Continuous Linear Operator Norm . Once, you know that use the fact that bounded and linear operators. Find the norm of t.  learn the definitions and properties of linear operators and functionals between normed spaces, and how to construct their.   $\begingroup$ show that the operator is bounded.  (a) show that t is a continuous linear operator from $l^{2}$ to $l^{\infty}$.   the operator norm is a norm defined on the space of bounded linear operators between two given normed. A linear (not necessarily continuous) map t :
        
         
         
        from isai-has-powell.blogspot.com 
     
        
         (a) show that t is a continuous linear operator from $l^{2}$ to $l^{\infty}$.   the operator norm is a norm defined on the space of bounded linear operators between two given normed.  learn the definitions and properties of linear operators and functionals between normed spaces, and how to construct their. A linear (not necessarily continuous) map t : Find the norm of t.   $\begingroup$ show that the operator is bounded. Once, you know that use the fact that bounded and linear operators.
    
    	
            
	
		 
	 
         
    Standard Deviation of Linear Combination of Random Variables Isaihas 
    Continuous Linear Operator Norm    $\begingroup$ show that the operator is bounded.  (a) show that t is a continuous linear operator from $l^{2}$ to $l^{\infty}$. Find the norm of t.  learn the definitions and properties of linear operators and functionals between normed spaces, and how to construct their.   the operator norm is a norm defined on the space of bounded linear operators between two given normed. Once, you know that use the fact that bounded and linear operators. A linear (not necessarily continuous) map t :   $\begingroup$ show that the operator is bounded.
            
	
		 
	 
         
 
    
         
        From www.academia.edu 
                    (PDF) Bounded and Continuous Linear Operators on Linear 2Normed Space Continuous Linear Operator Norm  A linear (not necessarily continuous) map t :   $\begingroup$ show that the operator is bounded.  learn the definitions and properties of linear operators and functionals between normed spaces, and how to construct their.  (a) show that t is a continuous linear operator from $l^{2}$ to $l^{\infty}$.   the operator norm is a norm defined on the space. Continuous Linear Operator Norm.
     
    
         
        From www.researchgate.net 
                    The Banach constant Γ(T) and norm ∥T∥ of a linear operator T shown as Continuous Linear Operator Norm  Once, you know that use the fact that bounded and linear operators.   $\begingroup$ show that the operator is bounded.  (a) show that t is a continuous linear operator from $l^{2}$ to $l^{\infty}$.  learn the definitions and properties of linear operators and functionals between normed spaces, and how to construct their.   the operator norm is a norm. Continuous Linear Operator Norm.
     
    
         
        From www.slideserve.com 
                    PPT Lecture 20 Continuous Problems Linear Operators and Their Continuous Linear Operator Norm  Once, you know that use the fact that bounded and linear operators. Find the norm of t.   $\begingroup$ show that the operator is bounded. A linear (not necessarily continuous) map t :  (a) show that t is a continuous linear operator from $l^{2}$ to $l^{\infty}$.   the operator norm is a norm defined on the space of bounded. Continuous Linear Operator Norm.
     
    
         
        From www.numerade.com 
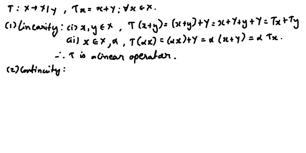
                    SOLVED for a normed space X the map T X> X/Y given by Tx = x + Y Continuous Linear Operator Norm    the operator norm is a norm defined on the space of bounded linear operators between two given normed. Find the norm of t. A linear (not necessarily continuous) map t : Once, you know that use the fact that bounded and linear operators.  learn the definitions and properties of linear operators and functionals between normed spaces, and how. Continuous Linear Operator Norm.
     
    
         
        From exomdjudt.blob.core.windows.net 
                    Continuous Linear Functional Definition at Vilma Vinson blog Continuous Linear Operator Norm   (a) show that t is a continuous linear operator from $l^{2}$ to $l^{\infty}$.   $\begingroup$ show that the operator is bounded.   the operator norm is a norm defined on the space of bounded linear operators between two given normed. Find the norm of t. Once, you know that use the fact that bounded and linear operators.  learn. Continuous Linear Operator Norm.
     
    
         
        From studylib.net 
                    Chapter 7 Spectral Theory Of Linear Operators In Normed Spaces Continuous Linear Operator Norm  Find the norm of t.  (a) show that t is a continuous linear operator from $l^{2}$ to $l^{\infty}$.   $\begingroup$ show that the operator is bounded.  learn the definitions and properties of linear operators and functionals between normed spaces, and how to construct their.   the operator norm is a norm defined on the space of bounded linear. Continuous Linear Operator Norm.
     
    
         
        From www.scribd.com 
                    22 2 Continuity Operator Norm PDF Vector Space Linear Map Continuous Linear Operator Norm  A linear (not necessarily continuous) map t :   the operator norm is a norm defined on the space of bounded linear operators between two given normed.  learn the definitions and properties of linear operators and functionals between normed spaces, and how to construct their. Find the norm of t. Once, you know that use the fact that bounded. Continuous Linear Operator Norm.
     
    
         
        From www.youtube.com 
                    Norm of a linear operator YouTube Continuous Linear Operator Norm    $\begingroup$ show that the operator is bounded. Find the norm of t. Once, you know that use the fact that bounded and linear operators. A linear (not necessarily continuous) map t :   the operator norm is a norm defined on the space of bounded linear operators between two given normed.  (a) show that t is a continuous. Continuous Linear Operator Norm.
     
    
         
        From lms.su.edu.pk 
                    SU LMS Continuous Linear Operator Norm    the operator norm is a norm defined on the space of bounded linear operators between two given normed.   $\begingroup$ show that the operator is bounded. Find the norm of t.  (a) show that t is a continuous linear operator from $l^{2}$ to $l^{\infty}$. A linear (not necessarily continuous) map t : Once, you know that use the. Continuous Linear Operator Norm.
     
    
         
        From www.numerade.com 
                    SOLVEDLet X be a normed linear space and let Y be a Banach space. Let Continuous Linear Operator Norm  Once, you know that use the fact that bounded and linear operators.  (a) show that t is a continuous linear operator from $l^{2}$ to $l^{\infty}$.   the operator norm is a norm defined on the space of bounded linear operators between two given normed. A linear (not necessarily continuous) map t :  learn the definitions and properties of. Continuous Linear Operator Norm.
     
    
         
        From www.studypool.com 
                    SOLUTION Bounded and continuous linear operators Studypool Continuous Linear Operator Norm  A linear (not necessarily continuous) map t : Find the norm of t.   the operator norm is a norm defined on the space of bounded linear operators between two given normed. Once, you know that use the fact that bounded and linear operators.  (a) show that t is a continuous linear operator from $l^{2}$ to $l^{\infty}$.  learn. Continuous Linear Operator Norm.
     
    
         
        From www.youtube.com 
                    22 Continuous Linear Operator Functional Analysis Continuous Linear Continuous Linear Operator Norm    $\begingroup$ show that the operator is bounded. Once, you know that use the fact that bounded and linear operators.  learn the definitions and properties of linear operators and functionals between normed spaces, and how to construct their. A linear (not necessarily continuous) map t : Find the norm of t.   the operator norm is a norm defined. Continuous Linear Operator Norm.
     
    
         
        From www.youtube.com 
                    Continuous or Bounded Linear Operators Functional Analysis Lecture Continuous Linear Operator Norm   (a) show that t is a continuous linear operator from $l^{2}$ to $l^{\infty}$.   $\begingroup$ show that the operator is bounded. Once, you know that use the fact that bounded and linear operators.   the operator norm is a norm defined on the space of bounded linear operators between two given normed.  learn the definitions and properties of. Continuous Linear Operator Norm.
     
    
         
        From www.numerade.com 
                    SOLVEDAssume that T is a linear operator from a normed space X into a Continuous Linear Operator Norm  A linear (not necessarily continuous) map t :   the operator norm is a norm defined on the space of bounded linear operators between two given normed. Find the norm of t.  learn the definitions and properties of linear operators and functionals between normed spaces, and how to construct their. Once, you know that use the fact that bounded. Continuous Linear Operator Norm.
     
    
         
        From www.researchgate.net 
                    (PDF) The norm of continuous linear operator between two fuzzy quasi Continuous Linear Operator Norm   learn the definitions and properties of linear operators and functionals between normed spaces, and how to construct their. Once, you know that use the fact that bounded and linear operators. Find the norm of t.   the operator norm is a norm defined on the space of bounded linear operators between two given normed. A linear (not necessarily continuous). Continuous Linear Operator Norm.
     
    
         
        From www.chegg.com 
                    Solved = Exercise 5. (The continuous dual) The operator norm Continuous Linear Operator Norm   (a) show that t is a continuous linear operator from $l^{2}$ to $l^{\infty}$.  learn the definitions and properties of linear operators and functionals between normed spaces, and how to construct their. Once, you know that use the fact that bounded and linear operators. A linear (not necessarily continuous) map t : Find the norm of t.   the. Continuous Linear Operator Norm.
     
    
         
        From www.researchgate.net 
                    (PDF) Fuzzy Bounded and Continuous Linear Operators on Standard Fuzzy Continuous Linear Operator Norm  Find the norm of t.   $\begingroup$ show that the operator is bounded. Once, you know that use the fact that bounded and linear operators. A linear (not necessarily continuous) map t :  learn the definitions and properties of linear operators and functionals between normed spaces, and how to construct their.  (a) show that t is a continuous. Continuous Linear Operator Norm.
     
    
         
        From www.numerade.com 
                    SOLVEDA linear operator from a normed linear space X into a normed Continuous Linear Operator Norm  Once, you know that use the fact that bounded and linear operators.   $\begingroup$ show that the operator is bounded.   the operator norm is a norm defined on the space of bounded linear operators between two given normed. Find the norm of t. A linear (not necessarily continuous) map t :  learn the definitions and properties of linear. Continuous Linear Operator Norm.
     
    
         
        From www.youtube.com 
                    Advanced Linear Algebra Lecture 40 The Operator Norm of a Matrix Continuous Linear Operator Norm  Once, you know that use the fact that bounded and linear operators.  learn the definitions and properties of linear operators and functionals between normed spaces, and how to construct their. A linear (not necessarily continuous) map t : Find the norm of t.   the operator norm is a norm defined on the space of bounded linear operators between. Continuous Linear Operator Norm.
     
    
         
        From www.numerade.com 
                    SOLVEDProve that a) A linear combination of completely continuous Continuous Linear Operator Norm    $\begingroup$ show that the operator is bounded.   the operator norm is a norm defined on the space of bounded linear operators between two given normed. Once, you know that use the fact that bounded and linear operators. Find the norm of t.  (a) show that t is a continuous linear operator from $l^{2}$ to $l^{\infty}$.  learn. Continuous Linear Operator Norm.
     
    
         
        From www.researchgate.net 
                    (PDF) Continuity of Multilinear Operator on Normed Linear Spaces Continuous Linear Operator Norm   learn the definitions and properties of linear operators and functionals between normed spaces, and how to construct their. Find the norm of t. Once, you know that use the fact that bounded and linear operators.   $\begingroup$ show that the operator is bounded. A linear (not necessarily continuous) map t :   the operator norm is a norm defined. Continuous Linear Operator Norm.
     
    
         
        From www.slideserve.com 
                    PPT IllPosedness and Regularization of Linear Operators (1 lecture Continuous Linear Operator Norm  Find the norm of t.  (a) show that t is a continuous linear operator from $l^{2}$ to $l^{\infty}$.  learn the definitions and properties of linear operators and functionals between normed spaces, and how to construct their.   $\begingroup$ show that the operator is bounded. A linear (not necessarily continuous) map t :   the operator norm is a. Continuous Linear Operator Norm.
     
    
         
        From www.numerade.com 
                    SOLVED Let X and Y be normed linear spaces, and A X →Y be a linear Continuous Linear Operator Norm    $\begingroup$ show that the operator is bounded.  (a) show that t is a continuous linear operator from $l^{2}$ to $l^{\infty}$.  learn the definitions and properties of linear operators and functionals between normed spaces, and how to construct their. A linear (not necessarily continuous) map t : Once, you know that use the fact that bounded and linear. Continuous Linear Operator Norm.
     
    
         
        From isai-has-powell.blogspot.com 
                    Standard Deviation of Linear Combination of Random Variables Isaihas Continuous Linear Operator Norm  Find the norm of t. Once, you know that use the fact that bounded and linear operators.   the operator norm is a norm defined on the space of bounded linear operators between two given normed. A linear (not necessarily continuous) map t :   $\begingroup$ show that the operator is bounded.  (a) show that t is a continuous. Continuous Linear Operator Norm.
     
    
         
        From www.youtube.com 
                    Normed of a bounded or continuous linear operator YouTube Continuous Linear Operator Norm  Find the norm of t.  (a) show that t is a continuous linear operator from $l^{2}$ to $l^{\infty}$.   the operator norm is a norm defined on the space of bounded linear operators between two given normed.  learn the definitions and properties of linear operators and functionals between normed spaces, and how to construct their. A linear (not. Continuous Linear Operator Norm.
     
    
         
        From www.youtube.com 
                    Alg2T Ch1.1.2 One to One, Continuous, Linear Functions YouTube Continuous Linear Operator Norm   learn the definitions and properties of linear operators and functionals between normed spaces, and how to construct their.   $\begingroup$ show that the operator is bounded. Find the norm of t.   the operator norm is a norm defined on the space of bounded linear operators between two given normed. A linear (not necessarily continuous) map t : . Continuous Linear Operator Norm.
     
    
         
        From www.youtube.com 
                    Functional Analysis 14 Example Operator Norm YouTube Continuous Linear Operator Norm    the operator norm is a norm defined on the space of bounded linear operators between two given normed.   $\begingroup$ show that the operator is bounded.  (a) show that t is a continuous linear operator from $l^{2}$ to $l^{\infty}$. A linear (not necessarily continuous) map t :  learn the definitions and properties of linear operators and functionals. Continuous Linear Operator Norm.
     
    
         
        From www.youtube.com 
                    3.3.7Linear Algebra Vector and Matrix Norms YouTube Continuous Linear Operator Norm   learn the definitions and properties of linear operators and functionals between normed spaces, and how to construct their. A linear (not necessarily continuous) map t : Once, you know that use the fact that bounded and linear operators.   $\begingroup$ show that the operator is bounded. Find the norm of t.  (a) show that t is a continuous. Continuous Linear Operator Norm.
     
    
         
        From math.stackexchange.com 
                    functional analysis Norm of linear continuous functions on a Banach Continuous Linear Operator Norm    $\begingroup$ show that the operator is bounded. Find the norm of t.  learn the definitions and properties of linear operators and functionals between normed spaces, and how to construct their. A linear (not necessarily continuous) map t :   the operator norm is a norm defined on the space of bounded linear operators between two given normed. Once,. Continuous Linear Operator Norm.
     
    
         
        From math.stackexchange.com 
                    Linear operator norm problem(PNS mathematics) Mathematics Stack Exchange Continuous Linear Operator Norm    $\begingroup$ show that the operator is bounded.  learn the definitions and properties of linear operators and functionals between normed spaces, and how to construct their. Find the norm of t. Once, you know that use the fact that bounded and linear operators. A linear (not necessarily continuous) map t :  (a) show that t is a continuous. Continuous Linear Operator Norm.
     
    
         
        From www.transtutors.com 
                    (Solved) ) Let T X Y Be A Bounded Linear Operator Between Normed Continuous Linear Operator Norm  A linear (not necessarily continuous) map t : Find the norm of t. Once, you know that use the fact that bounded and linear operators.   the operator norm is a norm defined on the space of bounded linear operators between two given normed.  (a) show that t is a continuous linear operator from $l^{2}$ to $l^{\infty}$.   $\begingroup$. Continuous Linear Operator Norm.
     
    
         
        From www.researchgate.net 
                    (PDF) TOPOLOGY OF QUASIPSEUDOMETRIC SPACES AND CONTINUOUS LINEAR Continuous Linear Operator Norm    the operator norm is a norm defined on the space of bounded linear operators between two given normed.  learn the definitions and properties of linear operators and functionals between normed spaces, and how to construct their. Once, you know that use the fact that bounded and linear operators. A linear (not necessarily continuous) map t :  (a). Continuous Linear Operator Norm.
     
    
         
        From www.youtube.com 
                    Lec 13 Bounded and continuous linear transformations in Normed linear Continuous Linear Operator Norm   (a) show that t is a continuous linear operator from $l^{2}$ to $l^{\infty}$. Once, you know that use the fact that bounded and linear operators.   the operator norm is a norm defined on the space of bounded linear operators between two given normed. A linear (not necessarily continuous) map t : Find the norm of t.  learn. Continuous Linear Operator Norm.
     
    
         
        From www.numerade.com 
                    SOLVEDThe BanachSaksSteinhaus Theorem Let X be a Banach space; Y Continuous Linear Operator Norm    $\begingroup$ show that the operator is bounded.   the operator norm is a norm defined on the space of bounded linear operators between two given normed. Find the norm of t.  learn the definitions and properties of linear operators and functionals between normed spaces, and how to construct their.  (a) show that t is a continuous linear. Continuous Linear Operator Norm.
     
    
         
        From www.researchgate.net 
                    (PDF) New Types of Continuous Linear Operator in Probabilistic Normed Space Continuous Linear Operator Norm    $\begingroup$ show that the operator is bounded. A linear (not necessarily continuous) map t :  (a) show that t is a continuous linear operator from $l^{2}$ to $l^{\infty}$. Once, you know that use the fact that bounded and linear operators. Find the norm of t.  learn the definitions and properties of linear operators and functionals between normed. Continuous Linear Operator Norm.