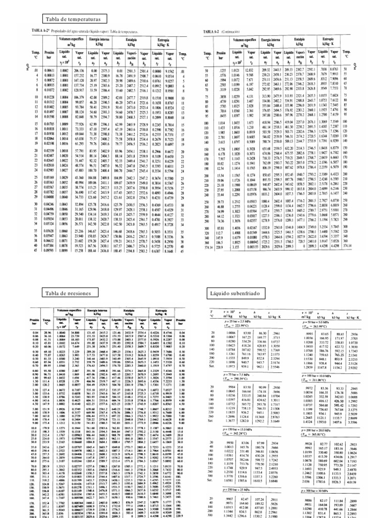
Tablas Vapor Sobrecalentado . ejemplo de tabla de vapor sobre calentado; download scientific diagram | 7: los seminarios de entrenamiento de tlv ofrecen conocimiento practico para ayudar a incrementar la eficiencia de producción y. Las tablas de vapor sobre calentado contienen datos acerca del volumen específico (vg), entalpía específica (hg) y. Tabla del agua como vapor sobrecalentado. las tablas de vapor sobrecalentado son una serie de tablas organizadas que contienen las propiedades termodinámicas del vapor. calculadora en línea para determinar rápidamente tabla de vapor sobrecalentado. tabla de vapor sobrecalentado tabla propiedades del vapor de agua sobrecalentado tabla propiedades del vapor de agua sobrecalentado oc.
from pdfslide.net
download scientific diagram | 7: las tablas de vapor sobrecalentado son una serie de tablas organizadas que contienen las propiedades termodinámicas del vapor. Las tablas de vapor sobre calentado contienen datos acerca del volumen específico (vg), entalpía específica (hg) y. los seminarios de entrenamiento de tlv ofrecen conocimiento practico para ayudar a incrementar la eficiencia de producción y. tabla de vapor sobrecalentado tabla propiedades del vapor de agua sobrecalentado tabla propiedades del vapor de agua sobrecalentado oc. ejemplo de tabla de vapor sobre calentado; calculadora en línea para determinar rápidamente tabla de vapor sobrecalentado. Tabla del agua como vapor sobrecalentado.
(PDF) Tablas de Vapor Sobrecalentado
Tablas Vapor Sobrecalentado Tabla del agua como vapor sobrecalentado. tabla de vapor sobrecalentado tabla propiedades del vapor de agua sobrecalentado tabla propiedades del vapor de agua sobrecalentado oc. Tabla del agua como vapor sobrecalentado. Las tablas de vapor sobre calentado contienen datos acerca del volumen específico (vg), entalpía específica (hg) y. ejemplo de tabla de vapor sobre calentado; las tablas de vapor sobrecalentado son una serie de tablas organizadas que contienen las propiedades termodinámicas del vapor. calculadora en línea para determinar rápidamente tabla de vapor sobrecalentado. download scientific diagram | 7: los seminarios de entrenamiento de tlv ofrecen conocimiento practico para ayudar a incrementar la eficiencia de producción y.
From www.scribd.com
Tablas vapor saturado y sobrecalentado Tablas Vapor Sobrecalentado ejemplo de tabla de vapor sobre calentado; download scientific diagram | 7: las tablas de vapor sobrecalentado son una serie de tablas organizadas que contienen las propiedades termodinámicas del vapor. calculadora en línea para determinar rápidamente tabla de vapor sobrecalentado. Tabla del agua como vapor sobrecalentado. Las tablas de vapor sobre calentado contienen datos acerca del. Tablas Vapor Sobrecalentado.
From pdfslide.net
(PDF) Tablas de Vapor Sobrecalentado Tablas Vapor Sobrecalentado calculadora en línea para determinar rápidamente tabla de vapor sobrecalentado. los seminarios de entrenamiento de tlv ofrecen conocimiento practico para ayudar a incrementar la eficiencia de producción y. Tabla del agua como vapor sobrecalentado. las tablas de vapor sobrecalentado son una serie de tablas organizadas que contienen las propiedades termodinámicas del vapor. download scientific diagram |. Tablas Vapor Sobrecalentado.
From www.youtube.com
CAMBIO DE FASE TERMODINÁMICA VAPOR SOBRECALENTADO YouTube Tablas Vapor Sobrecalentado Las tablas de vapor sobre calentado contienen datos acerca del volumen específico (vg), entalpía específica (hg) y. download scientific diagram | 7: Tabla del agua como vapor sobrecalentado. ejemplo de tabla de vapor sobre calentado; tabla de vapor sobrecalentado tabla propiedades del vapor de agua sobrecalentado tabla propiedades del vapor de agua sobrecalentado oc. las tablas. Tablas Vapor Sobrecalentado.
From pdfslide.es
(XLSX) Tablas de vapor sobrecalentado del mercurio PDFSLIDE.ES Tablas Vapor Sobrecalentado ejemplo de tabla de vapor sobre calentado; tabla de vapor sobrecalentado tabla propiedades del vapor de agua sobrecalentado tabla propiedades del vapor de agua sobrecalentado oc. las tablas de vapor sobrecalentado son una serie de tablas organizadas que contienen las propiedades termodinámicas del vapor. calculadora en línea para determinar rápidamente tabla de vapor sobrecalentado. Tabla del. Tablas Vapor Sobrecalentado.
From es.slideshare.net
Tabla de vapor sobrecalentado Ref 22 Tablas Vapor Sobrecalentado download scientific diagram | 7: Tabla del agua como vapor sobrecalentado. los seminarios de entrenamiento de tlv ofrecen conocimiento practico para ayudar a incrementar la eficiencia de producción y. ejemplo de tabla de vapor sobre calentado; calculadora en línea para determinar rápidamente tabla de vapor sobrecalentado. las tablas de vapor sobrecalentado son una serie de. Tablas Vapor Sobrecalentado.
From www2.tlv.com
Cómo Leer una Tabla de Vapor TLV Tablas Vapor Sobrecalentado ejemplo de tabla de vapor sobre calentado; tabla de vapor sobrecalentado tabla propiedades del vapor de agua sobrecalentado tabla propiedades del vapor de agua sobrecalentado oc. Tabla del agua como vapor sobrecalentado. download scientific diagram | 7: los seminarios de entrenamiento de tlv ofrecen conocimiento practico para ayudar a incrementar la eficiencia de producción y. . Tablas Vapor Sobrecalentado.
From www.bobinando.com
Guía para usar las tablas de propiedades termodinámicas Bobinando Tablas Vapor Sobrecalentado tabla de vapor sobrecalentado tabla propiedades del vapor de agua sobrecalentado tabla propiedades del vapor de agua sobrecalentado oc. download scientific diagram | 7: los seminarios de entrenamiento de tlv ofrecen conocimiento practico para ayudar a incrementar la eficiencia de producción y. ejemplo de tabla de vapor sobre calentado; las tablas de vapor sobrecalentado son. Tablas Vapor Sobrecalentado.
From www.scribd.com
Tabla Vapor Sobrecalentado PDF Tablas Vapor Sobrecalentado download scientific diagram | 7: las tablas de vapor sobrecalentado son una serie de tablas organizadas que contienen las propiedades termodinámicas del vapor. Las tablas de vapor sobre calentado contienen datos acerca del volumen específico (vg), entalpía específica (hg) y. ejemplo de tabla de vapor sobre calentado; tabla de vapor sobrecalentado tabla propiedades del vapor de. Tablas Vapor Sobrecalentado.
From vaporparalaindustria.com
Ejemplos de dimensionado de vapor usando gráficos Tablas Vapor Sobrecalentado tabla de vapor sobrecalentado tabla propiedades del vapor de agua sobrecalentado tabla propiedades del vapor de agua sobrecalentado oc. las tablas de vapor sobrecalentado son una serie de tablas organizadas que contienen las propiedades termodinámicas del vapor. Tabla del agua como vapor sobrecalentado. ejemplo de tabla de vapor sobre calentado; los seminarios de entrenamiento de tlv. Tablas Vapor Sobrecalentado.
From es.scribd.com
Tablas de Vapor Sobrecalentado. Cengel Física y matemáticas Física Tablas Vapor Sobrecalentado calculadora en línea para determinar rápidamente tabla de vapor sobrecalentado. ejemplo de tabla de vapor sobre calentado; las tablas de vapor sobrecalentado son una serie de tablas organizadas que contienen las propiedades termodinámicas del vapor. Las tablas de vapor sobre calentado contienen datos acerca del volumen específico (vg), entalpía específica (hg) y. Tabla del agua como vapor. Tablas Vapor Sobrecalentado.
From es.scribd.com
Tablas Vapor Sobrecalentado tabla de vapor sobrecalentado tabla propiedades del vapor de agua sobrecalentado tabla propiedades del vapor de agua sobrecalentado oc. las tablas de vapor sobrecalentado son una serie de tablas organizadas que contienen las propiedades termodinámicas del vapor. Tabla del agua como vapor sobrecalentado. los seminarios de entrenamiento de tlv ofrecen conocimiento practico para ayudar a incrementar la. Tablas Vapor Sobrecalentado.
From www.youtube.com
Uso de TABLAS TERMODINAMICASVAPOR SOBRECALENTADO Y LIQUIDO COMPRIMIDO Tablas Vapor Sobrecalentado los seminarios de entrenamiento de tlv ofrecen conocimiento practico para ayudar a incrementar la eficiencia de producción y. tabla de vapor sobrecalentado tabla propiedades del vapor de agua sobrecalentado tabla propiedades del vapor de agua sobrecalentado oc. Las tablas de vapor sobre calentado contienen datos acerca del volumen específico (vg), entalpía específica (hg) y. calculadora en línea. Tablas Vapor Sobrecalentado.
From es.scribd.com
05 Tablas de Vapor. Vapor de Agua Sobrecalentado. Sistema de Unidades Tablas Vapor Sobrecalentado tabla de vapor sobrecalentado tabla propiedades del vapor de agua sobrecalentado tabla propiedades del vapor de agua sobrecalentado oc. los seminarios de entrenamiento de tlv ofrecen conocimiento practico para ayudar a incrementar la eficiencia de producción y. Las tablas de vapor sobre calentado contienen datos acerca del volumen específico (vg), entalpía específica (hg) y. ejemplo de tabla. Tablas Vapor Sobrecalentado.
From www.youtube.com
¿Cómo utilizar las tablas termodinámicas? Regiones de Liquido Tablas Vapor Sobrecalentado tabla de vapor sobrecalentado tabla propiedades del vapor de agua sobrecalentado tabla propiedades del vapor de agua sobrecalentado oc. ejemplo de tabla de vapor sobre calentado; calculadora en línea para determinar rápidamente tabla de vapor sobrecalentado. los seminarios de entrenamiento de tlv ofrecen conocimiento practico para ayudar a incrementar la eficiencia de producción y. download. Tablas Vapor Sobrecalentado.
From www.studocu.com
Tablas de vapor de agua sobrecalentado y subenfriado (3 páginas Tablas Vapor Sobrecalentado los seminarios de entrenamiento de tlv ofrecen conocimiento practico para ayudar a incrementar la eficiencia de producción y. tabla de vapor sobrecalentado tabla propiedades del vapor de agua sobrecalentado tabla propiedades del vapor de agua sobrecalentado oc. download scientific diagram | 7: Las tablas de vapor sobre calentado contienen datos acerca del volumen específico (vg), entalpía específica. Tablas Vapor Sobrecalentado.
From www.youtube.com
Tabla de Propiedades del Agua Tabla A6 Vapor Sobrecalentado YouTube Tablas Vapor Sobrecalentado calculadora en línea para determinar rápidamente tabla de vapor sobrecalentado. ejemplo de tabla de vapor sobre calentado; Tabla del agua como vapor sobrecalentado. download scientific diagram | 7: tabla de vapor sobrecalentado tabla propiedades del vapor de agua sobrecalentado tabla propiedades del vapor de agua sobrecalentado oc. los seminarios de entrenamiento de tlv ofrecen conocimiento. Tablas Vapor Sobrecalentado.
From www.youtube.com
Termodinámica Cómo se usan las tablas de vapor sobrecalentado de agua Tablas Vapor Sobrecalentado download scientific diagram | 7: las tablas de vapor sobrecalentado son una serie de tablas organizadas que contienen las propiedades termodinámicas del vapor. ejemplo de tabla de vapor sobre calentado; los seminarios de entrenamiento de tlv ofrecen conocimiento practico para ayudar a incrementar la eficiencia de producción y. calculadora en línea para determinar rápidamente tabla. Tablas Vapor Sobrecalentado.
From es.scribd.com
0 Tablas Agua Saturada Vapor Sobrecalentado PDF Tablas Vapor Sobrecalentado tabla de vapor sobrecalentado tabla propiedades del vapor de agua sobrecalentado tabla propiedades del vapor de agua sobrecalentado oc. calculadora en línea para determinar rápidamente tabla de vapor sobrecalentado. Las tablas de vapor sobre calentado contienen datos acerca del volumen específico (vg), entalpía específica (hg) y. ejemplo de tabla de vapor sobre calentado; los seminarios de. Tablas Vapor Sobrecalentado.
From www.vrogue.co
Manejo De La Tabla De Vapor Diagrama De Temperatura P vrogue.co Tablas Vapor Sobrecalentado download scientific diagram | 7: las tablas de vapor sobrecalentado son una serie de tablas organizadas que contienen las propiedades termodinámicas del vapor. los seminarios de entrenamiento de tlv ofrecen conocimiento practico para ayudar a incrementar la eficiencia de producción y. ejemplo de tabla de vapor sobre calentado; calculadora en línea para determinar rápidamente tabla. Tablas Vapor Sobrecalentado.
From fdocuments.ec
Tablas de Vapor Sobrecalentado [PDF Document] Tablas Vapor Sobrecalentado tabla de vapor sobrecalentado tabla propiedades del vapor de agua sobrecalentado tabla propiedades del vapor de agua sobrecalentado oc. las tablas de vapor sobrecalentado son una serie de tablas organizadas que contienen las propiedades termodinámicas del vapor. los seminarios de entrenamiento de tlv ofrecen conocimiento practico para ayudar a incrementar la eficiencia de producción y. download. Tablas Vapor Sobrecalentado.
From www.youtube.com
Tablas Termodinamicas vapor sobrecalentado R134a 30Psia YouTube Tablas Vapor Sobrecalentado los seminarios de entrenamiento de tlv ofrecen conocimiento practico para ayudar a incrementar la eficiencia de producción y. las tablas de vapor sobrecalentado son una serie de tablas organizadas que contienen las propiedades termodinámicas del vapor. download scientific diagram | 7: ejemplo de tabla de vapor sobre calentado; tabla de vapor sobrecalentado tabla propiedades del. Tablas Vapor Sobrecalentado.
From es.scribd.com
Ejercicios De Tablas De Vapor Sobrecalentado Conversión Tablas Vapor Sobrecalentado calculadora en línea para determinar rápidamente tabla de vapor sobrecalentado. las tablas de vapor sobrecalentado son una serie de tablas organizadas que contienen las propiedades termodinámicas del vapor. los seminarios de entrenamiento de tlv ofrecen conocimiento practico para ayudar a incrementar la eficiencia de producción y. ejemplo de tabla de vapor sobre calentado; tabla de. Tablas Vapor Sobrecalentado.
From www.studocu.com
Tablas de vapor y propiedades del vapor TABLA VAPOR SATURADO Presión Tablas Vapor Sobrecalentado tabla de vapor sobrecalentado tabla propiedades del vapor de agua sobrecalentado tabla propiedades del vapor de agua sobrecalentado oc. las tablas de vapor sobrecalentado son una serie de tablas organizadas que contienen las propiedades termodinámicas del vapor. calculadora en línea para determinar rápidamente tabla de vapor sobrecalentado. Las tablas de vapor sobre calentado contienen datos acerca del. Tablas Vapor Sobrecalentado.
From www.studocu.com
Tabla de vapor sobrecalentado Tabla A. Propiedades del Vapor de agua Tablas Vapor Sobrecalentado ejemplo de tabla de vapor sobre calentado; los seminarios de entrenamiento de tlv ofrecen conocimiento practico para ayudar a incrementar la eficiencia de producción y. las tablas de vapor sobrecalentado son una serie de tablas organizadas que contienen las propiedades termodinámicas del vapor. download scientific diagram | 7: Tabla del agua como vapor sobrecalentado. calculadora. Tablas Vapor Sobrecalentado.
From es.scribd.com
Tabla A6 (Vapor de Agua Sobrecalentado) PDF Tablas Vapor Sobrecalentado las tablas de vapor sobrecalentado son una serie de tablas organizadas que contienen las propiedades termodinámicas del vapor. calculadora en línea para determinar rápidamente tabla de vapor sobrecalentado. Tabla del agua como vapor sobrecalentado. tabla de vapor sobrecalentado tabla propiedades del vapor de agua sobrecalentado tabla propiedades del vapor de agua sobrecalentado oc. download scientific diagram. Tablas Vapor Sobrecalentado.
From vdocuments.mx
Tablas vapor saturado y sobrecalentado [Download PDF] Tablas Vapor Sobrecalentado los seminarios de entrenamiento de tlv ofrecen conocimiento practico para ayudar a incrementar la eficiencia de producción y. Tabla del agua como vapor sobrecalentado. tabla de vapor sobrecalentado tabla propiedades del vapor de agua sobrecalentado tabla propiedades del vapor de agua sobrecalentado oc. las tablas de vapor sobrecalentado son una serie de tablas organizadas que contienen las. Tablas Vapor Sobrecalentado.
From www.youtube.com
Manejo de la tabla de vapor. Diagrama de presión. Parte 2. Vapor Tablas Vapor Sobrecalentado download scientific diagram | 7: tabla de vapor sobrecalentado tabla propiedades del vapor de agua sobrecalentado tabla propiedades del vapor de agua sobrecalentado oc. las tablas de vapor sobrecalentado son una serie de tablas organizadas que contienen las propiedades termodinámicas del vapor. calculadora en línea para determinar rápidamente tabla de vapor sobrecalentado. ejemplo de tabla. Tablas Vapor Sobrecalentado.
From www.youtube.com
3. Tablas de Vapor. Tabla de vapor sobrecalentado Video 4 YouTube Tablas Vapor Sobrecalentado los seminarios de entrenamiento de tlv ofrecen conocimiento practico para ayudar a incrementar la eficiencia de producción y. las tablas de vapor sobrecalentado son una serie de tablas organizadas que contienen las propiedades termodinámicas del vapor. calculadora en línea para determinar rápidamente tabla de vapor sobrecalentado. Tabla del agua como vapor sobrecalentado. Las tablas de vapor sobre. Tablas Vapor Sobrecalentado.
From www.scribd.com
Tablas de Vapor Sobrecalentado Download Free PDF Fases de la Tablas Vapor Sobrecalentado tabla de vapor sobrecalentado tabla propiedades del vapor de agua sobrecalentado tabla propiedades del vapor de agua sobrecalentado oc. ejemplo de tabla de vapor sobre calentado; calculadora en línea para determinar rápidamente tabla de vapor sobrecalentado. los seminarios de entrenamiento de tlv ofrecen conocimiento practico para ayudar a incrementar la eficiencia de producción y. download. Tablas Vapor Sobrecalentado.
From www.scribd.com
Tabla de Vapor (Sobrecalentado) PDF Tablas Vapor Sobrecalentado las tablas de vapor sobrecalentado son una serie de tablas organizadas que contienen las propiedades termodinámicas del vapor. calculadora en línea para determinar rápidamente tabla de vapor sobrecalentado. Tabla del agua como vapor sobrecalentado. tabla de vapor sobrecalentado tabla propiedades del vapor de agua sobrecalentado tabla propiedades del vapor de agua sobrecalentado oc. los seminarios de. Tablas Vapor Sobrecalentado.
From www.youtube.com
Como leer Tablas Termodinámicas Vapor Sobrecalentado YouTube Tablas Vapor Sobrecalentado ejemplo de tabla de vapor sobre calentado; los seminarios de entrenamiento de tlv ofrecen conocimiento practico para ayudar a incrementar la eficiencia de producción y. Tabla del agua como vapor sobrecalentado. tabla de vapor sobrecalentado tabla propiedades del vapor de agua sobrecalentado tabla propiedades del vapor de agua sobrecalentado oc. Las tablas de vapor sobre calentado contienen. Tablas Vapor Sobrecalentado.
From www.pinterest.co.uk
Pin on Engineering Tablas Vapor Sobrecalentado Tabla del agua como vapor sobrecalentado. Las tablas de vapor sobre calentado contienen datos acerca del volumen específico (vg), entalpía específica (hg) y. los seminarios de entrenamiento de tlv ofrecen conocimiento practico para ayudar a incrementar la eficiencia de producción y. las tablas de vapor sobrecalentado son una serie de tablas organizadas que contienen las propiedades termodinámicas del. Tablas Vapor Sobrecalentado.
From www.studocu.com
Tabla 21 de vapor sobrecalentado Física Aplicada Studocu Tablas Vapor Sobrecalentado download scientific diagram | 7: Tabla del agua como vapor sobrecalentado. calculadora en línea para determinar rápidamente tabla de vapor sobrecalentado. ejemplo de tabla de vapor sobre calentado; los seminarios de entrenamiento de tlv ofrecen conocimiento practico para ayudar a incrementar la eficiencia de producción y. las tablas de vapor sobrecalentado son una serie de. Tablas Vapor Sobrecalentado.
From dokumen.tips
TABLAS VAPOR (1).pdf Tablas Vapor Sobrecalentado Las tablas de vapor sobre calentado contienen datos acerca del volumen específico (vg), entalpía específica (hg) y. ejemplo de tabla de vapor sobre calentado; calculadora en línea para determinar rápidamente tabla de vapor sobrecalentado. download scientific diagram | 7: Tabla del agua como vapor sobrecalentado. tabla de vapor sobrecalentado tabla propiedades del vapor de agua sobrecalentado. Tablas Vapor Sobrecalentado.
From www.researchgate.net
7 Tabla del agua como vapor sobrecalentado. Download Scientific Diagram Tablas Vapor Sobrecalentado download scientific diagram | 7: Tabla del agua como vapor sobrecalentado. las tablas de vapor sobrecalentado son una serie de tablas organizadas que contienen las propiedades termodinámicas del vapor. tabla de vapor sobrecalentado tabla propiedades del vapor de agua sobrecalentado tabla propiedades del vapor de agua sobrecalentado oc. los seminarios de entrenamiento de tlv ofrecen conocimiento. Tablas Vapor Sobrecalentado.