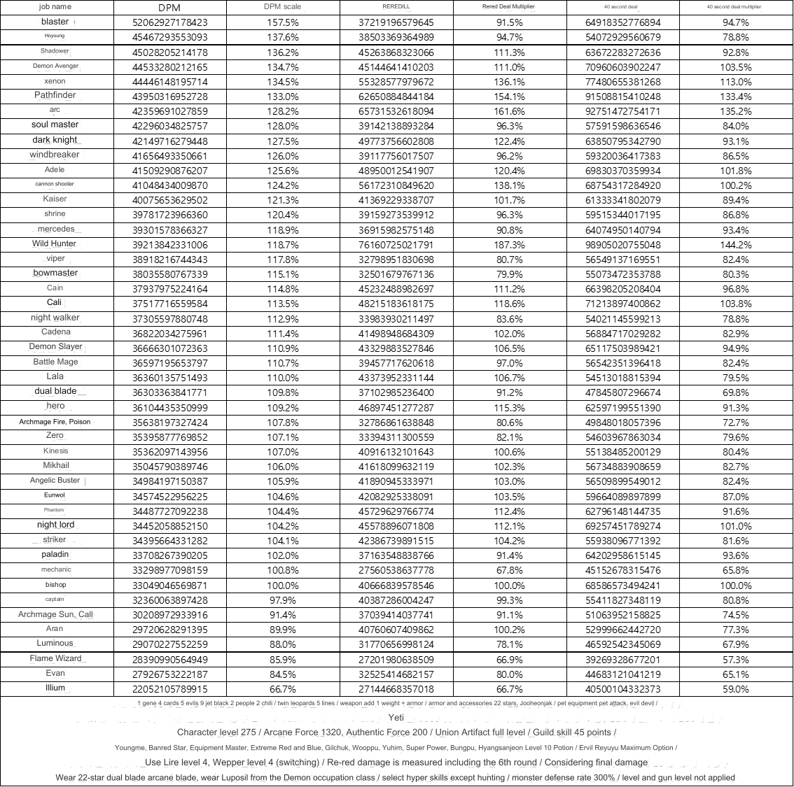
Maplestory Ignition Dpm Chart . This guide seeks to compare all classes with similar gear and measure their dpm output. Damage is judged by dps(damage per second) or dpm(damage per minute) and is dependent on the class. The way that this is done is by choosing a. Guy wrote a post saying the dpm chart are temporarily suspended. It visually represents how each class stacks up against the others regarding damage output. Dpm chart is fine, but in most bosses its highly unrealistic. We calculate dps on a single strike on target. The chart is updated regularly to reflect game mechanics and class balancing changes. Higher dps or dpm denotes higher efficiency against foes. In this post, you will find a number of different charts showing theoretical damage output from all classes in dream ms. Let’s have a look at the dps chart for characters. Mix of 40's and restraint graph is much more accurate to how most class would actually. It also features new boss difficulties, monster park. The maplestory dpm chart is a tool that ranks the various classes in the game based on their dpm potential. Ignition is an update following destiny.
from www.reddit.com
This guide seeks to compare all classes with similar gear and measure their dpm output. Dpm chart is fine, but in most bosses its highly unrealistic. This post will be updated with the latest charts. Damage is judged by dps(damage per second) or dpm(damage per minute) and is dependent on the class. In this post, you will find a number of different charts showing theoretical damage output from all classes in dream ms. Guy wrote a post saying the dpm chart are temporarily suspended. Mix of 40's and restraint graph is much more accurate to how most class would actually. Higher dps or dpm denotes higher efficiency against foes. It visually represents how each class stacks up against the others regarding damage output. It also features new boss difficulties, monster park.
Maplestory Daily XP Chart for Ignition r/Maplestory
Maplestory Ignition Dpm Chart Dpm chart is fine, but in most bosses its highly unrealistic. In this post, you will find a number of different charts showing theoretical damage output from all classes in dream ms. Mix of 40's and restraint graph is much more accurate to how most class would actually. We calculate dps on a single strike on target. Higher dps or dpm denotes higher efficiency against foes. The way that this is done is by choosing a. The chart is updated regularly to reflect game mechanics and class balancing changes. The maplestory dpm chart is a tool that ranks the various classes in the game based on their dpm potential. This guide seeks to compare all classes with similar gear and measure their dpm output. Let’s have a look at the dps chart for characters. Damage is judged by dps(damage per second) or dpm(damage per minute) and is dependent on the class. Ignition is an update following destiny. It visually represents how each class stacks up against the others regarding damage output. This post will be updated with the latest charts. It also features new boss difficulties, monster park. Dpm chart is fine, but in most bosses its highly unrealistic.
From bceweb.org
Gms Maplestory Dps Chart A Visual Reference of Charts Chart Master Maplestory Ignition Dpm Chart Damage is judged by dps(damage per second) or dpm(damage per minute) and is dependent on the class. Ignition is an update following destiny. In this post, you will find a number of different charts showing theoretical damage output from all classes in dream ms. It visually represents how each class stacks up against the others regarding damage output. Mix of. Maplestory Ignition Dpm Chart.
From maplestory.nexon.net
Ignition Official MapleStory site Maplestory Ignition Dpm Chart The maplestory dpm chart is a tool that ranks the various classes in the game based on their dpm potential. In this post, you will find a number of different charts showing theoretical damage output from all classes in dream ms. The way that this is done is by choosing a. Guy wrote a post saying the dpm chart are. Maplestory Ignition Dpm Chart.
From www.reddit.com
Maplestory DPM Chart 4152021 r/Maplestory Maplestory Ignition Dpm Chart Higher dps or dpm denotes higher efficiency against foes. The maplestory dpm chart is a tool that ranks the various classes in the game based on their dpm potential. This post will be updated with the latest charts. Dpm chart is fine, but in most bosses its highly unrealistic. It also features new boss difficulties, monster park. In this post,. Maplestory Ignition Dpm Chart.
From bceweb.org
Maplestory 2 Dps Chart A Visual Reference of Charts Chart Master Maplestory Ignition Dpm Chart The way that this is done is by choosing a. In this post, you will find a number of different charts showing theoretical damage output from all classes in dream ms. This post will be updated with the latest charts. This guide seeks to compare all classes with similar gear and measure their dpm output. Mix of 40's and restraint. Maplestory Ignition Dpm Chart.
From www.reddit.com
KMS DPM Chart 9/18/2020 r/Maplestory Maplestory Ignition Dpm Chart It also features new boss difficulties, monster park. This post will be updated with the latest charts. Ignition is an update following destiny. In this post, you will find a number of different charts showing theoretical damage output from all classes in dream ms. Damage is judged by dps(damage per second) or dpm(damage per minute) and is dependent on the. Maplestory Ignition Dpm Chart.
From www.reddit.com
KMS DPM Charts 20180508 Maplestory Maplestory Ignition Dpm Chart Higher dps or dpm denotes higher efficiency against foes. Ignition is an update following destiny. Mix of 40's and restraint graph is much more accurate to how most class would actually. It visually represents how each class stacks up against the others regarding damage output. In this post, you will find a number of different charts showing theoretical damage output. Maplestory Ignition Dpm Chart.
From in.pinterest.com
MapleStory Best Class Tier List March 2023 DPS & DPM Chart Class Maplestory Ignition Dpm Chart This post will be updated with the latest charts. Dpm chart is fine, but in most bosses its highly unrealistic. Damage is judged by dps(damage per second) or dpm(damage per minute) and is dependent on the class. The chart is updated regularly to reflect game mechanics and class balancing changes. Let’s have a look at the dps chart for characters.. Maplestory Ignition Dpm Chart.
From www.reddit.com
[KMS] DPM Chart 20180415 r/Maplestory Maplestory Ignition Dpm Chart It also features new boss difficulties, monster park. This guide seeks to compare all classes with similar gear and measure their dpm output. The maplestory dpm chart is a tool that ranks the various classes in the game based on their dpm potential. Ignition is an update following destiny. Mix of 40's and restraint graph is much more accurate to. Maplestory Ignition Dpm Chart.
From bceweb.org
Maplestory Pathfinder Dps Chart A Visual Reference of Charts Chart Maplestory Ignition Dpm Chart This guide seeks to compare all classes with similar gear and measure their dpm output. We calculate dps on a single strike on target. The chart is updated regularly to reflect game mechanics and class balancing changes. It also features new boss difficulties, monster park. Damage is judged by dps(damage per second) or dpm(damage per minute) and is dependent on. Maplestory Ignition Dpm Chart.
From www.reddit.com
DPM Charts r/Maplestory Maplestory Ignition Dpm Chart Mix of 40's and restraint graph is much more accurate to how most class would actually. The maplestory dpm chart is a tool that ranks the various classes in the game based on their dpm potential. The chart is updated regularly to reflect game mechanics and class balancing changes. It visually represents how each class stacks up against the others. Maplestory Ignition Dpm Chart.
From faindx.com
Maplestory DPS Charts Guide Update (April 2024) Maplestory Ignition Dpm Chart It also features new boss difficulties, monster park. Guy wrote a post saying the dpm chart are temporarily suspended. This guide seeks to compare all classes with similar gear and measure their dpm output. Mix of 40's and restraint graph is much more accurate to how most class would actually. Let’s have a look at the dps chart for characters.. Maplestory Ignition Dpm Chart.
From irisqmireille.pages.dev
Maplestory Dps Chart 2024 Kayle Melanie Maplestory Ignition Dpm Chart This guide seeks to compare all classes with similar gear and measure their dpm output. Guy wrote a post saying the dpm chart are temporarily suspended. Dpm chart is fine, but in most bosses its highly unrealistic. Mix of 40's and restraint graph is much more accurate to how most class would actually. The maplestory dpm chart is a tool. Maplestory Ignition Dpm Chart.
From studylibmueller.z1.web.core.windows.net
Maplestory Dps Chart Ignition Maplestory Ignition Dpm Chart Guy wrote a post saying the dpm chart are temporarily suspended. Higher dps or dpm denotes higher efficiency against foes. Ignition is an update following destiny. The chart is updated regularly to reflect game mechanics and class balancing changes. The maplestory dpm chart is a tool that ranks the various classes in the game based on their dpm potential. In. Maplestory Ignition Dpm Chart.
From www.reddit.com
KMS DPM/ROR/40s Chart r/Maplestory Maplestory Ignition Dpm Chart Damage is judged by dps(damage per second) or dpm(damage per minute) and is dependent on the class. The way that this is done is by choosing a. Guy wrote a post saying the dpm chart are temporarily suspended. Ignition is an update following destiny. Dpm chart is fine, but in most bosses its highly unrealistic. This post will be updated. Maplestory Ignition Dpm Chart.
From tobyfox.z21.web.core.windows.net
Maplestory Dpm Chart Ignition Maplestory Ignition Dpm Chart Higher dps or dpm denotes higher efficiency against foes. Ignition is an update following destiny. Mix of 40's and restraint graph is much more accurate to how most class would actually. This post will be updated with the latest charts. This guide seeks to compare all classes with similar gear and measure their dpm output. Guy wrote a post saying. Maplestory Ignition Dpm Chart.
From mavink.com
Maplestory Dps Chart Maplestory Ignition Dpm Chart It visually represents how each class stacks up against the others regarding damage output. This post will be updated with the latest charts. Damage is judged by dps(damage per second) or dpm(damage per minute) and is dependent on the class. Higher dps or dpm denotes higher efficiency against foes. The chart is updated regularly to reflect game mechanics and class. Maplestory Ignition Dpm Chart.
From mplus.heroinewarrior.com
Maplestory Best Class Tier List & DPS Chart (February 2023) Gamer Maplestory Ignition Dpm Chart This guide seeks to compare all classes with similar gear and measure their dpm output. In this post, you will find a number of different charts showing theoretical damage output from all classes in dream ms. Higher dps or dpm denotes higher efficiency against foes. Dpm chart is fine, but in most bosses its highly unrealistic. Let’s have a look. Maplestory Ignition Dpm Chart.
From tobyfox.z21.web.core.windows.net
Maplestory Dpm Chart Ignition Maplestory Ignition Dpm Chart Damage is judged by dps(damage per second) or dpm(damage per minute) and is dependent on the class. Dpm chart is fine, but in most bosses its highly unrealistic. We calculate dps on a single strike on target. It visually represents how each class stacks up against the others regarding damage output. The maplestory dpm chart is a tool that ranks. Maplestory Ignition Dpm Chart.
From bceweb.org
Maplestory Dps Chart A Visual Reference of Charts Chart Master Maplestory Ignition Dpm Chart Mix of 40's and restraint graph is much more accurate to how most class would actually. We calculate dps on a single strike on target. The chart is updated regularly to reflect game mechanics and class balancing changes. It also features new boss difficulties, monster park. Higher dps or dpm denotes higher efficiency against foes. Ignition is an update following. Maplestory Ignition Dpm Chart.
From www.reddit.com
KMS DPM chart 12/26/2017 after V care r/Maplestory Maplestory Ignition Dpm Chart It also features new boss difficulties, monster park. Dpm chart is fine, but in most bosses its highly unrealistic. Damage is judged by dps(damage per second) or dpm(damage per minute) and is dependent on the class. In this post, you will find a number of different charts showing theoretical damage output from all classes in dream ms. Ignition is an. Maplestory Ignition Dpm Chart.
From studylibmueller.z1.web.core.windows.net
Maplestory Dps Chart Ignition Maplestory Ignition Dpm Chart This post will be updated with the latest charts. Higher dps or dpm denotes higher efficiency against foes. The maplestory dpm chart is a tool that ranks the various classes in the game based on their dpm potential. We calculate dps on a single strike on target. Ignition is an update following destiny. This guide seeks to compare all classes. Maplestory Ignition Dpm Chart.
From www.reddit.com
[Reboot] GMS DPM Chart (Based on latest KMS skills balance patch) r Maplestory Ignition Dpm Chart The maplestory dpm chart is a tool that ranks the various classes in the game based on their dpm potential. Higher dps or dpm denotes higher efficiency against foes. This guide seeks to compare all classes with similar gear and measure their dpm output. Damage is judged by dps(damage per second) or dpm(damage per minute) and is dependent on the. Maplestory Ignition Dpm Chart.
From www.reddit.com
[KMS ver 1.2.2.84] Latest DPM Chart with Cadena (Class) September Maplestory Ignition Dpm Chart Let’s have a look at the dps chart for characters. Guy wrote a post saying the dpm chart are temporarily suspended. In this post, you will find a number of different charts showing theoretical damage output from all classes in dream ms. Dpm chart is fine, but in most bosses its highly unrealistic. We calculate dps on a single strike. Maplestory Ignition Dpm Chart.
From forums.maplestory.nexon.net
KMS DPM Chart? Official MapleStory site Maplestory Ignition Dpm Chart In this post, you will find a number of different charts showing theoretical damage output from all classes in dream ms. The chart is updated regularly to reflect game mechanics and class balancing changes. The way that this is done is by choosing a. Let’s have a look at the dps chart for characters. It visually represents how each class. Maplestory Ignition Dpm Chart.
From mavink.com
Maplestory Dps Chart Maplestory Ignition Dpm Chart In this post, you will find a number of different charts showing theoretical damage output from all classes in dream ms. The way that this is done is by choosing a. Damage is judged by dps(damage per second) or dpm(damage per minute) and is dependent on the class. We calculate dps on a single strike on target. Guy wrote a. Maplestory Ignition Dpm Chart.
From mavink.com
Maplestory Dps Chart Maplestory Ignition Dpm Chart Damage is judged by dps(damage per second) or dpm(damage per minute) and is dependent on the class. In this post, you will find a number of different charts showing theoretical damage output from all classes in dream ms. Ignition is an update following destiny. This post will be updated with the latest charts. The chart is updated regularly to reflect. Maplestory Ignition Dpm Chart.
From www.reddit.com
DPM/DPS chart in the form of a Tier List Maplestory Maplestory Ignition Dpm Chart The way that this is done is by choosing a. This guide seeks to compare all classes with similar gear and measure their dpm output. In this post, you will find a number of different charts showing theoretical damage output from all classes in dream ms. It also features new boss difficulties, monster park. We calculate dps on a single. Maplestory Ignition Dpm Chart.
From mavink.com
Maplestory Dps Chart Maplestory Ignition Dpm Chart Dpm chart is fine, but in most bosses its highly unrealistic. Mix of 40's and restraint graph is much more accurate to how most class would actually. It also features new boss difficulties, monster park. Damage is judged by dps(damage per second) or dpm(damage per minute) and is dependent on the class. The maplestory dpm chart is a tool that. Maplestory Ignition Dpm Chart.
From nicholaswall.z13.web.core.windows.net
Maplestory Ignition Dpm Chart Maplestory Ignition Dpm Chart Guy wrote a post saying the dpm chart are temporarily suspended. It visually represents how each class stacks up against the others regarding damage output. This post will be updated with the latest charts. We calculate dps on a single strike on target. The way that this is done is by choosing a. Damage is judged by dps(damage per second). Maplestory Ignition Dpm Chart.
From gamerjournalist.com
Maplestory DPS & DPM Chart(s) Maplestory Ignition Dpm Chart Ignition is an update following destiny. The chart is updated regularly to reflect game mechanics and class balancing changes. Mix of 40's and restraint graph is much more accurate to how most class would actually. It also features new boss difficulties, monster park. Higher dps or dpm denotes higher efficiency against foes. This guide seeks to compare all classes with. Maplestory Ignition Dpm Chart.
From brynnqluella.pages.dev
Maplestory Dps Chart 2024 Norma Annmaria Maplestory Ignition Dpm Chart We calculate dps on a single strike on target. It also features new boss difficulties, monster park. The maplestory dpm chart is a tool that ranks the various classes in the game based on their dpm potential. The chart is updated regularly to reflect game mechanics and class balancing changes. Ignition is an update following destiny. Higher dps or dpm. Maplestory Ignition Dpm Chart.
From mavink.com
Maplestory Dps Chart Maplestory Ignition Dpm Chart Guy wrote a post saying the dpm chart are temporarily suspended. Higher dps or dpm denotes higher efficiency against foes. The chart is updated regularly to reflect game mechanics and class balancing changes. Let’s have a look at the dps chart for characters. This post will be updated with the latest charts. Dpm chart is fine, but in most bosses. Maplestory Ignition Dpm Chart.
From www.reddit.com
Maplestory Daily XP Chart for Ignition r/Maplestory Maplestory Ignition Dpm Chart Guy wrote a post saying the dpm chart are temporarily suspended. We calculate dps on a single strike on target. Higher dps or dpm denotes higher efficiency against foes. This guide seeks to compare all classes with similar gear and measure their dpm output. This post will be updated with the latest charts. It visually represents how each class stacks. Maplestory Ignition Dpm Chart.
From gamerafter.com
Maplestory DPM Chart List 2022 Best Class Tier List & DPS Chart Maplestory Ignition Dpm Chart Dpm chart is fine, but in most bosses its highly unrealistic. It also features new boss difficulties, monster park. The chart is updated regularly to reflect game mechanics and class balancing changes. We calculate dps on a single strike on target. Guy wrote a post saying the dpm chart are temporarily suspended. Damage is judged by dps(damage per second) or. Maplestory Ignition Dpm Chart.
From bceweb.org
Maplestory Dps Chart A Visual Reference of Charts Chart Master Maplestory Ignition Dpm Chart Higher dps or dpm denotes higher efficiency against foes. Dpm chart is fine, but in most bosses its highly unrealistic. In this post, you will find a number of different charts showing theoretical damage output from all classes in dream ms. Ignition is an update following destiny. This guide seeks to compare all classes with similar gear and measure their. Maplestory Ignition Dpm Chart.