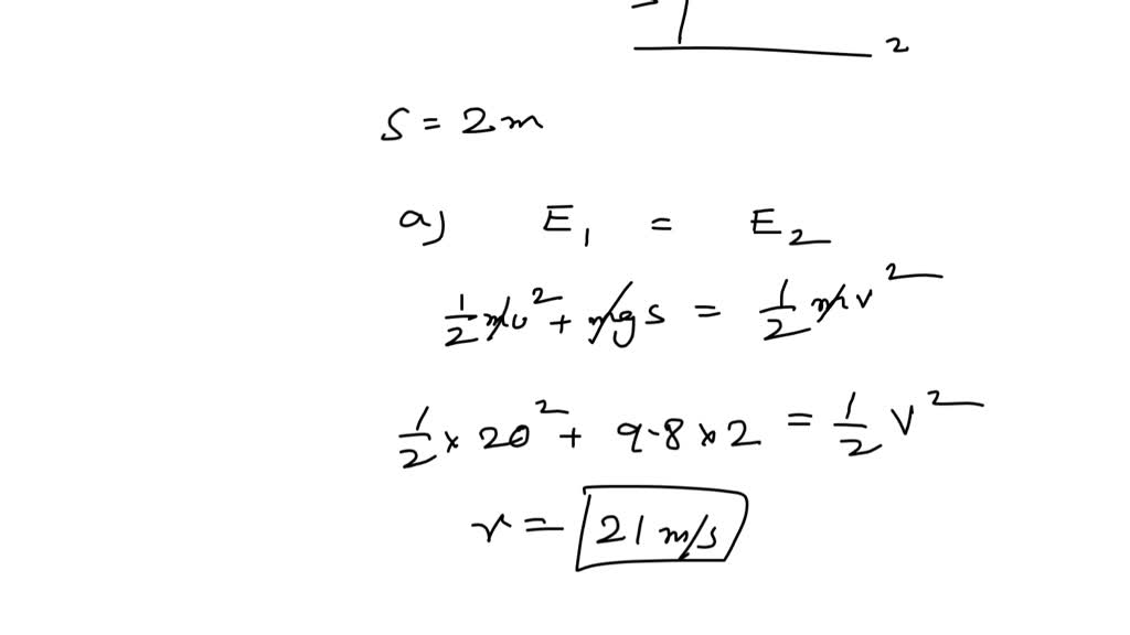
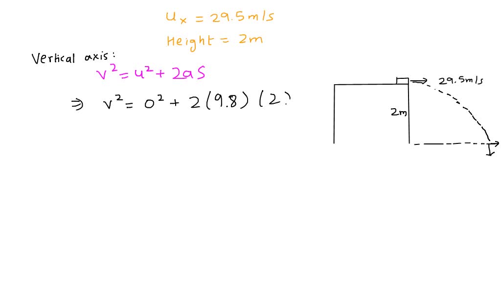
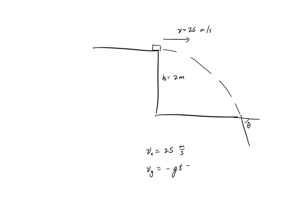
A Hockey Puck Slides Off The Edge Of A Platform With An Initial Velocity Of 20 . A hockey puck slides off the edge of a horizontal platform with an initial velocity of 20.0 m/s horizontally and experiences no significant air. A hockey puck slides off the edge of a horizontal platform with an initial velocity of 20 m/s horizontally and experiences no significant air. A hockey puck slides off the edge of a table with an initial velocity of 28.0 m/s and experiences no air resistance. To find the magnitude of the velocity of the puck just before it touches the ground, we can use the equation: The height of the tabletop above the ground is 2.00 m. A hockey puck slides off the edge of a table at point a with an initial velocity of 20.0 m/s and experiences no air resistance. The angle below the horizontal of the velocity of the puck just before it hits the ground is 12.60°. Since the puck slides off horizontally, uᵧ = vertical component of the. Using the equations of motion. Y = uᵧt + gt²/2.
from www.chegg.com
To find the magnitude of the velocity of the puck just before it touches the ground, we can use the equation: Since the puck slides off horizontally, uᵧ = vertical component of the. A hockey puck slides off the edge of a horizontal platform with an initial velocity of 20.0 m/s horizontally and experiences no significant air. The angle below the horizontal of the velocity of the puck just before it hits the ground is 12.60°. The height of the tabletop above the ground is 2.00 m. A hockey puck slides off the edge of a horizontal platform with an initial velocity of 20 m/s horizontally and experiences no significant air. A hockey puck slides off the edge of a table at point a with an initial velocity of 20.0 m/s and experiences no air resistance. Y = uᵧt + gt²/2. A hockey puck slides off the edge of a table with an initial velocity of 28.0 m/s and experiences no air resistance. Using the equations of motion.
Solved 3. A hockey puck slides off the edge of a table at
A Hockey Puck Slides Off The Edge Of A Platform With An Initial Velocity Of 20 Since the puck slides off horizontally, uᵧ = vertical component of the. Using the equations of motion. The height of the tabletop above the ground is 2.00 m. A hockey puck slides off the edge of a horizontal platform with an initial velocity of 20 m/s horizontally and experiences no significant air. The angle below the horizontal of the velocity of the puck just before it hits the ground is 12.60°. Since the puck slides off horizontally, uᵧ = vertical component of the. A hockey puck slides off the edge of a table at point a with an initial velocity of 20.0 m/s and experiences no air resistance. To find the magnitude of the velocity of the puck just before it touches the ground, we can use the equation: A hockey puck slides off the edge of a table with an initial velocity of 28.0 m/s and experiences no air resistance. Y = uᵧt + gt²/2. A hockey puck slides off the edge of a horizontal platform with an initial velocity of 20.0 m/s horizontally and experiences no significant air.
From www.coursehero.com
[Solved] . 22) A hockey puck slides off the edge of a table with an A Hockey Puck Slides Off The Edge Of A Platform With An Initial Velocity Of 20 Since the puck slides off horizontally, uᵧ = vertical component of the. Y = uᵧt + gt²/2. Using the equations of motion. A hockey puck slides off the edge of a table with an initial velocity of 28.0 m/s and experiences no air resistance. A hockey puck slides off the edge of a horizontal platform with an initial velocity of. A Hockey Puck Slides Off The Edge Of A Platform With An Initial Velocity Of 20.
From www.numerade.com
SOLVED A hockey puck slides off the edge of a table at point A with an A Hockey Puck Slides Off The Edge Of A Platform With An Initial Velocity Of 20 The height of the tabletop above the ground is 2.00 m. A hockey puck slides off the edge of a horizontal platform with an initial velocity of 20.0 m/s horizontally and experiences no significant air. The angle below the horizontal of the velocity of the puck just before it hits the ground is 12.60°. A hockey puck slides off the. A Hockey Puck Slides Off The Edge Of A Platform With An Initial Velocity Of 20.
From www.numerade.com
SOLVED A hockey puck slides off the edge of a table with an initial A Hockey Puck Slides Off The Edge Of A Platform With An Initial Velocity Of 20 Y = uᵧt + gt²/2. A hockey puck slides off the edge of a horizontal platform with an initial velocity of 20 m/s horizontally and experiences no significant air. A hockey puck slides off the edge of a table at point a with an initial velocity of 20.0 m/s and experiences no air resistance. The height of the tabletop above. A Hockey Puck Slides Off The Edge Of A Platform With An Initial Velocity Of 20.
From www.chegg.com
Solved 3. A hockey puck slides off the edge of a table at A Hockey Puck Slides Off The Edge Of A Platform With An Initial Velocity Of 20 Since the puck slides off horizontally, uᵧ = vertical component of the. A hockey puck slides off the edge of a horizontal platform with an initial velocity of 20.0 m/s horizontally and experiences no significant air. To find the magnitude of the velocity of the puck just before it touches the ground, we can use the equation: A hockey puck. A Hockey Puck Slides Off The Edge Of A Platform With An Initial Velocity Of 20.
From www.chegg.com
Solved A hockey puck slides off the edge of a table at point A Hockey Puck Slides Off The Edge Of A Platform With An Initial Velocity Of 20 A hockey puck slides off the edge of a table at point a with an initial velocity of 20.0 m/s and experiences no air resistance. A hockey puck slides off the edge of a horizontal platform with an initial velocity of 20 m/s horizontally and experiences no significant air. Since the puck slides off horizontally, uᵧ = vertical component of. A Hockey Puck Slides Off The Edge Of A Platform With An Initial Velocity Of 20.
From www.chegg.com
Solved A hockey puck slides off the edge of a table with an A Hockey Puck Slides Off The Edge Of A Platform With An Initial Velocity Of 20 A hockey puck slides off the edge of a horizontal platform with an initial velocity of 20.0 m/s horizontally and experiences no significant air. A hockey puck slides off the edge of a horizontal platform with an initial velocity of 20 m/s horizontally and experiences no significant air. A hockey puck slides off the edge of a table at point. A Hockey Puck Slides Off The Edge Of A Platform With An Initial Velocity Of 20.
From www.chegg.com
Solved A hockey puck slides off the edge of a table with an A Hockey Puck Slides Off The Edge Of A Platform With An Initial Velocity Of 20 Y = uᵧt + gt²/2. The angle below the horizontal of the velocity of the puck just before it hits the ground is 12.60°. A hockey puck slides off the edge of a horizontal platform with an initial velocity of 20 m/s horizontally and experiences no significant air. A hockey puck slides off the edge of a horizontal platform with. A Hockey Puck Slides Off The Edge Of A Platform With An Initial Velocity Of 20.
From www.chegg.com
Solved (b) A hockey puck slides off the edge of a table at A Hockey Puck Slides Off The Edge Of A Platform With An Initial Velocity Of 20 A hockey puck slides off the edge of a horizontal platform with an initial velocity of 20.0 m/s horizontally and experiences no significant air. To find the magnitude of the velocity of the puck just before it touches the ground, we can use the equation: Since the puck slides off horizontally, uᵧ = vertical component of the. The height of. A Hockey Puck Slides Off The Edge Of A Platform With An Initial Velocity Of 20.
From www.chegg.com
Solved A hockey puck slides off the edge of a table with an A Hockey Puck Slides Off The Edge Of A Platform With An Initial Velocity Of 20 A hockey puck slides off the edge of a horizontal platform with an initial velocity of 20 m/s horizontally and experiences no significant air. A hockey puck slides off the edge of a table at point a with an initial velocity of 20.0 m/s and experiences no air resistance. A hockey puck slides off the edge of a table with. A Hockey Puck Slides Off The Edge Of A Platform With An Initial Velocity Of 20.
From www.chegg.com
Solved In a room where g = 9.81 m/s2, a hockey puck slides A Hockey Puck Slides Off The Edge Of A Platform With An Initial Velocity Of 20 A hockey puck slides off the edge of a table at point a with an initial velocity of 20.0 m/s and experiences no air resistance. Y = uᵧt + gt²/2. The angle below the horizontal of the velocity of the puck just before it hits the ground is 12.60°. The height of the tabletop above the ground is 2.00 m.. A Hockey Puck Slides Off The Edge Of A Platform With An Initial Velocity Of 20.
From www.chegg.com
Solved A hockey puck slides off the edge of a table at point A Hockey Puck Slides Off The Edge Of A Platform With An Initial Velocity Of 20 A hockey puck slides off the edge of a table with an initial velocity of 28.0 m/s and experiences no air resistance. The height of the tabletop above the ground is 2.00 m. A hockey puck slides off the edge of a horizontal platform with an initial velocity of 20.0 m/s horizontally and experiences no significant air. Using the equations. A Hockey Puck Slides Off The Edge Of A Platform With An Initial Velocity Of 20.
From www.toppr.com
A hockey puck slides in the southward direction along horizontal ice A Hockey Puck Slides Off The Edge Of A Platform With An Initial Velocity Of 20 Y = uᵧt + gt²/2. Since the puck slides off horizontally, uᵧ = vertical component of the. Using the equations of motion. The height of the tabletop above the ground is 2.00 m. The angle below the horizontal of the velocity of the puck just before it hits the ground is 12.60°. To find the magnitude of the velocity of. A Hockey Puck Slides Off The Edge Of A Platform With An Initial Velocity Of 20.
From www.chegg.com
Solved A hockey puck slides off the edge of a table with an A Hockey Puck Slides Off The Edge Of A Platform With An Initial Velocity Of 20 The height of the tabletop above the ground is 2.00 m. A hockey puck slides off the edge of a table with an initial velocity of 28.0 m/s and experiences no air resistance. To find the magnitude of the velocity of the puck just before it touches the ground, we can use the equation: A hockey puck slides off the. A Hockey Puck Slides Off The Edge Of A Platform With An Initial Velocity Of 20.
From www.coursehero.com
[Solved] . A hockey puck slides off the edge of a table with an initial A Hockey Puck Slides Off The Edge Of A Platform With An Initial Velocity Of 20 Y = uᵧt + gt²/2. To find the magnitude of the velocity of the puck just before it touches the ground, we can use the equation: Since the puck slides off horizontally, uᵧ = vertical component of the. A hockey puck slides off the edge of a horizontal platform with an initial velocity of 20.0 m/s horizontally and experiences no. A Hockey Puck Slides Off The Edge Of A Platform With An Initial Velocity Of 20.
From www.numerade.com
SOLVED A hockey puck slides ofT the edge of a platform with an initial A Hockey Puck Slides Off The Edge Of A Platform With An Initial Velocity Of 20 A hockey puck slides off the edge of a horizontal platform with an initial velocity of 20.0 m/s horizontally and experiences no significant air. A hockey puck slides off the edge of a table at point a with an initial velocity of 20.0 m/s and experiences no air resistance. Using the equations of motion. Y = uᵧt + gt²/2. A. A Hockey Puck Slides Off The Edge Of A Platform With An Initial Velocity Of 20.
From www.numerade.com
SOLVED A hockey puck slides off the edge of a platform with an initial A Hockey Puck Slides Off The Edge Of A Platform With An Initial Velocity Of 20 Since the puck slides off horizontally, uᵧ = vertical component of the. A hockey puck slides off the edge of a horizontal platform with an initial velocity of 20 m/s horizontally and experiences no significant air. A hockey puck slides off the edge of a table at point a with an initial velocity of 20.0 m/s and experiences no air. A Hockey Puck Slides Off The Edge Of A Platform With An Initial Velocity Of 20.
From www.numerade.com
SOLVED A hockey puck slides off the edge of a table with an initial A Hockey Puck Slides Off The Edge Of A Platform With An Initial Velocity Of 20 A hockey puck slides off the edge of a table at point a with an initial velocity of 20.0 m/s and experiences no air resistance. The angle below the horizontal of the velocity of the puck just before it hits the ground is 12.60°. Since the puck slides off horizontally, uᵧ = vertical component of the. A hockey puck slides. A Hockey Puck Slides Off The Edge Of A Platform With An Initial Velocity Of 20.
From www.chegg.com
Solved A hockey puck slides off the edge of a table with an A Hockey Puck Slides Off The Edge Of A Platform With An Initial Velocity Of 20 A hockey puck slides off the edge of a table at point a with an initial velocity of 20.0 m/s and experiences no air resistance. The height of the tabletop above the ground is 2.00 m. Since the puck slides off horizontally, uᵧ = vertical component of the. The angle below the horizontal of the velocity of the puck just. A Hockey Puck Slides Off The Edge Of A Platform With An Initial Velocity Of 20.
From www.chegg.com
Solved 6. A hockey puck slides off the edge of a horizontal A Hockey Puck Slides Off The Edge Of A Platform With An Initial Velocity Of 20 The angle below the horizontal of the velocity of the puck just before it hits the ground is 12.60°. Y = uᵧt + gt²/2. Using the equations of motion. A hockey puck slides off the edge of a table at point a with an initial velocity of 20.0 m/s and experiences no air resistance. The height of the tabletop above. A Hockey Puck Slides Off The Edge Of A Platform With An Initial Velocity Of 20.
From www.chegg.com
Solved 13) A hockey puck slides off the edge of a table with A Hockey Puck Slides Off The Edge Of A Platform With An Initial Velocity Of 20 A hockey puck slides off the edge of a horizontal platform with an initial velocity of 20.0 m/s horizontally and experiences no significant air. The angle below the horizontal of the velocity of the puck just before it hits the ground is 12.60°. Y = uᵧt + gt²/2. To find the magnitude of the velocity of the puck just before. A Hockey Puck Slides Off The Edge Of A Platform With An Initial Velocity Of 20.
From www.coursehero.com
[Solved] . 22) A hockey puck slides off the edge of a table with an A Hockey Puck Slides Off The Edge Of A Platform With An Initial Velocity Of 20 Using the equations of motion. The height of the tabletop above the ground is 2.00 m. A hockey puck slides off the edge of a table at point a with an initial velocity of 20.0 m/s and experiences no air resistance. A hockey puck slides off the edge of a horizontal platform with an initial velocity of 20.0 m/s horizontally. A Hockey Puck Slides Off The Edge Of A Platform With An Initial Velocity Of 20.
From www.chegg.com
Solved A hockey puck slides off the edge of a table at point A Hockey Puck Slides Off The Edge Of A Platform With An Initial Velocity Of 20 The height of the tabletop above the ground is 2.00 m. Using the equations of motion. The angle below the horizontal of the velocity of the puck just before it hits the ground is 12.60°. Y = uᵧt + gt²/2. A hockey puck slides off the edge of a horizontal platform with an initial velocity of 20.0 m/s horizontally and. A Hockey Puck Slides Off The Edge Of A Platform With An Initial Velocity Of 20.
From kunduz.com
[ANSWERED] A hockey puck slides off the edge of a horizontal platform A Hockey Puck Slides Off The Edge Of A Platform With An Initial Velocity Of 20 The angle below the horizontal of the velocity of the puck just before it hits the ground is 12.60°. To find the magnitude of the velocity of the puck just before it touches the ground, we can use the equation: A hockey puck slides off the edge of a table with an initial velocity of 28.0 m/s and experiences no. A Hockey Puck Slides Off The Edge Of A Platform With An Initial Velocity Of 20.
From www.chegg.com
Solved 5 A hockey puck slides horizontally off the edge A Hockey Puck Slides Off The Edge Of A Platform With An Initial Velocity Of 20 To find the magnitude of the velocity of the puck just before it touches the ground, we can use the equation: The angle below the horizontal of the velocity of the puck just before it hits the ground is 12.60°. A hockey puck slides off the edge of a horizontal platform with an initial velocity of 20 m/s horizontally and. A Hockey Puck Slides Off The Edge Of A Platform With An Initial Velocity Of 20.
From www.chegg.com
Solved A hockey puck slides of a horizontal platform with an A Hockey Puck Slides Off The Edge Of A Platform With An Initial Velocity Of 20 A hockey puck slides off the edge of a horizontal platform with an initial velocity of 20.0 m/s horizontally and experiences no significant air. The angle below the horizontal of the velocity of the puck just before it hits the ground is 12.60°. To find the magnitude of the velocity of the puck just before it touches the ground, we. A Hockey Puck Slides Off The Edge Of A Platform With An Initial Velocity Of 20.
From www.chegg.com
Solved 3. A hockey puck slides off the edge of a table at A Hockey Puck Slides Off The Edge Of A Platform With An Initial Velocity Of 20 A hockey puck slides off the edge of a horizontal platform with an initial velocity of 20.0 m/s horizontally and experiences no significant air. Since the puck slides off horizontally, uᵧ = vertical component of the. Using the equations of motion. A hockey puck slides off the edge of a table at point a with an initial velocity of 20.0. A Hockey Puck Slides Off The Edge Of A Platform With An Initial Velocity Of 20.
From www.numerade.com
SOLVED Problem 3 hockey puck slides ff the edge of a table at point A Hockey Puck Slides Off The Edge Of A Platform With An Initial Velocity Of 20 Since the puck slides off horizontally, uᵧ = vertical component of the. A hockey puck slides off the edge of a horizontal platform with an initial velocity of 20 m/s horizontally and experiences no significant air. The angle below the horizontal of the velocity of the puck just before it hits the ground is 12.60°. A hockey puck slides off. A Hockey Puck Slides Off The Edge Of A Platform With An Initial Velocity Of 20.
From www.numerade.com
SOLVED A hockey puck slides along a rough, icy surface. It has an A Hockey Puck Slides Off The Edge Of A Platform With An Initial Velocity Of 20 To find the magnitude of the velocity of the puck just before it touches the ground, we can use the equation: Since the puck slides off horizontally, uᵧ = vertical component of the. Using the equations of motion. A hockey puck slides off the edge of a horizontal platform with an initial velocity of 20 m/s horizontally and experiences no. A Hockey Puck Slides Off The Edge Of A Platform With An Initial Velocity Of 20.
From www.numerade.com
SOLVED A hockey puck slides off the edge of a table at point A with an A Hockey Puck Slides Off The Edge Of A Platform With An Initial Velocity Of 20 To find the magnitude of the velocity of the puck just before it touches the ground, we can use the equation: A hockey puck slides off the edge of a table at point a with an initial velocity of 20.0 m/s and experiences no air resistance. Since the puck slides off horizontally, uᵧ = vertical component of the. A hockey. A Hockey Puck Slides Off The Edge Of A Platform With An Initial Velocity Of 20.
From www.numerade.com
SOLVED QUESTION hockey puck slides off the edge of table with an A Hockey Puck Slides Off The Edge Of A Platform With An Initial Velocity Of 20 The height of the tabletop above the ground is 2.00 m. To find the magnitude of the velocity of the puck just before it touches the ground, we can use the equation: Using the equations of motion. The angle below the horizontal of the velocity of the puck just before it hits the ground is 12.60°. Since the puck slides. A Hockey Puck Slides Off The Edge Of A Platform With An Initial Velocity Of 20.
From www.numerade.com
SOLVED A hockey puck slides off the edge of a platform with an initial A Hockey Puck Slides Off The Edge Of A Platform With An Initial Velocity Of 20 The height of the tabletop above the ground is 2.00 m. Y = uᵧt + gt²/2. A hockey puck slides off the edge of a horizontal platform with an initial velocity of 20.0 m/s horizontally and experiences no significant air. A hockey puck slides off the edge of a horizontal platform with an initial velocity of 20 m/s horizontally and. A Hockey Puck Slides Off The Edge Of A Platform With An Initial Velocity Of 20.
From www.numerade.com
A hockey puck is sliding with constant velocity from left to right on a A Hockey Puck Slides Off The Edge Of A Platform With An Initial Velocity Of 20 Y = uᵧt + gt²/2. Since the puck slides off horizontally, uᵧ = vertical component of the. A hockey puck slides off the edge of a table with an initial velocity of 28.0 m/s and experiences no air resistance. The height of the tabletop above the ground is 2.00 m. The angle below the horizontal of the velocity of the. A Hockey Puck Slides Off The Edge Of A Platform With An Initial Velocity Of 20.
From www.chegg.com
Solved A hockey puck slides off the edge of a table with an A Hockey Puck Slides Off The Edge Of A Platform With An Initial Velocity Of 20 Y = uᵧt + gt²/2. Since the puck slides off horizontally, uᵧ = vertical component of the. A hockey puck slides off the edge of a horizontal platform with an initial velocity of 20 m/s horizontally and experiences no significant air. Using the equations of motion. To find the magnitude of the velocity of the puck just before it touches. A Hockey Puck Slides Off The Edge Of A Platform With An Initial Velocity Of 20.
From www.numerade.com
SOLVED A hockey puck slides off the edge of a table with an initia A Hockey Puck Slides Off The Edge Of A Platform With An Initial Velocity Of 20 A hockey puck slides off the edge of a horizontal platform with an initial velocity of 20.0 m/s horizontally and experiences no significant air. Using the equations of motion. A hockey puck slides off the edge of a table at point a with an initial velocity of 20.0 m/s and experiences no air resistance. A hockey puck slides off the. A Hockey Puck Slides Off The Edge Of A Platform With An Initial Velocity Of 20.
From www.chegg.com
Solved A hockey puck slides off the edge of a table with an A Hockey Puck Slides Off The Edge Of A Platform With An Initial Velocity Of 20 A hockey puck slides off the edge of a table with an initial velocity of 28.0 m/s and experiences no air resistance. Y = uᵧt + gt²/2. The height of the tabletop above the ground is 2.00 m. A hockey puck slides off the edge of a horizontal platform with an initial velocity of 20 m/s horizontally and experiences no. A Hockey Puck Slides Off The Edge Of A Platform With An Initial Velocity Of 20.