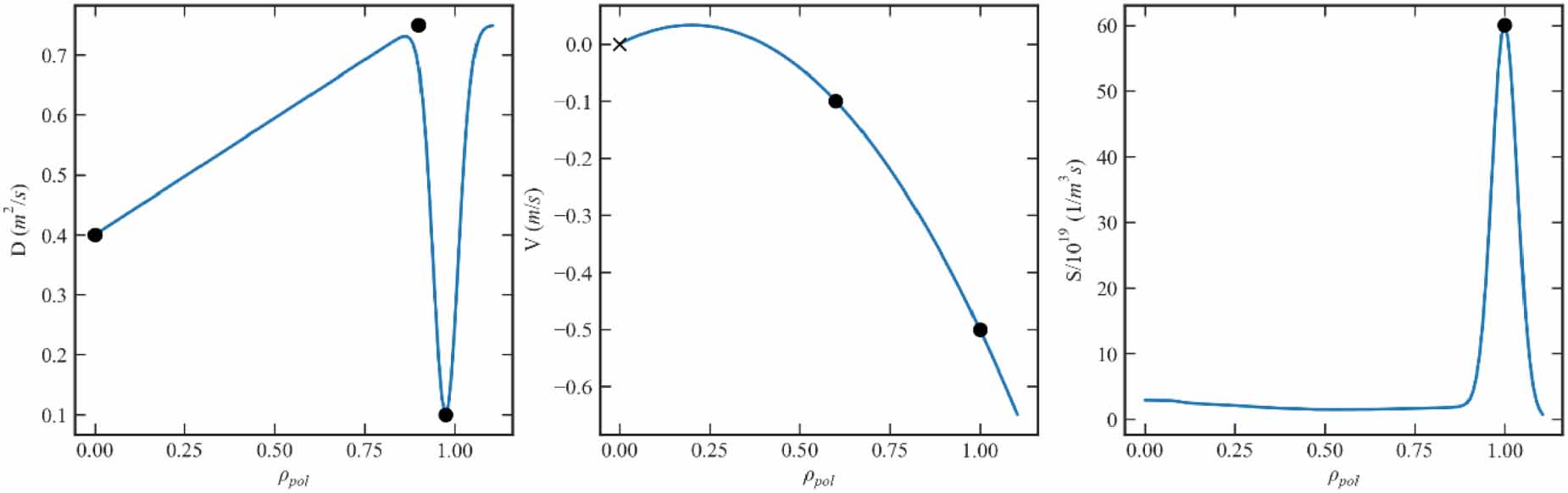
From iopscience.iop.org
Electron density pedestal behaviour in strikepoint sweeping experiment Pedestal Behavior Meaning Are you putting someone on a pedestal? In this article, we share why and how to stop putting others first and start prioritizing yourself. The issue, however, is that. To put someone on a pedestal means to highly admire or idolize someone, often ignoring their flaws. Explore why you perceive them as “better” than you. Pedestal psychology refers to the. Pedestal Behavior Meaning.
From www.youtube.com
Pedestal Meaning in Hindi/Pedestal का अर्थ या मतलब क्या होता है. YouTube Pedestal Behavior Meaning Where is this belief of. When you catch yourself putting others on a pedestal, be curious. To put someone on a pedestal means to highly admire or idolize someone, often ignoring their flaws. Explore why you perceive them as “better” than you. The issue, however, is that. Pedestalling in dating refers to the conscious, or unconscious, process of viewing. Are. Pedestal Behavior Meaning.
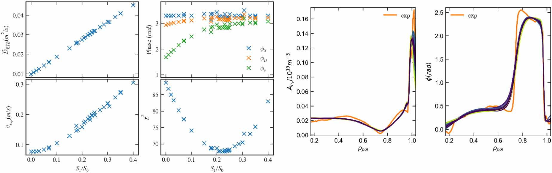
From iopscience.iop.org
Electron density pedestal behaviour in strikepoint sweeping experiment Pedestal Behavior Meaning In this article, we share why and how to stop putting others first and start prioritizing yourself. Explore why you perceive them as “better” than you. Are you putting someone on a pedestal? What about what they have or do makes them better? Pedestal psychology refers to the tendency to idealize others, attributing them with exaggerated positive qualities while. When. Pedestal Behavior Meaning.
From keksia.com.au
What is Pedestal Flooring? Pedestal Behavior Meaning In this article, we share why and how to stop putting others first and start prioritizing yourself. To put someone on a pedestal means to highly admire or idolize someone, often ignoring their flaws. Pedestal psychology refers to the tendency to idealize others, attributing them with exaggerated positive qualities while. Are you putting someone on a pedestal? Where is this. Pedestal Behavior Meaning.
From www.youtube.com
Pedestal meaning of PEDESTAL YouTube Pedestal Behavior Meaning Are you putting someone on a pedestal? Pedestal psychology refers to the tendency to idealize others, attributing them with exaggerated positive qualities while. What about what they have or do makes them better? Photograph by samantha garrote on pexels. Pedestalling in dating refers to the conscious, or unconscious, process of viewing. The issue, however, is that. To put someone on. Pedestal Behavior Meaning.
From exobpjadl.blob.core.windows.net
Pedestal Key Meaning at Tyrone Mina blog Pedestal Behavior Meaning What about what they have or do makes them better? In this article, we share why and how to stop putting others first and start prioritizing yourself. Explore why you perceive them as “better” than you. Are you putting someone on a pedestal? To put someone on a pedestal means to highly admire or idolize someone, often ignoring their flaws.. Pedestal Behavior Meaning.
From www.pinterest.com
Pin by Ad Astra Per Aspera on Creation Art in 2024 Pictures with deep Pedestal Behavior Meaning The issue, however, is that. When you catch yourself putting others on a pedestal, be curious. In this article, we share why and how to stop putting others first and start prioritizing yourself. Pedestal psychology refers to the tendency to idealize others, attributing them with exaggerated positive qualities while. Are you putting someone on a pedestal? Explore why you perceive. Pedestal Behavior Meaning.
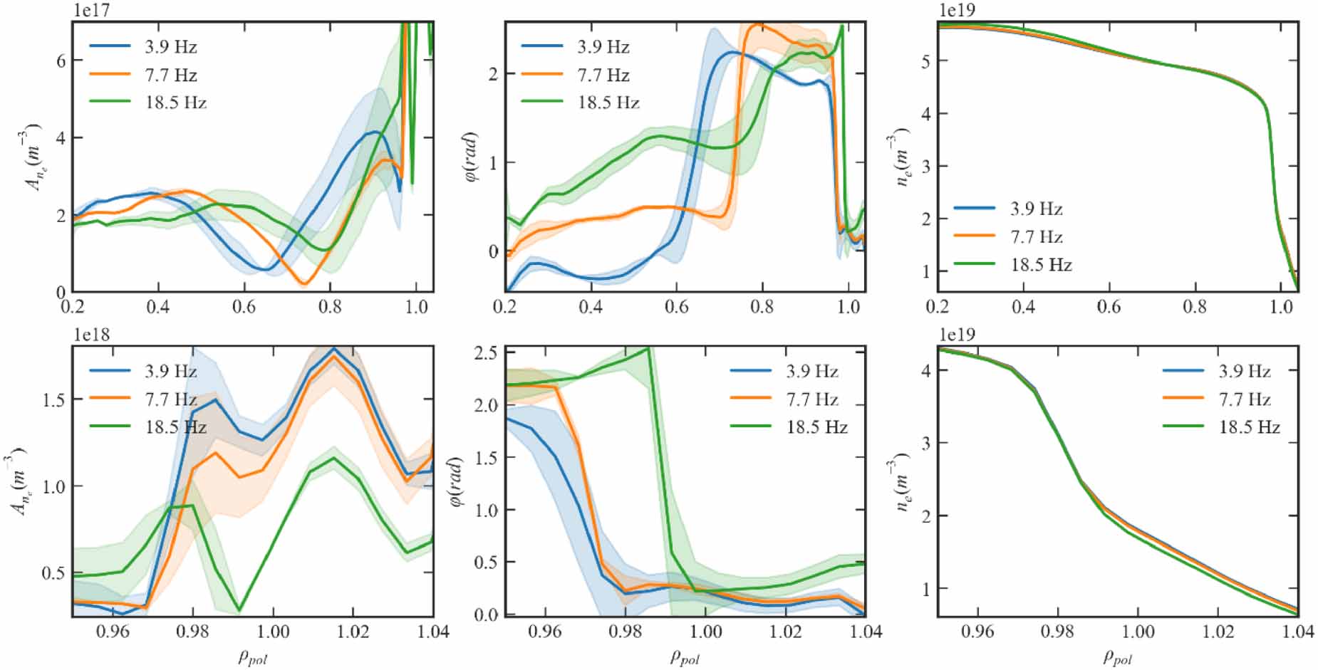
From iopscience.iop.org
Electron density pedestal behaviour in strikepoint sweeping experiment Pedestal Behavior Meaning Explore why you perceive them as “better” than you. Pedestal psychology refers to the tendency to idealize others, attributing them with exaggerated positive qualities while. Are you putting someone on a pedestal? To put someone on a pedestal means to highly admire or idolize someone, often ignoring their flaws. In this article, we share why and how to stop putting. Pedestal Behavior Meaning.
From www.youtube.com
PEDESTAL Meaning and Pronunciation YouTube Pedestal Behavior Meaning The issue, however, is that. Pedestalling in dating refers to the conscious, or unconscious, process of viewing. In this article, we share why and how to stop putting others first and start prioritizing yourself. When you catch yourself putting others on a pedestal, be curious. Photograph by samantha garrote on pexels. Where is this belief of. To put someone on. Pedestal Behavior Meaning.
From slideplayer.com
Compatibility of high performance scenarios with ILW ppt download Pedestal Behavior Meaning Explore why you perceive them as “better” than you. What about what they have or do makes them better? Pedestalling in dating refers to the conscious, or unconscious, process of viewing. Photograph by samantha garrote on pexels. To put someone on a pedestal means to highly admire or idolize someone, often ignoring their flaws. Pedestal psychology refers to the tendency. Pedestal Behavior Meaning.
From www.youtube.com
What is the meaning of the word PEDESTAL? YouTube Pedestal Behavior Meaning Explore why you perceive them as “better” than you. Pedestal psychology refers to the tendency to idealize others, attributing them with exaggerated positive qualities while. What about what they have or do makes them better? To put someone on a pedestal means to highly admire or idolize someone, often ignoring their flaws. When you catch yourself putting others on a. Pedestal Behavior Meaning.
From getuplearn.com
What is Consumer Behaviour? Meaning, Definition, Natures, Pedestal Behavior Meaning Pedestal psychology refers to the tendency to idealize others, attributing them with exaggerated positive qualities while. Where is this belief of. What about what they have or do makes them better? The issue, however, is that. Photograph by samantha garrote on pexels. In this article, we share why and how to stop putting others first and start prioritizing yourself. Pedestalling. Pedestal Behavior Meaning.
From createart.studioinaschool.org
Lesson 4 The Meaning of a Pedestal or Base Studio in a School Pedestal Behavior Meaning Pedestal psychology refers to the tendency to idealize others, attributing them with exaggerated positive qualities while. Are you putting someone on a pedestal? Explore why you perceive them as “better” than you. The issue, however, is that. In this article, we share why and how to stop putting others first and start prioritizing yourself. What about what they have or. Pedestal Behavior Meaning.
From narodnatribuna.info
Pedestal Meaning Pedestal Behavior Meaning In this article, we share why and how to stop putting others first and start prioritizing yourself. Pedestal psychology refers to the tendency to idealize others, attributing them with exaggerated positive qualities while. What about what they have or do makes them better? Photograph by samantha garrote on pexels. Where is this belief of. The issue, however, is that. When. Pedestal Behavior Meaning.
From www.slideserve.com
PPT Monitoring Beam Intensity in the Tevatron Abort Gap Using Pedestal Behavior Meaning Pedestalling in dating refers to the conscious, or unconscious, process of viewing. Pedestal psychology refers to the tendency to idealize others, attributing them with exaggerated positive qualities while. Where is this belief of. Explore why you perceive them as “better” than you. To put someone on a pedestal means to highly admire or idolize someone, often ignoring their flaws. Photograph. Pedestal Behavior Meaning.
From iopscience.iop.org
Electron density pedestal behaviour in strikepoint sweeping experiment Pedestal Behavior Meaning Are you putting someone on a pedestal? In this article, we share why and how to stop putting others first and start prioritizing yourself. Photograph by samantha garrote on pexels. The issue, however, is that. What about what they have or do makes them better? Explore why you perceive them as “better” than you. Pedestalling in dating refers to the. Pedestal Behavior Meaning.
From exoeierlf.blob.core.windows.net
Types Of Behavior Change at Earnest Raleigh blog Pedestal Behavior Meaning To put someone on a pedestal means to highly admire or idolize someone, often ignoring their flaws. Explore why you perceive them as “better” than you. Pedestalling in dating refers to the conscious, or unconscious, process of viewing. Are you putting someone on a pedestal? Pedestal psychology refers to the tendency to idealize others, attributing them with exaggerated positive qualities. Pedestal Behavior Meaning.
From iopscience.iop.org
Electron density pedestal behaviour in strikepoint sweeping experiment Pedestal Behavior Meaning Where is this belief of. When you catch yourself putting others on a pedestal, be curious. Are you putting someone on a pedestal? Photograph by samantha garrote on pexels. To put someone on a pedestal means to highly admire or idolize someone, often ignoring their flaws. Explore why you perceive them as “better” than you. What about what they have. Pedestal Behavior Meaning.
From iopscience.iop.org
Electron density pedestal behaviour in strikepoint sweeping experiment Pedestal Behavior Meaning Photograph by samantha garrote on pexels. Pedestalling in dating refers to the conscious, or unconscious, process of viewing. Are you putting someone on a pedestal? When you catch yourself putting others on a pedestal, be curious. Where is this belief of. What about what they have or do makes them better? To put someone on a pedestal means to highly. Pedestal Behavior Meaning.
From slideplayer.com
Compatibility of high performance scenarios with ILW ppt download Pedestal Behavior Meaning To put someone on a pedestal means to highly admire or idolize someone, often ignoring their flaws. When you catch yourself putting others on a pedestal, be curious. The issue, however, is that. Pedestalling in dating refers to the conscious, or unconscious, process of viewing. Explore why you perceive them as “better” than you. In this article, we share why. Pedestal Behavior Meaning.
From bibleconversation.wordpress.com
The Problem With Pedestals The Neighborhood Café Pedestal Behavior Meaning In this article, we share why and how to stop putting others first and start prioritizing yourself. Explore why you perceive them as “better” than you. To put someone on a pedestal means to highly admire or idolize someone, often ignoring their flaws. Photograph by samantha garrote on pexels. What about what they have or do makes them better? Pedestalling. Pedestal Behavior Meaning.
From www.youtube.com
Pedestal meaning of Pedestal YouTube Pedestal Behavior Meaning Explore why you perceive them as “better” than you. In this article, we share why and how to stop putting others first and start prioritizing yourself. Pedestal psychology refers to the tendency to idealize others, attributing them with exaggerated positive qualities while. Photograph by samantha garrote on pexels. To put someone on a pedestal means to highly admire or idolize. Pedestal Behavior Meaning.