Stagnation Temperature Isentropic Flow . By looking at stagnation properties and isentropic flow, we can figure out how temperature, pressure, and density change as fluids move through. Note that the stagnation temperature is greater than the flow temperature. Mach number, static pressure, and stagnation temperature. For the perfect gas, the stagnation temperature is derived from the isentropic total temperature equation: The stagnation temperature is the temperature that the fluid would reach if it were brought to zero speed by. This is because when the flow is decelerated to zero velocity, the. On this slide we have collected many of the important. The quantity that is conserved is called the stagnation temperature. Rewrite stagnation properties in terms of mach number for thermally and calorically perfect gases. The mach number (see mach number calculator) connects area,. The isentropic relations are no longer valid and the flow is governed by the oblique or normal shock relations. Stagnation properties and mach number.
from www.chegg.com
Mach number, static pressure, and stagnation temperature. Stagnation properties and mach number. The quantity that is conserved is called the stagnation temperature. The stagnation temperature is the temperature that the fluid would reach if it were brought to zero speed by. The isentropic relations are no longer valid and the flow is governed by the oblique or normal shock relations. For the perfect gas, the stagnation temperature is derived from the isentropic total temperature equation: On this slide we have collected many of the important. Rewrite stagnation properties in terms of mach number for thermally and calorically perfect gases. Note that the stagnation temperature is greater than the flow temperature. By looking at stagnation properties and isentropic flow, we can figure out how temperature, pressure, and density change as fluids move through.
Problem 6 • Duct flow • Consider isentropic flow
Stagnation Temperature Isentropic Flow Stagnation properties and mach number. On this slide we have collected many of the important. Mach number, static pressure, and stagnation temperature. Note that the stagnation temperature is greater than the flow temperature. The stagnation temperature is the temperature that the fluid would reach if it were brought to zero speed by. The quantity that is conserved is called the stagnation temperature. By looking at stagnation properties and isentropic flow, we can figure out how temperature, pressure, and density change as fluids move through. Rewrite stagnation properties in terms of mach number for thermally and calorically perfect gases. The mach number (see mach number calculator) connects area,. The isentropic relations are no longer valid and the flow is governed by the oblique or normal shock relations. For the perfect gas, the stagnation temperature is derived from the isentropic total temperature equation: This is because when the flow is decelerated to zero velocity, the. Stagnation properties and mach number.
From www.slideserve.com
PPT Ch.3 Isentropic Flow of a Perfect Gas PowerPoint Presentation Stagnation Temperature Isentropic Flow On this slide we have collected many of the important. For the perfect gas, the stagnation temperature is derived from the isentropic total temperature equation: Mach number, static pressure, and stagnation temperature. By looking at stagnation properties and isentropic flow, we can figure out how temperature, pressure, and density change as fluids move through. The stagnation temperature is the temperature. Stagnation Temperature Isentropic Flow.
From www.mdpi.com
Energies Free FullText Generalised Isentropic Relations in Stagnation Temperature Isentropic Flow On this slide we have collected many of the important. This is because when the flow is decelerated to zero velocity, the. By looking at stagnation properties and isentropic flow, we can figure out how temperature, pressure, and density change as fluids move through. Note that the stagnation temperature is greater than the flow temperature. The quantity that is conserved. Stagnation Temperature Isentropic Flow.
From www.chegg.com
Consider isentropic flow of an ideal gas with Stagnation Temperature Isentropic Flow For the perfect gas, the stagnation temperature is derived from the isentropic total temperature equation: By looking at stagnation properties and isentropic flow, we can figure out how temperature, pressure, and density change as fluids move through. The stagnation temperature is the temperature that the fluid would reach if it were brought to zero speed by. The quantity that is. Stagnation Temperature Isentropic Flow.
From brainly.in
isentropic flow equations betweem pressure and density Brainly.in Stagnation Temperature Isentropic Flow Mach number, static pressure, and stagnation temperature. This is because when the flow is decelerated to zero velocity, the. On this slide we have collected many of the important. The quantity that is conserved is called the stagnation temperature. The stagnation temperature is the temperature that the fluid would reach if it were brought to zero speed by. The isentropic. Stagnation Temperature Isentropic Flow.
From www.chegg.com
Solved Consider onedimensional isentropic flow of air Stagnation Temperature Isentropic Flow For the perfect gas, the stagnation temperature is derived from the isentropic total temperature equation: The quantity that is conserved is called the stagnation temperature. Mach number, static pressure, and stagnation temperature. On this slide we have collected many of the important. Stagnation properties and mach number. The mach number (see mach number calculator) connects area,. By looking at stagnation. Stagnation Temperature Isentropic Flow.
From www.slideserve.com
PPT Stagnation Properties PowerPoint Presentation, free download ID Stagnation Temperature Isentropic Flow Rewrite stagnation properties in terms of mach number for thermally and calorically perfect gases. This is because when the flow is decelerated to zero velocity, the. Stagnation properties and mach number. The quantity that is conserved is called the stagnation temperature. The mach number (see mach number calculator) connects area,. The isentropic relations are no longer valid and the flow. Stagnation Temperature Isentropic Flow.
From physicscalculatorpro.com
Isentropic Flow Calculator How to Calculate Isentropic flow Stagnation Temperature Isentropic Flow Mach number, static pressure, and stagnation temperature. For the perfect gas, the stagnation temperature is derived from the isentropic total temperature equation: On this slide we have collected many of the important. Stagnation properties and mach number. The stagnation temperature is the temperature that the fluid would reach if it were brought to zero speed by. Note that the stagnation. Stagnation Temperature Isentropic Flow.
From www.youtube.com
Derivation for Stagnation Density and Temperature Compressible Flow Stagnation Temperature Isentropic Flow Note that the stagnation temperature is greater than the flow temperature. This is because when the flow is decelerated to zero velocity, the. The quantity that is conserved is called the stagnation temperature. Stagnation properties and mach number. The mach number (see mach number calculator) connects area,. The isentropic relations are no longer valid and the flow is governed by. Stagnation Temperature Isentropic Flow.
From www.youtube.com
Compressible Flow Part 2 of 4 Stagnation Temperature YouTube Stagnation Temperature Isentropic Flow The isentropic relations are no longer valid and the flow is governed by the oblique or normal shock relations. By looking at stagnation properties and isentropic flow, we can figure out how temperature, pressure, and density change as fluids move through. Mach number, static pressure, and stagnation temperature. The stagnation temperature is the temperature that the fluid would reach if. Stagnation Temperature Isentropic Flow.
From www.youtube.com
5.2.1 Isentropic flow (Concept) YouTube Stagnation Temperature Isentropic Flow For the perfect gas, the stagnation temperature is derived from the isentropic total temperature equation: Stagnation properties and mach number. Rewrite stagnation properties in terms of mach number for thermally and calorically perfect gases. On this slide we have collected many of the important. By looking at stagnation properties and isentropic flow, we can figure out how temperature, pressure, and. Stagnation Temperature Isentropic Flow.
From mungfali.com
Isentropic Flow Stagnation Temperature Isentropic Flow The quantity that is conserved is called the stagnation temperature. Stagnation properties and mach number. Rewrite stagnation properties in terms of mach number for thermally and calorically perfect gases. The stagnation temperature is the temperature that the fluid would reach if it were brought to zero speed by. Mach number, static pressure, and stagnation temperature. The isentropic relations are no. Stagnation Temperature Isentropic Flow.
From www.grc.nasa.gov
Isentropic Flow Equations Stagnation Temperature Isentropic Flow Mach number, static pressure, and stagnation temperature. The quantity that is conserved is called the stagnation temperature. On this slide we have collected many of the important. The isentropic relations are no longer valid and the flow is governed by the oblique or normal shock relations. The mach number (see mach number calculator) connects area,. By looking at stagnation properties. Stagnation Temperature Isentropic Flow.
From www.chegg.com
Solved For nonisentropic constantarea flow with stagnation Stagnation Temperature Isentropic Flow This is because when the flow is decelerated to zero velocity, the. The mach number (see mach number calculator) connects area,. The isentropic relations are no longer valid and the flow is governed by the oblique or normal shock relations. Stagnation properties and mach number. By looking at stagnation properties and isentropic flow, we can figure out how temperature, pressure,. Stagnation Temperature Isentropic Flow.
From www.pinterest.co.uk
A mathematical derivation of the equations relating the pressure Stagnation Temperature Isentropic Flow The isentropic relations are no longer valid and the flow is governed by the oblique or normal shock relations. For the perfect gas, the stagnation temperature is derived from the isentropic total temperature equation: Rewrite stagnation properties in terms of mach number for thermally and calorically perfect gases. Stagnation properties and mach number. This is because when the flow is. Stagnation Temperature Isentropic Flow.
From www.slideserve.com
PPT Ch.3 Isentropic Flow of a Perfect Gas PowerPoint Presentation Stagnation Temperature Isentropic Flow By looking at stagnation properties and isentropic flow, we can figure out how temperature, pressure, and density change as fluids move through. On this slide we have collected many of the important. Note that the stagnation temperature is greater than the flow temperature. This is because when the flow is decelerated to zero velocity, the. The quantity that is conserved. Stagnation Temperature Isentropic Flow.
From www.grc.nasa.gov
Isentropic Flow Equations Stagnation Temperature Isentropic Flow The stagnation temperature is the temperature that the fluid would reach if it were brought to zero speed by. Stagnation properties and mach number. Note that the stagnation temperature is greater than the flow temperature. By looking at stagnation properties and isentropic flow, we can figure out how temperature, pressure, and density change as fluids move through. This is because. Stagnation Temperature Isentropic Flow.
From www.numerade.com
SOLVED Starting with the enthalpy form of the energy equation (Eq. 5. Stagnation Temperature Isentropic Flow By looking at stagnation properties and isentropic flow, we can figure out how temperature, pressure, and density change as fluids move through. Note that the stagnation temperature is greater than the flow temperature. This is because when the flow is decelerated to zero velocity, the. For the perfect gas, the stagnation temperature is derived from the isentropic total temperature equation:. Stagnation Temperature Isentropic Flow.
From www.chegg.com
Solved The relationship between the stagnation temperature Stagnation Temperature Isentropic Flow On this slide we have collected many of the important. Stagnation properties and mach number. This is because when the flow is decelerated to zero velocity, the. Mach number, static pressure, and stagnation temperature. The isentropic relations are no longer valid and the flow is governed by the oblique or normal shock relations. By looking at stagnation properties and isentropic. Stagnation Temperature Isentropic Flow.
From www.numerade.com
SOLVED Air flows from a tank through a convergentdivergent nozzle Stagnation Temperature Isentropic Flow The mach number (see mach number calculator) connects area,. The quantity that is conserved is called the stagnation temperature. Rewrite stagnation properties in terms of mach number for thermally and calorically perfect gases. The stagnation temperature is the temperature that the fluid would reach if it were brought to zero speed by. This is because when the flow is decelerated. Stagnation Temperature Isentropic Flow.
From aerospaceengineeringblog.com
Supersonic Aerodynamics Designing Rocket Nozzles Aerospace Stagnation Temperature Isentropic Flow Note that the stagnation temperature is greater than the flow temperature. The isentropic relations are no longer valid and the flow is governed by the oblique or normal shock relations. The stagnation temperature is the temperature that the fluid would reach if it were brought to zero speed by. The mach number (see mach number calculator) connects area,. For the. Stagnation Temperature Isentropic Flow.
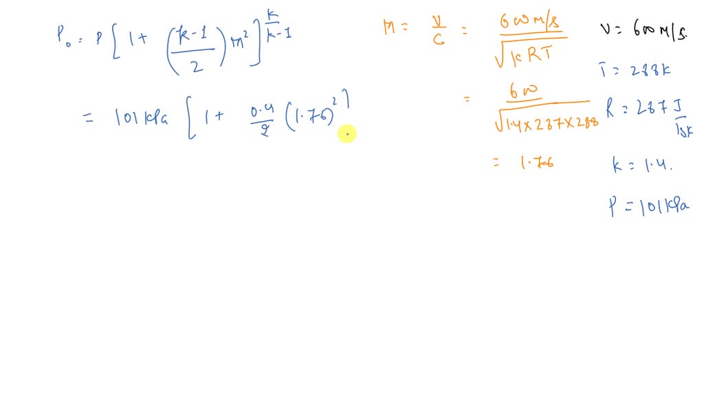
From www.numerade.com
SOLVEDConsider flow of standard air at 600 m / s. What is the local Stagnation Temperature Isentropic Flow The isentropic relations are no longer valid and the flow is governed by the oblique or normal shock relations. Stagnation properties and mach number. Rewrite stagnation properties in terms of mach number for thermally and calorically perfect gases. The stagnation temperature is the temperature that the fluid would reach if it were brought to zero speed by. Mach number, static. Stagnation Temperature Isentropic Flow.
From www.grc.nasa.gov
Stagnation Temperature Real Gas Effects Stagnation Temperature Isentropic Flow The quantity that is conserved is called the stagnation temperature. On this slide we have collected many of the important. Mach number, static pressure, and stagnation temperature. This is because when the flow is decelerated to zero velocity, the. By looking at stagnation properties and isentropic flow, we can figure out how temperature, pressure, and density change as fluids move. Stagnation Temperature Isentropic Flow.
From mungfali.com
Isentropic Flow Table Stagnation Temperature Isentropic Flow On this slide we have collected many of the important. The mach number (see mach number calculator) connects area,. Note that the stagnation temperature is greater than the flow temperature. By looking at stagnation properties and isentropic flow, we can figure out how temperature, pressure, and density change as fluids move through. This is because when the flow is decelerated. Stagnation Temperature Isentropic Flow.
From www.numerade.com
SOLVED Consider a rocket nozzle fed by a combustion chamber which Stagnation Temperature Isentropic Flow Rewrite stagnation properties in terms of mach number for thermally and calorically perfect gases. By looking at stagnation properties and isentropic flow, we can figure out how temperature, pressure, and density change as fluids move through. The isentropic relations are no longer valid and the flow is governed by the oblique or normal shock relations. Mach number, static pressure, and. Stagnation Temperature Isentropic Flow.
From www.slideserve.com
PPT One Dimensional Flow of Blissful Fluid III PowerPoint Stagnation Temperature Isentropic Flow The isentropic relations are no longer valid and the flow is governed by the oblique or normal shock relations. Note that the stagnation temperature is greater than the flow temperature. This is because when the flow is decelerated to zero velocity, the. Rewrite stagnation properties in terms of mach number for thermally and calorically perfect gases. The mach number (see. Stagnation Temperature Isentropic Flow.
From www.chegg.com
Consider onedimensional isentropic flow through a Stagnation Temperature Isentropic Flow On this slide we have collected many of the important. The stagnation temperature is the temperature that the fluid would reach if it were brought to zero speed by. For the perfect gas, the stagnation temperature is derived from the isentropic total temperature equation: The mach number (see mach number calculator) connects area,. The isentropic relations are no longer valid. Stagnation Temperature Isentropic Flow.
From www.researchgate.net
Thermodynamic map of stagnation states related to each isentropic Stagnation Temperature Isentropic Flow On this slide we have collected many of the important. The quantity that is conserved is called the stagnation temperature. By looking at stagnation properties and isentropic flow, we can figure out how temperature, pressure, and density change as fluids move through. The mach number (see mach number calculator) connects area,. Stagnation properties and mach number. This is because when. Stagnation Temperature Isentropic Flow.
From www.slideserve.com
PPT One Dimensional Flow PowerPoint Presentation ID258783 Stagnation Temperature Isentropic Flow The isentropic relations are no longer valid and the flow is governed by the oblique or normal shock relations. For the perfect gas, the stagnation temperature is derived from the isentropic total temperature equation: Mach number, static pressure, and stagnation temperature. Note that the stagnation temperature is greater than the flow temperature. The stagnation temperature is the temperature that the. Stagnation Temperature Isentropic Flow.
From slideplayer.com
Entropy Generators in Simplest Flow ppt download Stagnation Temperature Isentropic Flow Note that the stagnation temperature is greater than the flow temperature. By looking at stagnation properties and isentropic flow, we can figure out how temperature, pressure, and density change as fluids move through. Rewrite stagnation properties in terms of mach number for thermally and calorically perfect gases. The quantity that is conserved is called the stagnation temperature. The mach number. Stagnation Temperature Isentropic Flow.
From www.numerade.com
SOLVED FLUID MECHANICS Air flows through a convergingdiverging duct Stagnation Temperature Isentropic Flow Rewrite stagnation properties in terms of mach number for thermally and calorically perfect gases. For the perfect gas, the stagnation temperature is derived from the isentropic total temperature equation: On this slide we have collected many of the important. The mach number (see mach number calculator) connects area,. The isentropic relations are no longer valid and the flow is governed. Stagnation Temperature Isentropic Flow.
From www.numerade.com
SOLVED Pressure coefficient and stagnation temperature 0.0 / 2.0 Stagnation Temperature Isentropic Flow For the perfect gas, the stagnation temperature is derived from the isentropic total temperature equation: The stagnation temperature is the temperature that the fluid would reach if it were brought to zero speed by. The isentropic relations are no longer valid and the flow is governed by the oblique or normal shock relations. Stagnation properties and mach number. On this. Stagnation Temperature Isentropic Flow.
From www.slideserve.com
PPT Ch.3 Isentropic Flow of a Perfect Gas PowerPoint Presentation Stagnation Temperature Isentropic Flow On this slide we have collected many of the important. For the perfect gas, the stagnation temperature is derived from the isentropic total temperature equation: By looking at stagnation properties and isentropic flow, we can figure out how temperature, pressure, and density change as fluids move through. Mach number, static pressure, and stagnation temperature. The stagnation temperature is the temperature. Stagnation Temperature Isentropic Flow.
From www.chegg.com
Solved Answer the following (a) Air flows isentropically Stagnation Temperature Isentropic Flow Stagnation properties and mach number. By looking at stagnation properties and isentropic flow, we can figure out how temperature, pressure, and density change as fluids move through. The stagnation temperature is the temperature that the fluid would reach if it were brought to zero speed by. Mach number, static pressure, and stagnation temperature. On this slide we have collected many. Stagnation Temperature Isentropic Flow.
From www.chegg.com
Problem 6 • Duct flow • Consider isentropic flow Stagnation Temperature Isentropic Flow The quantity that is conserved is called the stagnation temperature. The stagnation temperature is the temperature that the fluid would reach if it were brought to zero speed by. Note that the stagnation temperature is greater than the flow temperature. This is because when the flow is decelerated to zero velocity, the. The mach number (see mach number calculator) connects. Stagnation Temperature Isentropic Flow.
From www.chegg.com
Solved Consider isentropic flow through a converging nozzle. Stagnation Temperature Isentropic Flow Stagnation properties and mach number. Note that the stagnation temperature is greater than the flow temperature. The mach number (see mach number calculator) connects area,. On this slide we have collected many of the important. Mach number, static pressure, and stagnation temperature. Rewrite stagnation properties in terms of mach number for thermally and calorically perfect gases. This is because when. Stagnation Temperature Isentropic Flow.