Seltzer Water Sodium Bicarbonate . “club soda is carbonated water that contains salts like sodium chloride, sodium sulfate, sodium bicarbonate, or sodium. Sparkling water has become a popular alternative to soda, giving fun,. Time to pop out the bubbly — water, that is! The primary difference between seltzer water and sparkling water and other. The difference between seltzer and club soda is mainly sodium. At its most basic, seltzer is simply plain water that has had carbonation added to it. Flavored seltzers can help you ease out of your love of soda. It can be a healthy alternative if you want to cut back on other carbonated. Seltzer water, also known as club soda or sparkling water, is made of water and carbon dioxide.
from www.numerade.com
The primary difference between seltzer water and sparkling water and other. The difference between seltzer and club soda is mainly sodium. It can be a healthy alternative if you want to cut back on other carbonated. Sparkling water has become a popular alternative to soda, giving fun,. Time to pop out the bubbly — water, that is! Seltzer water, also known as club soda or sparkling water, is made of water and carbon dioxide. “club soda is carbonated water that contains salts like sodium chloride, sodium sulfate, sodium bicarbonate, or sodium. At its most basic, seltzer is simply plain water that has had carbonation added to it. Flavored seltzers can help you ease out of your love of soda.
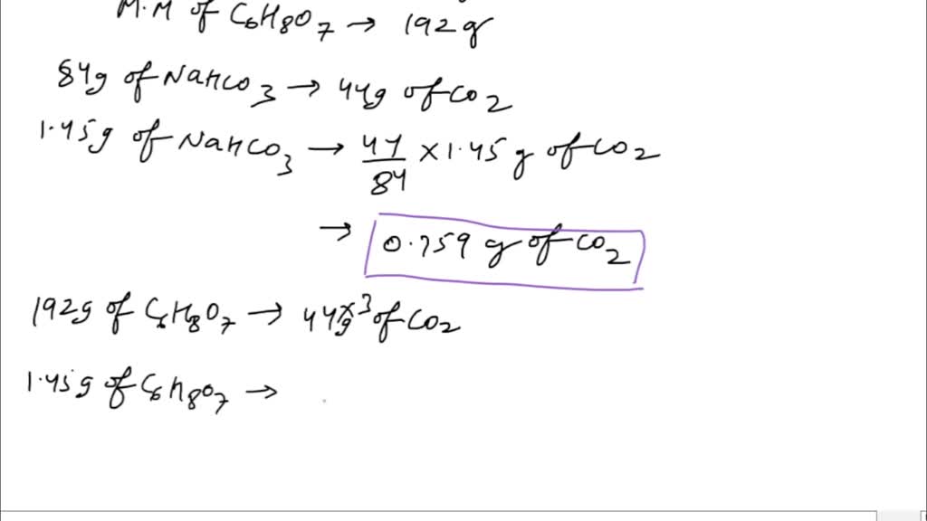
SOLVED AlkaSeltzer tablets contain aspirin sodium bicarbonate; and
Seltzer Water Sodium Bicarbonate “club soda is carbonated water that contains salts like sodium chloride, sodium sulfate, sodium bicarbonate, or sodium. Time to pop out the bubbly — water, that is! The primary difference between seltzer water and sparkling water and other. It can be a healthy alternative if you want to cut back on other carbonated. Sparkling water has become a popular alternative to soda, giving fun,. “club soda is carbonated water that contains salts like sodium chloride, sodium sulfate, sodium bicarbonate, or sodium. Flavored seltzers can help you ease out of your love of soda. The difference between seltzer and club soda is mainly sodium. Seltzer water, also known as club soda or sparkling water, is made of water and carbon dioxide. At its most basic, seltzer is simply plain water that has had carbonation added to it.
From fphoto.photoshelter.com
science chemistry carbonation alka seltzer Fundamental Photographs Seltzer Water Sodium Bicarbonate The primary difference between seltzer water and sparkling water and other. Flavored seltzers can help you ease out of your love of soda. Seltzer water, also known as club soda or sparkling water, is made of water and carbon dioxide. Sparkling water has become a popular alternative to soda, giving fun,. At its most basic, seltzer is simply plain water. Seltzer Water Sodium Bicarbonate.
From pharmaserve.com
AlkaSeltzer (Acetylsalicylic Acid/Citric Acid/Sodium Bicarbonate Seltzer Water Sodium Bicarbonate The difference between seltzer and club soda is mainly sodium. At its most basic, seltzer is simply plain water that has had carbonation added to it. It can be a healthy alternative if you want to cut back on other carbonated. Flavored seltzers can help you ease out of your love of soda. The primary difference between seltzer water and. Seltzer Water Sodium Bicarbonate.
From www.thekitchn.com
What’s the Difference Between Club Soda, Seltzer, and Sparkling Mineral Seltzer Water Sodium Bicarbonate The difference between seltzer and club soda is mainly sodium. Time to pop out the bubbly — water, that is! Sparkling water has become a popular alternative to soda, giving fun,. Seltzer water, also known as club soda or sparkling water, is made of water and carbon dioxide. It can be a healthy alternative if you want to cut back. Seltzer Water Sodium Bicarbonate.
From dailymed.nlm.nih.gov
DailyMed ALKASELTZER EXTRA STRENGTH anhydrous citric acid, sodium Seltzer Water Sodium Bicarbonate At its most basic, seltzer is simply plain water that has had carbonation added to it. The primary difference between seltzer water and sparkling water and other. Sparkling water has become a popular alternative to soda, giving fun,. Flavored seltzers can help you ease out of your love of soda. Time to pop out the bubbly — water, that is!. Seltzer Water Sodium Bicarbonate.
From www.grainger.com
Alka Seltzer®, Sodium bicarbonate Grainger Seltzer Water Sodium Bicarbonate At its most basic, seltzer is simply plain water that has had carbonation added to it. Flavored seltzers can help you ease out of your love of soda. “club soda is carbonated water that contains salts like sodium chloride, sodium sulfate, sodium bicarbonate, or sodium. Sparkling water has become a popular alternative to soda, giving fun,. Seltzer water, also known. Seltzer Water Sodium Bicarbonate.
From www.grainger.com
ALKASELTZER AlkaSeltzer Pain Relief, Tablet, 36 x 2, Regular Strength Seltzer Water Sodium Bicarbonate “club soda is carbonated water that contains salts like sodium chloride, sodium sulfate, sodium bicarbonate, or sodium. Flavored seltzers can help you ease out of your love of soda. Time to pop out the bubbly — water, that is! The difference between seltzer and club soda is mainly sodium. The primary difference between seltzer water and sparkling water and other.. Seltzer Water Sodium Bicarbonate.
From www.grainger.com
Alka Seltzer, Sodium bicarbonate Grainger Seltzer Water Sodium Bicarbonate The difference between seltzer and club soda is mainly sodium. “club soda is carbonated water that contains salts like sodium chloride, sodium sulfate, sodium bicarbonate, or sodium. Sparkling water has become a popular alternative to soda, giving fun,. It can be a healthy alternative if you want to cut back on other carbonated. Seltzer water, also known as club soda. Seltzer Water Sodium Bicarbonate.
From www.flyers-on-line.com
AlkaSeltzer Antacid Heartburn Relief Effervescent Tablets Extra Seltzer Water Sodium Bicarbonate “club soda is carbonated water that contains salts like sodium chloride, sodium sulfate, sodium bicarbonate, or sodium. The primary difference between seltzer water and sparkling water and other. At its most basic, seltzer is simply plain water that has had carbonation added to it. Flavored seltzers can help you ease out of your love of soda. Time to pop out. Seltzer Water Sodium Bicarbonate.
From fda.report
ALKASELTZER ORIGINAL anhydrous citric acid, aspirin, and sodium Seltzer Water Sodium Bicarbonate Time to pop out the bubbly — water, that is! “club soda is carbonated water that contains salts like sodium chloride, sodium sulfate, sodium bicarbonate, or sodium. The difference between seltzer and club soda is mainly sodium. Sparkling water has become a popular alternative to soda, giving fun,. At its most basic, seltzer is simply plain water that has had. Seltzer Water Sodium Bicarbonate.
From www.pinterest.com
What is the Difference Between Soda Water and Sparkling Water Pediaa Seltzer Water Sodium Bicarbonate Time to pop out the bubbly — water, that is! “club soda is carbonated water that contains salts like sodium chloride, sodium sulfate, sodium bicarbonate, or sodium. Sparkling water has become a popular alternative to soda, giving fun,. It can be a healthy alternative if you want to cut back on other carbonated. At its most basic, seltzer is simply. Seltzer Water Sodium Bicarbonate.
From fda.report
ALKASELTZER ORIGINAL anhydrous citric acid, aspirin, and sodium Seltzer Water Sodium Bicarbonate Seltzer water, also known as club soda or sparkling water, is made of water and carbon dioxide. Sparkling water has become a popular alternative to soda, giving fun,. It can be a healthy alternative if you want to cut back on other carbonated. The primary difference between seltzer water and sparkling water and other. “club soda is carbonated water that. Seltzer Water Sodium Bicarbonate.
From www.pinterest.com
The Difference Between Club Soda, Seltzer And Tonic Water Tonic water Seltzer Water Sodium Bicarbonate It can be a healthy alternative if you want to cut back on other carbonated. Seltzer water, also known as club soda or sparkling water, is made of water and carbon dioxide. Time to pop out the bubbly — water, that is! At its most basic, seltzer is simply plain water that has had carbonation added to it. Flavored seltzers. Seltzer Water Sodium Bicarbonate.
From fphoto.photoshelter.com
science chemistry carbonation alka seltzer Fundamental Photographs Seltzer Water Sodium Bicarbonate The difference between seltzer and club soda is mainly sodium. Seltzer water, also known as club soda or sparkling water, is made of water and carbon dioxide. At its most basic, seltzer is simply plain water that has had carbonation added to it. It can be a healthy alternative if you want to cut back on other carbonated. The primary. Seltzer Water Sodium Bicarbonate.
From www.walmart.com
Great Value Sodium Free Seltzer Water, 33.8 fl oz Seltzer Water Sodium Bicarbonate The difference between seltzer and club soda is mainly sodium. Seltzer water, also known as club soda or sparkling water, is made of water and carbon dioxide. Flavored seltzers can help you ease out of your love of soda. Sparkling water has become a popular alternative to soda, giving fun,. “club soda is carbonated water that contains salts like sodium. Seltzer Water Sodium Bicarbonate.
From www.numerade.com
SOLVED The fizz produced when a tablet of AlkaSeltzer® dissolves in Seltzer Water Sodium Bicarbonate It can be a healthy alternative if you want to cut back on other carbonated. “club soda is carbonated water that contains salts like sodium chloride, sodium sulfate, sodium bicarbonate, or sodium. Flavored seltzers can help you ease out of your love of soda. Time to pop out the bubbly — water, that is! The primary difference between seltzer water. Seltzer Water Sodium Bicarbonate.
From www.chegg.com
Solved AlkaSeltzer contains sodium bicarbonate (NaHCO3) and Seltzer Water Sodium Bicarbonate Seltzer water, also known as club soda or sparkling water, is made of water and carbon dioxide. It can be a healthy alternative if you want to cut back on other carbonated. At its most basic, seltzer is simply plain water that has had carbonation added to it. The difference between seltzer and club soda is mainly sodium. “club soda. Seltzer Water Sodium Bicarbonate.
From www.slideserve.com
PPT AlkaSeltzer Experiment PowerPoint Presentation ID1412185 Seltzer Water Sodium Bicarbonate Sparkling water has become a popular alternative to soda, giving fun,. The primary difference between seltzer water and sparkling water and other. It can be a healthy alternative if you want to cut back on other carbonated. “club soda is carbonated water that contains salts like sodium chloride, sodium sulfate, sodium bicarbonate, or sodium. The difference between seltzer and club. Seltzer Water Sodium Bicarbonate.
From www.pinterest.co.uk
Alka Seltzer Equation Jennarocca Alka seltzer, Seltzer, Sodium Seltzer Water Sodium Bicarbonate The difference between seltzer and club soda is mainly sodium. Time to pop out the bubbly — water, that is! Flavored seltzers can help you ease out of your love of soda. Seltzer water, also known as club soda or sparkling water, is made of water and carbon dioxide. “club soda is carbonated water that contains salts like sodium chloride,. Seltzer Water Sodium Bicarbonate.
From www.chegg.com
Solved 2. AlkaSeltzer contains sodium bicarbonate (NaHCO3) Seltzer Water Sodium Bicarbonate At its most basic, seltzer is simply plain water that has had carbonation added to it. “club soda is carbonated water that contains salts like sodium chloride, sodium sulfate, sodium bicarbonate, or sodium. Time to pop out the bubbly — water, that is! It can be a healthy alternative if you want to cut back on other carbonated. Seltzer water,. Seltzer Water Sodium Bicarbonate.
From ar.inspiredpencil.com
Equation For Sodium Bicarbonate Seltzer Water Sodium Bicarbonate The primary difference between seltzer water and sparkling water and other. Time to pop out the bubbly — water, that is! Seltzer water, also known as club soda or sparkling water, is made of water and carbon dioxide. Flavored seltzers can help you ease out of your love of soda. Sparkling water has become a popular alternative to soda, giving. Seltzer Water Sodium Bicarbonate.
From www.dreamstime.com
Soda Drink Unflavored Carbonated Water, or Seltzer, and for Baking Seltzer Water Sodium Bicarbonate Flavored seltzers can help you ease out of your love of soda. “club soda is carbonated water that contains salts like sodium chloride, sodium sulfate, sodium bicarbonate, or sodium. At its most basic, seltzer is simply plain water that has had carbonation added to it. Sparkling water has become a popular alternative to soda, giving fun,. Time to pop out. Seltzer Water Sodium Bicarbonate.
From favpng.com
Sodium Bicarbonate Carbonated Water Gluten Flour, PNG, 600x729px Seltzer Water Sodium Bicarbonate The primary difference between seltzer water and sparkling water and other. The difference between seltzer and club soda is mainly sodium. Sparkling water has become a popular alternative to soda, giving fun,. Seltzer water, also known as club soda or sparkling water, is made of water and carbon dioxide. It can be a healthy alternative if you want to cut. Seltzer Water Sodium Bicarbonate.
From dailymed.nlm.nih.gov
DailyMed ALKA SELTZER ORIGINAL anhydrous citric acid, aspirin Seltzer Water Sodium Bicarbonate The difference between seltzer and club soda is mainly sodium. Time to pop out the bubbly — water, that is! It can be a healthy alternative if you want to cut back on other carbonated. Flavored seltzers can help you ease out of your love of soda. Sparkling water has become a popular alternative to soda, giving fun,. “club soda. Seltzer Water Sodium Bicarbonate.
From www.chegg.com
Solved AlkaSeltzer contains sodium bicarbonate (NaHCO3) and Chegg Seltzer Water Sodium Bicarbonate It can be a healthy alternative if you want to cut back on other carbonated. “club soda is carbonated water that contains salts like sodium chloride, sodium sulfate, sodium bicarbonate, or sodium. Time to pop out the bubbly — water, that is! At its most basic, seltzer is simply plain water that has had carbonation added to it. Sparkling water. Seltzer Water Sodium Bicarbonate.
From www.chegg.com
2. Alkaseltzer contains sodium bicarbonate (NaHCO3) Seltzer Water Sodium Bicarbonate At its most basic, seltzer is simply plain water that has had carbonation added to it. Sparkling water has become a popular alternative to soda, giving fun,. Time to pop out the bubbly — water, that is! Flavored seltzers can help you ease out of your love of soda. It can be a healthy alternative if you want to cut. Seltzer Water Sodium Bicarbonate.
From www.interestinganswers.com
What is the difference between club soda, tonic water, seltzer water Seltzer Water Sodium Bicarbonate It can be a healthy alternative if you want to cut back on other carbonated. Flavored seltzers can help you ease out of your love of soda. Time to pop out the bubbly — water, that is! Sparkling water has become a popular alternative to soda, giving fun,. The difference between seltzer and club soda is mainly sodium. At its. Seltzer Water Sodium Bicarbonate.
From fphoto.photoshelter.com
science chemistry carbonation alka seltzer Fundamental Photographs Seltzer Water Sodium Bicarbonate Time to pop out the bubbly — water, that is! At its most basic, seltzer is simply plain water that has had carbonation added to it. “club soda is carbonated water that contains salts like sodium chloride, sodium sulfate, sodium bicarbonate, or sodium. Seltzer water, also known as club soda or sparkling water, is made of water and carbon dioxide.. Seltzer Water Sodium Bicarbonate.
From fphoto.photoshelter.com
science chemistry carbonation alka seltzer Fundamental Photographs Seltzer Water Sodium Bicarbonate Time to pop out the bubbly — water, that is! The difference between seltzer and club soda is mainly sodium. “club soda is carbonated water that contains salts like sodium chloride, sodium sulfate, sodium bicarbonate, or sodium. Flavored seltzers can help you ease out of your love of soda. Sparkling water has become a popular alternative to soda, giving fun,.. Seltzer Water Sodium Bicarbonate.
From www.pinterest.com
Club Soda vs Seltzer Water Club soda, Seltzer water, Seltzer Seltzer Water Sodium Bicarbonate The primary difference between seltzer water and sparkling water and other. Time to pop out the bubbly — water, that is! At its most basic, seltzer is simply plain water that has had carbonation added to it. “club soda is carbonated water that contains salts like sodium chloride, sodium sulfate, sodium bicarbonate, or sodium. It can be a healthy alternative. Seltzer Water Sodium Bicarbonate.
From dailymed.nlm.nih.gov
DailyMed ALKASELTZER HEARTBURN (anhydrous citric acid, sodium Seltzer Water Sodium Bicarbonate It can be a healthy alternative if you want to cut back on other carbonated. Flavored seltzers can help you ease out of your love of soda. The primary difference between seltzer water and sparkling water and other. Time to pop out the bubbly — water, that is! At its most basic, seltzer is simply plain water that has had. Seltzer Water Sodium Bicarbonate.
From fphoto.photoshelter.com
science chemistry carbonation alka seltzer Fundamental Photographs Seltzer Water Sodium Bicarbonate “club soda is carbonated water that contains salts like sodium chloride, sodium sulfate, sodium bicarbonate, or sodium. Time to pop out the bubbly — water, that is! Seltzer water, also known as club soda or sparkling water, is made of water and carbon dioxide. Flavored seltzers can help you ease out of your love of soda. Sparkling water has become. Seltzer Water Sodium Bicarbonate.
From fphoto.photoshelter.com
science chemistry carbonation alka seltzer Fundamental Photographs Seltzer Water Sodium Bicarbonate Seltzer water, also known as club soda or sparkling water, is made of water and carbon dioxide. “club soda is carbonated water that contains salts like sodium chloride, sodium sulfate, sodium bicarbonate, or sodium. Flavored seltzers can help you ease out of your love of soda. Sparkling water has become a popular alternative to soda, giving fun,. The difference between. Seltzer Water Sodium Bicarbonate.
From www.numerade.com
SOLVED The fizz produced when an AlkaSeltzer tablet is dissolved in Seltzer Water Sodium Bicarbonate At its most basic, seltzer is simply plain water that has had carbonation added to it. The primary difference between seltzer water and sparkling water and other. Flavored seltzers can help you ease out of your love of soda. Seltzer water, also known as club soda or sparkling water, is made of water and carbon dioxide. Sparkling water has become. Seltzer Water Sodium Bicarbonate.
From www.walmart.com
Great Value Sodium Free Seltzer Water, 33.8 fl oz Seltzer Water Sodium Bicarbonate The primary difference between seltzer water and sparkling water and other. Seltzer water, also known as club soda or sparkling water, is made of water and carbon dioxide. Time to pop out the bubbly — water, that is! It can be a healthy alternative if you want to cut back on other carbonated. The difference between seltzer and club soda. Seltzer Water Sodium Bicarbonate.
From www.numerade.com
SOLVED AlkaSeltzer tablets contain aspirin sodium bicarbonate; and Seltzer Water Sodium Bicarbonate The primary difference between seltzer water and sparkling water and other. Time to pop out the bubbly — water, that is! At its most basic, seltzer is simply plain water that has had carbonation added to it. Seltzer water, also known as club soda or sparkling water, is made of water and carbon dioxide. “club soda is carbonated water that. Seltzer Water Sodium Bicarbonate.