Aluminum Hydroxide Reacts With Sulfuric Acid . Aluminum hydroxide reacts with sulfuric acid as follows: 2 al1oh231s2 + 3 h2so41aq2¡al21so4231aq2 + 6 h2o1l2 how. Aluminum hydroxide + sulfuric acid = aluminum sulfate + water. Aluminum hydroxide reacts with sulfuric acid as follows: How many moles of al2. 2al(oh)3(s)+3h2so4(aq) al2(so4)3(aq)+6h2o(l) if 0.357 mol aluminum hydroxide reacts with 0.468 mol of sulfuric acid, which. Al(oh)3 + h2so4 = al2(so4)3 + h2o is a double displacement (metathesis) reaction. Aluminum hydroxide reacts with sulfuric acid as follows: 2al (oh)3 (s)+3h2so4 (aq)→al2 (so4)3 (aq)+6h2o (l)2al (oh)3 (s)+3h2so4 (aq)→al2 (so4)3 (aq)+6h2o (l) part b. Aluminum hydroxide reacts with sulfuric acid as follows: 2al (oh)3 (s)+3h2so4 (aq)→al2 (so4)3 (aq)+6h2o (l) part a which reagent is the limiting. 2 al1oh231s2 + 3 h2so41aq2¡al21so4231aq2 + 6 h2o1l2 which. Aluminum hydroxide reacts with sulfuric acid as follows: Alh3o3 + h2so4 = al2o12s3 + h2o is a double displacement (metathesis) reaction where two moles of solid aluminum hydroxide [alh 3 o 3]. Al + h2so4 = al2 (so4)3 + h2 is a single displacement (substitution) reaction where two moles of solid aluminium [al] and three moles of.
from www.numerade.com
Al(oh)3 + h2so4 = al2(so4)3 + h2o is a double displacement (metathesis) reaction. Aluminum hydroxide reacts with sulfuric acid as follows: Aluminum hydroxide reacts with sulfuric acid as follows: 2 al1oh231s2 + 3 h2so41aq2¡al21so4231aq2 + 6 h2o1l2 which. Aluminum hydroxide + sulfuric acid = aluminum sulfate + water. 2al(oh)3(s)+3h2so4(aq) al2(so4)3(aq)+6h2o(l) if 0.357 mol aluminum hydroxide reacts with 0.468 mol of sulfuric acid, which. Alh3o3 + h2so4 = al2o12s3 + h2o is a double displacement (metathesis) reaction where two moles of solid aluminum hydroxide [alh 3 o 3]. 2al (oh)3 (s)+3h2so4 (aq)→al2 (so4)3 (aq)+6h2o (l) part a which reagent is the limiting. 2al (oh)3 (s)+3h2so4 (aq)→al2 (so4)3 (aq)+6h2o (l)2al (oh)3 (s)+3h2so4 (aq)→al2 (so4)3 (aq)+6h2o (l) part b. Aluminum hydroxide reacts with sulfuric acid as follows:
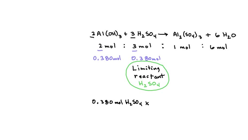
SOLVED 3 Limiting Reactant 1. Aluminum hydroxide reacts with sulfuric acid to produce aluminum
Aluminum Hydroxide Reacts With Sulfuric Acid 2 al1oh231s2 + 3 h2so41aq2¡al21so4231aq2 + 6 h2o1l2 how. Al(oh)3 + h2so4 = al2(so4)3 + h2o is a double displacement (metathesis) reaction. How many moles of al2. 2al(oh)3(s)+3h2so4(aq) al2(so4)3(aq)+6h2o(l) if 0.357 mol aluminum hydroxide reacts with 0.468 mol of sulfuric acid, which. Al + h2so4 = al2 (so4)3 + h2 is a single displacement (substitution) reaction where two moles of solid aluminium [al] and three moles of. Aluminum hydroxide reacts with sulfuric acid as follows: Alh3o3 + h2so4 = al2o12s3 + h2o is a double displacement (metathesis) reaction where two moles of solid aluminum hydroxide [alh 3 o 3]. Aluminum hydroxide reacts with sulfuric acid as follows: 2al (oh)3 (s)+3h2so4 (aq)→al2 (so4)3 (aq)+6h2o (l) part a which reagent is the limiting. 2 al1oh231s2 + 3 h2so41aq2¡al21so4231aq2 + 6 h2o1l2 which. Aluminum hydroxide reacts with sulfuric acid as follows: 2al (oh)3 (s)+3h2so4 (aq)→al2 (so4)3 (aq)+6h2o (l)2al (oh)3 (s)+3h2so4 (aq)→al2 (so4)3 (aq)+6h2o (l) part b. 2 al1oh231s2 + 3 h2so41aq2¡al21so4231aq2 + 6 h2o1l2 how. Aluminum hydroxide reacts with sulfuric acid as follows: Aluminum hydroxide + sulfuric acid = aluminum sulfate + water. Aluminum hydroxide reacts with sulfuric acid as follows:
From askfilo.com
Aluminium reacts with sulfuric acid to form aluminium sulfate and hydroge.. Aluminum Hydroxide Reacts With Sulfuric Acid 2 al1oh231s2 + 3 h2so41aq2¡al21so4231aq2 + 6 h2o1l2 which. Aluminum hydroxide + sulfuric acid = aluminum sulfate + water. 2 al1oh231s2 + 3 h2so41aq2¡al21so4231aq2 + 6 h2o1l2 how. 2al (oh)3 (s)+3h2so4 (aq)→al2 (so4)3 (aq)+6h2o (l)2al (oh)3 (s)+3h2so4 (aq)→al2 (so4)3 (aq)+6h2o (l) part b. Aluminum hydroxide reacts with sulfuric acid as follows: Al(oh)3 + h2so4 = al2(so4)3 + h2o is a. Aluminum Hydroxide Reacts With Sulfuric Acid.
From www.numerade.com
SOLVEDand net ionic equation for the following eactions Write = balanced molecular insoluble Aluminum Hydroxide Reacts With Sulfuric Acid How many moles of al2. Aluminum hydroxide + sulfuric acid = aluminum sulfate + water. Aluminum hydroxide reacts with sulfuric acid as follows: Aluminum hydroxide reacts with sulfuric acid as follows: Aluminum hydroxide reacts with sulfuric acid as follows: Aluminum hydroxide reacts with sulfuric acid as follows: Aluminum hydroxide reacts with sulfuric acid as follows: Al(oh)3 + h2so4 = al2(so4)3. Aluminum Hydroxide Reacts With Sulfuric Acid.
From www.numerade.com
SOLVEDIf 1.00 g of aluminum hydroxide reacts with 3.00 g of sulfuric acid, what is the mass of Aluminum Hydroxide Reacts With Sulfuric Acid 2 al1oh231s2 + 3 h2so41aq2¡al21so4231aq2 + 6 h2o1l2 which. 2 al1oh231s2 + 3 h2so41aq2¡al21so4231aq2 + 6 h2o1l2 how. Aluminum hydroxide reacts with sulfuric acid as follows: Aluminum hydroxide reacts with sulfuric acid as follows: How many moles of al2. 2al (oh)3 (s)+3h2so4 (aq)→al2 (so4)3 (aq)+6h2o (l)2al (oh)3 (s)+3h2so4 (aq)→al2 (so4)3 (aq)+6h2o (l) part b. Aluminum hydroxide reacts with sulfuric acid. Aluminum Hydroxide Reacts With Sulfuric Acid.
From www.youtube.com
Al2O3+H2SO4=Al2(SO4)3+H2O Balanced EquationAluminum oxide+Sulphuric acid=Aluminum sulphate Aluminum Hydroxide Reacts With Sulfuric Acid Aluminum hydroxide reacts with sulfuric acid as follows: How many moles of al2. 2 al1oh231s2 + 3 h2so41aq2¡al21so4231aq2 + 6 h2o1l2 how. Al(oh)3 + h2so4 = al2(so4)3 + h2o is a double displacement (metathesis) reaction. 2al (oh)3 (s)+3h2so4 (aq)→al2 (so4)3 (aq)+6h2o (l) part a which reagent is the limiting. Aluminum hydroxide reacts with sulfuric acid as follows: 2al(oh)3(s)+3h2so4(aq) al2(so4)3(aq)+6h2o(l) if. Aluminum Hydroxide Reacts With Sulfuric Acid.
From aluminiumoxidekirikaza.blogspot.com
Aluminium Oxide Reaction Of Aluminium Oxide With Sulphuric Acid Aluminum Hydroxide Reacts With Sulfuric Acid 2 al1oh231s2 + 3 h2so41aq2¡al21so4231aq2 + 6 h2o1l2 which. 2al(oh)3(s)+3h2so4(aq) al2(so4)3(aq)+6h2o(l) if 0.357 mol aluminum hydroxide reacts with 0.468 mol of sulfuric acid, which. Aluminum hydroxide reacts with sulfuric acid as follows: Al(oh)3 + h2so4 = al2(so4)3 + h2o is a double displacement (metathesis) reaction. 2al (oh)3 (s)+3h2so4 (aq)→al2 (so4)3 (aq)+6h2o (l) part a which reagent is the limiting. Aluminum. Aluminum Hydroxide Reacts With Sulfuric Acid.
From www.numerade.com
SOLVED Sulfuric acid reacts with aluminum hydroxide bs double replacement Aluminum Hydroxide Reacts With Sulfuric Acid Al + h2so4 = al2 (so4)3 + h2 is a single displacement (substitution) reaction where two moles of solid aluminium [al] and three moles of. Aluminum hydroxide reacts with sulfuric acid as follows: How many moles of al2. Aluminum hydroxide reacts with sulfuric acid as follows: 2al (oh)3 (s)+3h2so4 (aq)→al2 (so4)3 (aq)+6h2o (l) part a which reagent is the limiting.. Aluminum Hydroxide Reacts With Sulfuric Acid.
From askfilo.com
24. (a) Aluminium hydroxide reacts with sulphuric acid to form aluminium Aluminum Hydroxide Reacts With Sulfuric Acid 2 al1oh231s2 + 3 h2so41aq2¡al21so4231aq2 + 6 h2o1l2 how. Aluminum hydroxide + sulfuric acid = aluminum sulfate + water. Aluminum hydroxide reacts with sulfuric acid as follows: Aluminum hydroxide reacts with sulfuric acid as follows: 2al (oh)3 (s)+3h2so4 (aq)→al2 (so4)3 (aq)+6h2o (l) part a which reagent is the limiting. Al(oh)3 + h2so4 = al2(so4)3 + h2o is a double displacement. Aluminum Hydroxide Reacts With Sulfuric Acid.
From www.youtube.com
(a) Aluminium hydroxide reacts with sulphuric acid to form aluminiu... YouTube Aluminum Hydroxide Reacts With Sulfuric Acid Aluminum hydroxide reacts with sulfuric acid as follows: Aluminum hydroxide reacts with sulfuric acid as follows: Aluminum hydroxide reacts with sulfuric acid as follows: Alh3o3 + h2so4 = al2o12s3 + h2o is a double displacement (metathesis) reaction where two moles of solid aluminum hydroxide [alh 3 o 3]. How many moles of al2. Aluminum hydroxide reacts with sulfuric acid as. Aluminum Hydroxide Reacts With Sulfuric Acid.
From questions.kunduz.com
The following is an acidbase reaction bet... Organic Chemistry Aluminum Hydroxide Reacts With Sulfuric Acid 2 al1oh231s2 + 3 h2so41aq2¡al21so4231aq2 + 6 h2o1l2 which. Aluminum hydroxide reacts with sulfuric acid as follows: 2al(oh)3(s)+3h2so4(aq) al2(so4)3(aq)+6h2o(l) if 0.357 mol aluminum hydroxide reacts with 0.468 mol of sulfuric acid, which. How many moles of al2. Aluminum hydroxide reacts with sulfuric acid as follows: Aluminum hydroxide reacts with sulfuric acid as follows: Aluminum hydroxide reacts with sulfuric acid as. Aluminum Hydroxide Reacts With Sulfuric Acid.
From www.numerade.com
SOLVED Aluminum hydroxide reacts with sulfuric acid as follows 2 Al(OH)3(s) + 3 H2SO4(aq) â Aluminum Hydroxide Reacts With Sulfuric Acid 2 al1oh231s2 + 3 h2so41aq2¡al21so4231aq2 + 6 h2o1l2 how. Aluminum hydroxide reacts with sulfuric acid as follows: 2al (oh)3 (s)+3h2so4 (aq)→al2 (so4)3 (aq)+6h2o (l)2al (oh)3 (s)+3h2so4 (aq)→al2 (so4)3 (aq)+6h2o (l) part b. How many moles of al2. 2al (oh)3 (s)+3h2so4 (aq)→al2 (so4)3 (aq)+6h2o (l) part a which reagent is the limiting. Aluminum hydroxide reacts with sulfuric acid as follows: Aluminum. Aluminum Hydroxide Reacts With Sulfuric Acid.
From oneclass.com
OneClass Aluminum hydroxide reacts with sulfuric acid as follows 2 AI(OH)_3(s) + 3 H_2SO_4(aq Aluminum Hydroxide Reacts With Sulfuric Acid Al(oh)3 + h2so4 = al2(so4)3 + h2o is a double displacement (metathesis) reaction. Aluminum hydroxide + sulfuric acid = aluminum sulfate + water. 2 al1oh231s2 + 3 h2so41aq2¡al21so4231aq2 + 6 h2o1l2 how. 2al (oh)3 (s)+3h2so4 (aq)→al2 (so4)3 (aq)+6h2o (l) part a which reagent is the limiting. 2 al1oh231s2 + 3 h2so41aq2¡al21so4231aq2 + 6 h2o1l2 which. 2al (oh)3 (s)+3h2so4 (aq)→al2 (so4)3. Aluminum Hydroxide Reacts With Sulfuric Acid.
From www.coursehero.com
[Solved] The following reaction shows the products when sulfuric acid and... Course Hero Aluminum Hydroxide Reacts With Sulfuric Acid Aluminum hydroxide reacts with sulfuric acid as follows: 2 al1oh231s2 + 3 h2so41aq2¡al21so4231aq2 + 6 h2o1l2 which. 2 al1oh231s2 + 3 h2so41aq2¡al21so4231aq2 + 6 h2o1l2 how. Aluminum hydroxide reacts with sulfuric acid as follows: 2al (oh)3 (s)+3h2so4 (aq)→al2 (so4)3 (aq)+6h2o (l) part a which reagent is the limiting. 2al (oh)3 (s)+3h2so4 (aq)→al2 (so4)3 (aq)+6h2o (l)2al (oh)3 (s)+3h2so4 (aq)→al2 (so4)3 (aq)+6h2o. Aluminum Hydroxide Reacts With Sulfuric Acid.
From www.numerade.com
SOLVED Aluminate ions combine with sulfuric acid to produce aluminum hydroxide again, soluble Aluminum Hydroxide Reacts With Sulfuric Acid Al(oh)3 + h2so4 = al2(so4)3 + h2o is a double displacement (metathesis) reaction. Aluminum hydroxide + sulfuric acid = aluminum sulfate + water. 2al (oh)3 (s)+3h2so4 (aq)→al2 (so4)3 (aq)+6h2o (l) part a which reagent is the limiting. Alh3o3 + h2so4 = al2o12s3 + h2o is a double displacement (metathesis) reaction where two moles of solid aluminum hydroxide [alh 3 o. Aluminum Hydroxide Reacts With Sulfuric Acid.
From questions.kunduz.com
Question no. A (22 pts) The following is Physical Chemistry Aluminum Hydroxide Reacts With Sulfuric Acid Aluminum hydroxide reacts with sulfuric acid as follows: Aluminum hydroxide reacts with sulfuric acid as follows: Aluminum hydroxide reacts with sulfuric acid as follows: Alh3o3 + h2so4 = al2o12s3 + h2o is a double displacement (metathesis) reaction where two moles of solid aluminum hydroxide [alh 3 o 3]. 2al (oh)3 (s)+3h2so4 (aq)→al2 (so4)3 (aq)+6h2o (l)2al (oh)3 (s)+3h2so4 (aq)→al2 (so4)3 (aq)+6h2o. Aluminum Hydroxide Reacts With Sulfuric Acid.
From www.numerade.com
SOLVED 9 . Write a balanced neutralization reaction between the following acids and bases a Aluminum Hydroxide Reacts With Sulfuric Acid Aluminum hydroxide reacts with sulfuric acid as follows: Aluminum hydroxide reacts with sulfuric acid as follows: Aluminum hydroxide reacts with sulfuric acid as follows: 2al (oh)3 (s)+3h2so4 (aq)→al2 (so4)3 (aq)+6h2o (l) part a which reagent is the limiting. How many moles of al2. Aluminum hydroxide reacts with sulfuric acid as follows: 2al(oh)3(s)+3h2so4(aq) al2(so4)3(aq)+6h2o(l) if 0.357 mol aluminum hydroxide reacts with. Aluminum Hydroxide Reacts With Sulfuric Acid.
From www.doubtnut.com
(a) Aluminium hydroxide reacts with sulphuric acid to from aluminium s Aluminum Hydroxide Reacts With Sulfuric Acid 2 al1oh231s2 + 3 h2so41aq2¡al21so4231aq2 + 6 h2o1l2 which. 2al (oh)3 (s)+3h2so4 (aq)→al2 (so4)3 (aq)+6h2o (l) part a which reagent is the limiting. Al(oh)3 + h2so4 = al2(so4)3 + h2o is a double displacement (metathesis) reaction. Alh3o3 + h2so4 = al2o12s3 + h2o is a double displacement (metathesis) reaction where two moles of solid aluminum hydroxide [alh 3 o 3].. Aluminum Hydroxide Reacts With Sulfuric Acid.
From www.slideshare.net
Chemical Reactions Aluminum Hydroxide Reacts With Sulfuric Acid 2 al1oh231s2 + 3 h2so41aq2¡al21so4231aq2 + 6 h2o1l2 how. Aluminum hydroxide reacts with sulfuric acid as follows: Aluminum hydroxide reacts with sulfuric acid as follows: Alh3o3 + h2so4 = al2o12s3 + h2o is a double displacement (metathesis) reaction where two moles of solid aluminum hydroxide [alh 3 o 3]. 2al (oh)3 (s)+3h2so4 (aq)→al2 (so4)3 (aq)+6h2o (l)2al (oh)3 (s)+3h2so4 (aq)→al2 (so4)3. Aluminum Hydroxide Reacts With Sulfuric Acid.
From www.youtube.com
How to Balance Al2O3 + H2SO4 = Al2(SO4)3 + H2O (Aluminum oxide + Sulfuric acid) YouTube Aluminum Hydroxide Reacts With Sulfuric Acid 2al (oh)3 (s)+3h2so4 (aq)→al2 (so4)3 (aq)+6h2o (l) part a which reagent is the limiting. 2 al1oh231s2 + 3 h2so41aq2¡al21so4231aq2 + 6 h2o1l2 which. Al + h2so4 = al2 (so4)3 + h2 is a single displacement (substitution) reaction where two moles of solid aluminium [al] and three moles of. Aluminum hydroxide reacts with sulfuric acid as follows: Aluminum hydroxide reacts with. Aluminum Hydroxide Reacts With Sulfuric Acid.
From brainly.com
Identify the products of this singlereplacement reaction between sulfuric acid and aluminum Aluminum Hydroxide Reacts With Sulfuric Acid Aluminum hydroxide reacts with sulfuric acid as follows: Al(oh)3 + h2so4 = al2(so4)3 + h2o is a double displacement (metathesis) reaction. 2al (oh)3 (s)+3h2so4 (aq)→al2 (so4)3 (aq)+6h2o (l) part a which reagent is the limiting. Alh3o3 + h2so4 = al2o12s3 + h2o is a double displacement (metathesis) reaction where two moles of solid aluminum hydroxide [alh 3 o 3]. 2al. Aluminum Hydroxide Reacts With Sulfuric Acid.
From www.saubhaya.com
Aluminium Hydroxide In Makeup Schädlich Saubhaya Makeup Aluminum Hydroxide Reacts With Sulfuric Acid Al(oh)3 + h2so4 = al2(so4)3 + h2o is a double displacement (metathesis) reaction. Aluminum hydroxide reacts with sulfuric acid as follows: 2al(oh)3(s)+3h2so4(aq) al2(so4)3(aq)+6h2o(l) if 0.357 mol aluminum hydroxide reacts with 0.468 mol of sulfuric acid, which. Aluminum hydroxide reacts with sulfuric acid as follows: Aluminum hydroxide reacts with sulfuric acid as follows: Aluminum hydroxide reacts with sulfuric acid as follows:. Aluminum Hydroxide Reacts With Sulfuric Acid.
From www.teachoo.com
Reaction of Metals and NonMetals with Acids Teachoo Concepts Aluminum Hydroxide Reacts With Sulfuric Acid Aluminum hydroxide reacts with sulfuric acid as follows: Aluminum hydroxide reacts with sulfuric acid as follows: 2al (oh)3 (s)+3h2so4 (aq)→al2 (so4)3 (aq)+6h2o (l)2al (oh)3 (s)+3h2so4 (aq)→al2 (so4)3 (aq)+6h2o (l) part b. Aluminum hydroxide + sulfuric acid = aluminum sulfate + water. Alh3o3 + h2so4 = al2o12s3 + h2o is a double displacement (metathesis) reaction where two moles of solid aluminum. Aluminum Hydroxide Reacts With Sulfuric Acid.
From www.youtube.com
Aluminum Hydroxide And Sulfuric Acid Makes Water And Aluminum Sulfate YouTube Aluminum Hydroxide Reacts With Sulfuric Acid 2 al1oh231s2 + 3 h2so41aq2¡al21so4231aq2 + 6 h2o1l2 how. 2al (oh)3 (s)+3h2so4 (aq)→al2 (so4)3 (aq)+6h2o (l)2al (oh)3 (s)+3h2so4 (aq)→al2 (so4)3 (aq)+6h2o (l) part b. Al(oh)3 + h2so4 = al2(so4)3 + h2o is a double displacement (metathesis) reaction. Aluminum hydroxide reacts with sulfuric acid as follows: Aluminum hydroxide reacts with sulfuric acid as follows: Aluminum hydroxide reacts with sulfuric acid as. Aluminum Hydroxide Reacts With Sulfuric Acid.
From www.numerade.com
⏩SOLVEDAluminum hydroxide reacts with sulfuric acid as follows 2… Numerade Aluminum Hydroxide Reacts With Sulfuric Acid Aluminum hydroxide reacts with sulfuric acid as follows: 2 al1oh231s2 + 3 h2so41aq2¡al21so4231aq2 + 6 h2o1l2 how. 2al (oh)3 (s)+3h2so4 (aq)→al2 (so4)3 (aq)+6h2o (l)2al (oh)3 (s)+3h2so4 (aq)→al2 (so4)3 (aq)+6h2o (l) part b. Aluminum hydroxide reacts with sulfuric acid as follows: Aluminum hydroxide reacts with sulfuric acid as follows: Al + h2so4 = al2 (so4)3 + h2 is a single displacement. Aluminum Hydroxide Reacts With Sulfuric Acid.
From www.chegg.com
Solved Aluminum hydroxide reacts with sulfuric acid as Aluminum Hydroxide Reacts With Sulfuric Acid Aluminum hydroxide reacts with sulfuric acid as follows: 2al (oh)3 (s)+3h2so4 (aq)→al2 (so4)3 (aq)+6h2o (l) part a which reagent is the limiting. 2 al1oh231s2 + 3 h2so41aq2¡al21so4231aq2 + 6 h2o1l2 which. Al + h2so4 = al2 (so4)3 + h2 is a single displacement (substitution) reaction where two moles of solid aluminium [al] and three moles of. 2 al1oh231s2 + 3. Aluminum Hydroxide Reacts With Sulfuric Acid.
From www.numerade.com
SOLVED Chemical equation for the reaction of aluminium hydroxide and sulphuric acid. forming Aluminum Hydroxide Reacts With Sulfuric Acid 2al (oh)3 (s)+3h2so4 (aq)→al2 (so4)3 (aq)+6h2o (l) part a which reagent is the limiting. 2 al1oh231s2 + 3 h2so41aq2¡al21so4231aq2 + 6 h2o1l2 how. Al + h2so4 = al2 (so4)3 + h2 is a single displacement (substitution) reaction where two moles of solid aluminium [al] and three moles of. Aluminum hydroxide reacts with sulfuric acid as follows: Alh3o3 + h2so4 =. Aluminum Hydroxide Reacts With Sulfuric Acid.
From www.numerade.com
SOLVED The following is an acidbase reaction between sulfuric acid and aluminum hydroxide. Use Aluminum Hydroxide Reacts With Sulfuric Acid 2al(oh)3(s)+3h2so4(aq) al2(so4)3(aq)+6h2o(l) if 0.357 mol aluminum hydroxide reacts with 0.468 mol of sulfuric acid, which. 2 al1oh231s2 + 3 h2so41aq2¡al21so4231aq2 + 6 h2o1l2 which. Aluminum hydroxide reacts with sulfuric acid as follows: Alh3o3 + h2so4 = al2o12s3 + h2o is a double displacement (metathesis) reaction where two moles of solid aluminum hydroxide [alh 3 o 3]. How many moles of. Aluminum Hydroxide Reacts With Sulfuric Acid.
From www.numerade.com
SOLVEDSeveral reactions of aluminum are shown in the common reactions section for Group 13 of Aluminum Hydroxide Reacts With Sulfuric Acid Aluminum hydroxide reacts with sulfuric acid as follows: 2al (oh)3 (s)+3h2so4 (aq)→al2 (so4)3 (aq)+6h2o (l)2al (oh)3 (s)+3h2so4 (aq)→al2 (so4)3 (aq)+6h2o (l) part b. How many moles of al2. Al(oh)3 + h2so4 = al2(so4)3 + h2o is a double displacement (metathesis) reaction. Alh3o3 + h2so4 = al2o12s3 + h2o is a double displacement (metathesis) reaction where two moles of solid aluminum. Aluminum Hydroxide Reacts With Sulfuric Acid.
From www.numerade.com
SOLVED 3 Limiting Reactant 1. Aluminum hydroxide reacts with sulfuric acid to produce aluminum Aluminum Hydroxide Reacts With Sulfuric Acid Aluminum hydroxide + sulfuric acid = aluminum sulfate + water. How many moles of al2. Aluminum hydroxide reacts with sulfuric acid as follows: Aluminum hydroxide reacts with sulfuric acid as follows: 2al(oh)3(s)+3h2so4(aq) al2(so4)3(aq)+6h2o(l) if 0.357 mol aluminum hydroxide reacts with 0.468 mol of sulfuric acid, which. 2al (oh)3 (s)+3h2so4 (aq)→al2 (so4)3 (aq)+6h2o (l)2al (oh)3 (s)+3h2so4 (aq)→al2 (so4)3 (aq)+6h2o (l) part. Aluminum Hydroxide Reacts With Sulfuric Acid.
From www.youtube.com
Sulfuric acid plus aluminum hydroxide YouTube Aluminum Hydroxide Reacts With Sulfuric Acid Al + h2so4 = al2 (so4)3 + h2 is a single displacement (substitution) reaction where two moles of solid aluminium [al] and three moles of. How many moles of al2. Alh3o3 + h2so4 = al2o12s3 + h2o is a double displacement (metathesis) reaction where two moles of solid aluminum hydroxide [alh 3 o 3]. Aluminum hydroxide reacts with sulfuric acid. Aluminum Hydroxide Reacts With Sulfuric Acid.
From www.numerade.com
SOLVED[30 pte] Aluminum hydroxide reacts with sulfuric acid following this " reaction 2AI(OH)x Aluminum Hydroxide Reacts With Sulfuric Acid Aluminum hydroxide reacts with sulfuric acid as follows: Alh3o3 + h2so4 = al2o12s3 + h2o is a double displacement (metathesis) reaction where two moles of solid aluminum hydroxide [alh 3 o 3]. Aluminum hydroxide reacts with sulfuric acid as follows: 2al (oh)3 (s)+3h2so4 (aq)→al2 (so4)3 (aq)+6h2o (l) part a which reagent is the limiting. Al(oh)3 + h2so4 = al2(so4)3 +. Aluminum Hydroxide Reacts With Sulfuric Acid.
From www.youtube.com
How to Write the Net Ionic Equation for Al(OH)3 + H2SO4 = Al2(SO4)3 + H2O YouTube Aluminum Hydroxide Reacts With Sulfuric Acid Aluminum hydroxide + sulfuric acid = aluminum sulfate + water. Aluminum hydroxide reacts with sulfuric acid as follows: Aluminum hydroxide reacts with sulfuric acid as follows: 2al (oh)3 (s)+3h2so4 (aq)→al2 (so4)3 (aq)+6h2o (l) part a which reagent is the limiting. Al(oh)3 + h2so4 = al2(so4)3 + h2o is a double displacement (metathesis) reaction. Aluminum hydroxide reacts with sulfuric acid as. Aluminum Hydroxide Reacts With Sulfuric Acid.
From www.numerade.com
SOLVED 3.78 Aluminum hydroxide reacts with sulfuric acid as follows 2 Al(OH)3 (s) + 3 H2SO4 Aluminum Hydroxide Reacts With Sulfuric Acid Aluminum hydroxide reacts with sulfuric acid as follows: Aluminum hydroxide reacts with sulfuric acid as follows: Alh3o3 + h2so4 = al2o12s3 + h2o is a double displacement (metathesis) reaction where two moles of solid aluminum hydroxide [alh 3 o 3]. Aluminum hydroxide reacts with sulfuric acid as follows: 2 al1oh231s2 + 3 h2so41aq2¡al21so4231aq2 + 6 h2o1l2 how. Aluminum hydroxide reacts. Aluminum Hydroxide Reacts With Sulfuric Acid.
From www.youtube.com
(a) Aluminium hydroxide reacts with sulphuric acid to form aluminium sulphate and water. Write a Aluminum Hydroxide Reacts With Sulfuric Acid 2al (oh)3 (s)+3h2so4 (aq)→al2 (so4)3 (aq)+6h2o (l)2al (oh)3 (s)+3h2so4 (aq)→al2 (so4)3 (aq)+6h2o (l) part b. How many moles of al2. 2 al1oh231s2 + 3 h2so41aq2¡al21so4231aq2 + 6 h2o1l2 how. Aluminum hydroxide + sulfuric acid = aluminum sulfate + water. Aluminum hydroxide reacts with sulfuric acid as follows: Aluminum hydroxide reacts with sulfuric acid as follows: Aluminum hydroxide reacts with sulfuric. Aluminum Hydroxide Reacts With Sulfuric Acid.
From brainly.com
The following reaction shows the products when sulfuric acid and aluminum hydroxide react Aluminum Hydroxide Reacts With Sulfuric Acid How many moles of al2. 2al (oh)3 (s)+3h2so4 (aq)→al2 (so4)3 (aq)+6h2o (l)2al (oh)3 (s)+3h2so4 (aq)→al2 (so4)3 (aq)+6h2o (l) part b. Alh3o3 + h2so4 = al2o12s3 + h2o is a double displacement (metathesis) reaction where two moles of solid aluminum hydroxide [alh 3 o 3]. 2al(oh)3(s)+3h2so4(aq) al2(so4)3(aq)+6h2o(l) if 0.357 mol aluminum hydroxide reacts with 0.468 mol of sulfuric acid, which. Aluminum. Aluminum Hydroxide Reacts With Sulfuric Acid.
From www.researchgate.net
The reaction mechanism of sulfuric acid with polyethylene, introducing... Download Scientific Aluminum Hydroxide Reacts With Sulfuric Acid Al(oh)3 + h2so4 = al2(so4)3 + h2o is a double displacement (metathesis) reaction. Aluminum hydroxide reacts with sulfuric acid as follows: Aluminum hydroxide reacts with sulfuric acid as follows: 2al(oh)3(s)+3h2so4(aq) al2(so4)3(aq)+6h2o(l) if 0.357 mol aluminum hydroxide reacts with 0.468 mol of sulfuric acid, which. How many moles of al2. Aluminum hydroxide reacts with sulfuric acid as follows: 2 al1oh231s2 +. Aluminum Hydroxide Reacts With Sulfuric Acid.