Track And Field Lesson Plans . Introduction to track and field & Track practice plans includes more than 127 simple, fun and effective track and field drills covering every fundamental skill. Find track and field lesson plans and teaching resources. This is a lesson for grouping students on the first day of a track & field unit. Below are a few track & field activities, an example skill card and teaching considerations from our ‘full track & field pack’ that you can use in your lessons. From track and field unit worksheets to track and field activities videos, quickly find. This lesson plan targets 5th grade physical education standards through track and field activities. Shot put, discus, javelin, long jump, triple jump,. It's everything you need to. This 27 page track and field unit includes 9 detailed lesson plans: Students will learn sprinting, hurdling, long jumping, and shot put techniques.
from www.pinterest.com
Track practice plans includes more than 127 simple, fun and effective track and field drills covering every fundamental skill. This lesson plan targets 5th grade physical education standards through track and field activities. This 27 page track and field unit includes 9 detailed lesson plans: Students will learn sprinting, hurdling, long jumping, and shot put techniques. Find track and field lesson plans and teaching resources. It's everything you need to. Shot put, discus, javelin, long jump, triple jump,. From track and field unit worksheets to track and field activities videos, quickly find. Introduction to track and field & This is a lesson for grouping students on the first day of a track & field unit.
Pin on Physical Education
Track And Field Lesson Plans Introduction to track and field & This 27 page track and field unit includes 9 detailed lesson plans: Introduction to track and field & Shot put, discus, javelin, long jump, triple jump,. From track and field unit worksheets to track and field activities videos, quickly find. It's everything you need to. Below are a few track & field activities, an example skill card and teaching considerations from our ‘full track & field pack’ that you can use in your lessons. This is a lesson for grouping students on the first day of a track & field unit. Students will learn sprinting, hurdling, long jumping, and shot put techniques. Track practice plans includes more than 127 simple, fun and effective track and field drills covering every fundamental skill. This lesson plan targets 5th grade physical education standards through track and field activities. Find track and field lesson plans and teaching resources.
From www.pinterest.com
Track and Field Activities Page 6 Physical education, Lesson plans, Physics Track And Field Lesson Plans Students will learn sprinting, hurdling, long jumping, and shot put techniques. It's everything you need to. Introduction to track and field & Shot put, discus, javelin, long jump, triple jump,. Below are a few track & field activities, an example skill card and teaching considerations from our ‘full track & field pack’ that you can use in your lessons. This. Track And Field Lesson Plans.
From americancoachingacademy.com
NoPrep Track & Field Lesson Plans American Coaching Academy Track And Field Lesson Plans This 27 page track and field unit includes 9 detailed lesson plans: Students will learn sprinting, hurdling, long jumping, and shot put techniques. Track practice plans includes more than 127 simple, fun and effective track and field drills covering every fundamental skill. Find track and field lesson plans and teaching resources. This is a lesson for grouping students on the. Track And Field Lesson Plans.
From www.pinterest.com
Track and Field Activities Page 12 Lesson plans, Physical education, Education Track And Field Lesson Plans It's everything you need to. This 27 page track and field unit includes 9 detailed lesson plans: Below are a few track & field activities, an example skill card and teaching considerations from our ‘full track & field pack’ that you can use in your lessons. Shot put, discus, javelin, long jump, triple jump,. This lesson plan targets 5th grade. Track And Field Lesson Plans.
From www.scribd.com
Track and Field Lesson 1 4 5 Grade TH TH PDF Running Physical Education Track And Field Lesson Plans It's everything you need to. Shot put, discus, javelin, long jump, triple jump,. Introduction to track and field & Find track and field lesson plans and teaching resources. Track practice plans includes more than 127 simple, fun and effective track and field drills covering every fundamental skill. Students will learn sprinting, hurdling, long jumping, and shot put techniques. This is. Track And Field Lesson Plans.
From www.pinterest.com
Pe Activities, Team Building Activities, Track And Field Games, Track Field, Reciprocal Teaching Track And Field Lesson Plans Find track and field lesson plans and teaching resources. Shot put, discus, javelin, long jump, triple jump,. This 27 page track and field unit includes 9 detailed lesson plans: Below are a few track & field activities, an example skill card and teaching considerations from our ‘full track & field pack’ that you can use in your lessons. From track. Track And Field Lesson Plans.
From www.scribd.com
Track and Field Lesson Plan PDF Physical Education Track And Field Track And Field Lesson Plans This is a lesson for grouping students on the first day of a track & field unit. Below are a few track & field activities, an example skill card and teaching considerations from our ‘full track & field pack’ that you can use in your lessons. This lesson plan targets 5th grade physical education standards through track and field activities.. Track And Field Lesson Plans.
From www.pinterest.com
Physical Education Activities, Health And Physical Education, Physical Fitness, Kids Fitness Track And Field Lesson Plans This is a lesson for grouping students on the first day of a track & field unit. Track practice plans includes more than 127 simple, fun and effective track and field drills covering every fundamental skill. Students will learn sprinting, hurdling, long jumping, and shot put techniques. From track and field unit worksheets to track and field activities videos, quickly. Track And Field Lesson Plans.
From www.scribd.com
Sport PDF Track And Field Lesson Plan Track And Field Lesson Plans Introduction to track and field & It's everything you need to. Find track and field lesson plans and teaching resources. Below are a few track & field activities, an example skill card and teaching considerations from our ‘full track & field pack’ that you can use in your lessons. Shot put, discus, javelin, long jump, triple jump,. Students will learn. Track And Field Lesson Plans.
From www.scribd.com
Track Field Lesson PlanRelays PDF Track And Field Running Track And Field Lesson Plans Shot put, discus, javelin, long jump, triple jump,. It's everything you need to. Introduction to track and field & This lesson plan targets 5th grade physical education standards through track and field activities. Track practice plans includes more than 127 simple, fun and effective track and field drills covering every fundamental skill. Below are a few track & field activities,. Track And Field Lesson Plans.
From lessonplanslearning.com
Track And Field Lesson Plans For Elementary Lesson Plans Learning Track And Field Lesson Plans This is a lesson for grouping students on the first day of a track & field unit. This lesson plan targets 5th grade physical education standards through track and field activities. Find track and field lesson plans and teaching resources. Introduction to track and field & Students will learn sprinting, hurdling, long jumping, and shot put techniques. Track practice plans. Track And Field Lesson Plans.
From www.pinterest.com
Track and Field Activities Page 2 Physical education, Lesson plans, Physics Track And Field Lesson Plans It's everything you need to. Shot put, discus, javelin, long jump, triple jump,. Introduction to track and field & From track and field unit worksheets to track and field activities videos, quickly find. Find track and field lesson plans and teaching resources. This 27 page track and field unit includes 9 detailed lesson plans: Students will learn sprinting, hurdling, long. Track And Field Lesson Plans.
From lessonplanslearning.com
Track And Field Lesson Plans For Elementary Lesson Plans Learning Track And Field Lesson Plans Below are a few track & field activities, an example skill card and teaching considerations from our ‘full track & field pack’ that you can use in your lessons. This is a lesson for grouping students on the first day of a track & field unit. This lesson plan targets 5th grade physical education standards through track and field activities.. Track And Field Lesson Plans.
From www.scribd.com
Relay Lesson Plan Track And Field Athletic Sports Track And Field Lesson Plans It's everything you need to. Shot put, discus, javelin, long jump, triple jump,. This is a lesson for grouping students on the first day of a track & field unit. Introduction to track and field & Find track and field lesson plans and teaching resources. Track practice plans includes more than 127 simple, fun and effective track and field drills. Track And Field Lesson Plans.
From www.scribd.com
RED 4335 Field Experience Information Lesson Plan Template and Rubric (3) Lesson Plan Rubric Track And Field Lesson Plans Students will learn sprinting, hurdling, long jumping, and shot put techniques. Shot put, discus, javelin, long jump, triple jump,. Find track and field lesson plans and teaching resources. This lesson plan targets 5th grade physical education standards through track and field activities. Track practice plans includes more than 127 simple, fun and effective track and field drills covering every fundamental. Track And Field Lesson Plans.
From www.lessonplanet.com
Track and Field Olympics Lesson Plan for 6th 8th Grade Lesson Track And Field Lesson Plans This is a lesson for grouping students on the first day of a track & field unit. Shot put, discus, javelin, long jump, triple jump,. From track and field unit worksheets to track and field activities videos, quickly find. Below are a few track & field activities, an example skill card and teaching considerations from our ‘full track & field. Track And Field Lesson Plans.
From www.pinterest.com
IAAF Track and Field Facilities Manual 2008 Edition Marking Plan 200m Indoor Track Running Track And Field Lesson Plans Shot put, discus, javelin, long jump, triple jump,. It's everything you need to. Below are a few track & field activities, an example skill card and teaching considerations from our ‘full track & field pack’ that you can use in your lessons. This is a lesson for grouping students on the first day of a track & field unit. Find. Track And Field Lesson Plans.
From www.eouaiib.com
High School Track And Field Sprint Workouts EOUA Blog Track And Field Lesson Plans This 27 page track and field unit includes 9 detailed lesson plans: It's everything you need to. This lesson plan targets 5th grade physical education standards through track and field activities. Shot put, discus, javelin, long jump, triple jump,. Find track and field lesson plans and teaching resources. From track and field unit worksheets to track and field activities videos,. Track And Field Lesson Plans.
From www.scribd.com
Lesson Plans 9703 Track And Field Individual Sports Track And Field Lesson Plans This 27 page track and field unit includes 9 detailed lesson plans: Shot put, discus, javelin, long jump, triple jump,. It's everything you need to. Below are a few track & field activities, an example skill card and teaching considerations from our ‘full track & field pack’ that you can use in your lessons. This is a lesson for grouping. Track And Field Lesson Plans.
From www.milebymileblog.com
Return to Running Training Plan • Mile By Mile Track And Field Lesson Plans This is a lesson for grouping students on the first day of a track & field unit. Track practice plans includes more than 127 simple, fun and effective track and field drills covering every fundamental skill. It's everything you need to. Below are a few track & field activities, an example skill card and teaching considerations from our ‘full track. Track And Field Lesson Plans.
From www.pinterest.com
Pin on Physical Education Track And Field Lesson Plans This lesson plan targets 5th grade physical education standards through track and field activities. This is a lesson for grouping students on the first day of a track & field unit. From track and field unit worksheets to track and field activities videos, quickly find. Shot put, discus, javelin, long jump, triple jump,. Track practice plans includes more than 127. Track And Field Lesson Plans.
From www.scribd.com
Track Field Lesson Plan PDF Track And Field Lesson Plan Track And Field Lesson Plans Students will learn sprinting, hurdling, long jumping, and shot put techniques. From track and field unit worksheets to track and field activities videos, quickly find. Find track and field lesson plans and teaching resources. Track practice plans includes more than 127 simple, fun and effective track and field drills covering every fundamental skill. Introduction to track and field & Shot. Track And Field Lesson Plans.
From www.pinterest.com
NoPrep Track & Field Lesson Plans Lesson plans, Lesson, Track and field Track And Field Lesson Plans Students will learn sprinting, hurdling, long jumping, and shot put techniques. This is a lesson for grouping students on the first day of a track & field unit. Introduction to track and field & Shot put, discus, javelin, long jump, triple jump,. It's everything you need to. Below are a few track & field activities, an example skill card and. Track And Field Lesson Plans.
From lessonplanslearning.com
Athletics Technique Resource Cards From norwichhighpe Lesson Plans Learning Track And Field Lesson Plans Shot put, discus, javelin, long jump, triple jump,. Introduction to track and field & Find track and field lesson plans and teaching resources. Track practice plans includes more than 127 simple, fun and effective track and field drills covering every fundamental skill. Below are a few track & field activities, an example skill card and teaching considerations from our ‘full. Track And Field Lesson Plans.
From www.pinterest.com
Triple Jump resource Triple jump, Track workout, Track and field Track And Field Lesson Plans It's everything you need to. This lesson plan targets 5th grade physical education standards through track and field activities. This is a lesson for grouping students on the first day of a track & field unit. Students will learn sprinting, hurdling, long jumping, and shot put techniques. Introduction to track and field & Find track and field lesson plans and. Track And Field Lesson Plans.
From worksheetdbchadic.z19.web.core.windows.net
Track And Field Lesson Plan Track And Field Lesson Plans Find track and field lesson plans and teaching resources. This 27 page track and field unit includes 9 detailed lesson plans: This lesson plan targets 5th grade physical education standards through track and field activities. This is a lesson for grouping students on the first day of a track & field unit. Shot put, discus, javelin, long jump, triple jump,.. Track And Field Lesson Plans.
From www.pinterest.com
Physical Education Lesson Plan Template Beautiful Lesson Plans Phys Ed R… Physical education Track And Field Lesson Plans Track practice plans includes more than 127 simple, fun and effective track and field drills covering every fundamental skill. Shot put, discus, javelin, long jump, triple jump,. This is a lesson for grouping students on the first day of a track & field unit. From track and field unit worksheets to track and field activities videos, quickly find. Introduction to. Track And Field Lesson Plans.
From www.pinterest.com
Track and Field Activities Page 8 Physical education, Lesson plans, Physics Track And Field Lesson Plans Below are a few track & field activities, an example skill card and teaching considerations from our ‘full track & field pack’ that you can use in your lessons. From track and field unit worksheets to track and field activities videos, quickly find. This 27 page track and field unit includes 9 detailed lesson plans: Students will learn sprinting, hurdling,. Track And Field Lesson Plans.
From www.scribd.com
Track and Field Lesson Plan PDF Track And Field Lesson Plans From track and field unit worksheets to track and field activities videos, quickly find. Introduction to track and field & It's everything you need to. Track practice plans includes more than 127 simple, fun and effective track and field drills covering every fundamental skill. Below are a few track & field activities, an example skill card and teaching considerations from. Track And Field Lesson Plans.
From pe-planning.org
Downloads Archive PE Planning Track And Field Lesson Plans Introduction to track and field & This lesson plan targets 5th grade physical education standards through track and field activities. Shot put, discus, javelin, long jump, triple jump,. Track practice plans includes more than 127 simple, fun and effective track and field drills covering every fundamental skill. This 27 page track and field unit includes 9 detailed lesson plans: Students. Track And Field Lesson Plans.
From www.capnpetespowerpe.com
Track and Field Skills Enhancing PE with Track and Field Activities for Elementary Students Track And Field Lesson Plans It's everything you need to. Students will learn sprinting, hurdling, long jumping, and shot put techniques. Shot put, discus, javelin, long jump, triple jump,. Introduction to track and field & Below are a few track & field activities, an example skill card and teaching considerations from our ‘full track & field pack’ that you can use in your lessons. Track. Track And Field Lesson Plans.
From lessonplanslearning.com
Track And Field Lesson Plans For Elementary Lesson Plans Learning Track And Field Lesson Plans This is a lesson for grouping students on the first day of a track & field unit. Below are a few track & field activities, an example skill card and teaching considerations from our ‘full track & field pack’ that you can use in your lessons. Shot put, discus, javelin, long jump, triple jump,. From track and field unit worksheets. Track And Field Lesson Plans.
From study.com
Track & Field Skills & Techniques Lesson Track And Field Lesson Plans This 27 page track and field unit includes 9 detailed lesson plans: From track and field unit worksheets to track and field activities videos, quickly find. Find track and field lesson plans and teaching resources. This lesson plan targets 5th grade physical education standards through track and field activities. Introduction to track and field & Track practice plans includes more. Track And Field Lesson Plans.
From www.pinterest.com
Track and Field Activities Page 10 Physical education, Lesson plans, Physics Track And Field Lesson Plans It's everything you need to. This lesson plan targets 5th grade physical education standards through track and field activities. This is a lesson for grouping students on the first day of a track & field unit. Track practice plans includes more than 127 simple, fun and effective track and field drills covering every fundamental skill. From track and field unit. Track And Field Lesson Plans.
From www.eouaiib.com
High School Track And Field Training Plans EOUA Blog Track And Field Lesson Plans This lesson plan targets 5th grade physical education standards through track and field activities. This is a lesson for grouping students on the first day of a track & field unit. Introduction to track and field & From track and field unit worksheets to track and field activities videos, quickly find. It's everything you need to. Find track and field. Track And Field Lesson Plans.
From www.scribd.com
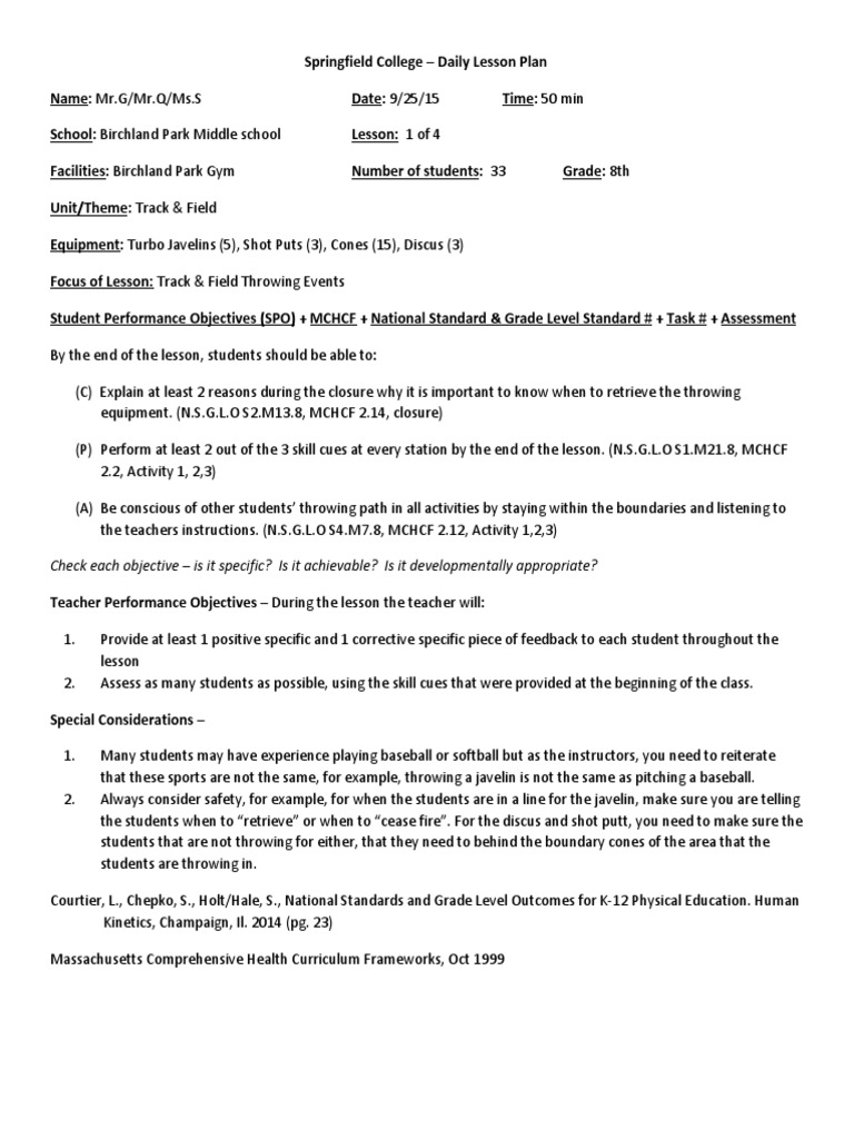
Track and Field Lesson 1 PDF Sports Leisure Track And Field Lesson Plans Find track and field lesson plans and teaching resources. Track practice plans includes more than 127 simple, fun and effective track and field drills covering every fundamental skill. From track and field unit worksheets to track and field activities videos, quickly find. This is a lesson for grouping students on the first day of a track & field unit. Shot. Track And Field Lesson Plans.