Sin Alpha + Beta Formula . cos(α + β) = cosαcosβ − sinαsinβ. we have the following identities for the tangent of the sum and difference of two angles: Notice that to find the sine or cosine of α + β, we must know. \displaystyle \tan { {\left (\alpha+\beta\right)}}=\frac. Sin(α + β) = sinαcosβ + cosαsinβ. Here we will derive formula for trigonometric function of the sum of two real numbers. verify the identity \sin (\alpha+\beta)+\sin (\alpha−\beta)=2\sin \alpha \cos \beta.
from www.meritnation.com
\displaystyle \tan { {\left (\alpha+\beta\right)}}=\frac. Sin(α + β) = sinαcosβ + cosαsinβ. verify the identity \sin (\alpha+\beta)+\sin (\alpha−\beta)=2\sin \alpha \cos \beta. cos(α + β) = cosαcosβ − sinαsinβ. Here we will derive formula for trigonometric function of the sum of two real numbers. we have the following identities for the tangent of the sum and difference of two angles: Notice that to find the sine or cosine of α + β, we must know.
given that sin alpha = root 3/2 and cos beta =0, then the value of beta alpha is Maths
Sin Alpha + Beta Formula Here we will derive formula for trigonometric function of the sum of two real numbers. cos(α + β) = cosαcosβ − sinαsinβ. we have the following identities for the tangent of the sum and difference of two angles: \displaystyle \tan { {\left (\alpha+\beta\right)}}=\frac. Here we will derive formula for trigonometric function of the sum of two real numbers. Sin(α + β) = sinαcosβ + cosαsinβ. verify the identity \sin (\alpha+\beta)+\sin (\alpha−\beta)=2\sin \alpha \cos \beta. Notice that to find the sine or cosine of α + β, we must know.
From byjus.com
5. Find the maximum value of a cos theta+b sin (theta+alpha) (a,beta,theta are constants.) Sin Alpha + Beta Formula \displaystyle \tan { {\left (\alpha+\beta\right)}}=\frac. we have the following identities for the tangent of the sum and difference of two angles: Here we will derive formula for trigonometric function of the sum of two real numbers. Sin(α + β) = sinαcosβ + cosαsinβ. Notice that to find the sine or cosine of α + β, we must know. . Sin Alpha + Beta Formula.
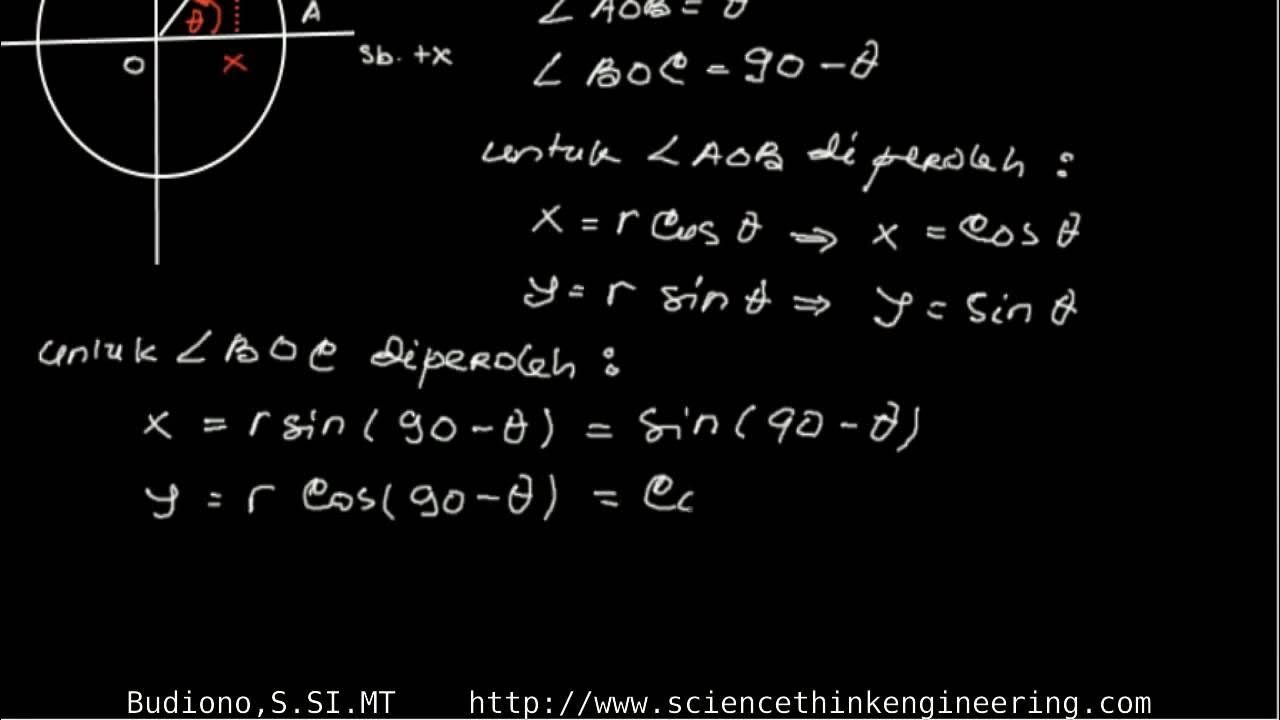
From www.youtube.com
7.2 Trig Integration_sin(alpha)&cos(beta) with Three more formulas YouTube Sin Alpha + Beta Formula Notice that to find the sine or cosine of α + β, we must know. Here we will derive formula for trigonometric function of the sum of two real numbers. Sin(α + β) = sinαcosβ + cosαsinβ. cos(α + β) = cosαcosβ − sinαsinβ. \displaystyle \tan { {\left (\alpha+\beta\right)}}=\frac. verify the identity \sin (\alpha+\beta)+\sin (\alpha−\beta)=2\sin \alpha \cos \beta.. Sin Alpha + Beta Formula.
From haipernews.com
How To Calculate Sin Beta Haiper Sin Alpha + Beta Formula Sin(α + β) = sinαcosβ + cosαsinβ. verify the identity \sin (\alpha+\beta)+\sin (\alpha−\beta)=2\sin \alpha \cos \beta. \displaystyle \tan { {\left (\alpha+\beta\right)}}=\frac. cos(α + β) = cosαcosβ − sinαsinβ. Here we will derive formula for trigonometric function of the sum of two real numbers. we have the following identities for the tangent of the sum and difference of. Sin Alpha + Beta Formula.
From ximizunepafubati.allianceimmobilier39.com
Trigonometric Functions And Exact Value Sin Alpha + Beta Formula cos(α + β) = cosαcosβ − sinαsinβ. we have the following identities for the tangent of the sum and difference of two angles: Here we will derive formula for trigonometric function of the sum of two real numbers. Notice that to find the sine or cosine of α + β, we must know. verify the identity \sin. Sin Alpha + Beta Formula.
From www.youtube.com
Prove that (1) `sinalpha+sinbeta+singamma_sin(alpha+beta+gamma)=4sin((alpha+beta)/2)sin((alph Sin Alpha + Beta Formula cos(α + β) = cosαcosβ − sinαsinβ. Notice that to find the sine or cosine of α + β, we must know. \displaystyle \tan { {\left (\alpha+\beta\right)}}=\frac. we have the following identities for the tangent of the sum and difference of two angles: verify the identity \sin (\alpha+\beta)+\sin (\alpha−\beta)=2\sin \alpha \cos \beta. Sin(α + β) = sinαcosβ. Sin Alpha + Beta Formula.
From www.numerade.com
SOLVEDsin(αβ)=sinαcosβcosαsinβ Sin Alpha + Beta Formula we have the following identities for the tangent of the sum and difference of two angles: Notice that to find the sine or cosine of α + β, we must know. Here we will derive formula for trigonometric function of the sum of two real numbers. verify the identity \sin (\alpha+\beta)+\sin (\alpha−\beta)=2\sin \alpha \cos \beta. \displaystyle \tan {. Sin Alpha + Beta Formula.
From www.teachoo.com
MCQ Given sin α = 1/2 and cos β = 1/2 , then value of (α + β) is Sin Alpha + Beta Formula cos(α + β) = cosαcosβ − sinαsinβ. verify the identity \sin (\alpha+\beta)+\sin (\alpha−\beta)=2\sin \alpha \cos \beta. \displaystyle \tan { {\left (\alpha+\beta\right)}}=\frac. Here we will derive formula for trigonometric function of the sum of two real numbers. Notice that to find the sine or cosine of α + β, we must know. we have the following identities for. Sin Alpha + Beta Formula.
From math.stackexchange.com
Gelfands Trigonometry \sin(\alpha \beta) = \sin \alpha \cos \beta \sin \beta \cos \alpha Sin Alpha + Beta Formula Sin(α + β) = sinαcosβ + cosαsinβ. Here we will derive formula for trigonometric function of the sum of two real numbers. Notice that to find the sine or cosine of α + β, we must know. \displaystyle \tan { {\left (\alpha+\beta\right)}}=\frac. cos(α + β) = cosαcosβ − sinαsinβ. we have the following identities for the tangent of. Sin Alpha + Beta Formula.
From www.meritnation.com
given that sin alpha = root 3/2 and cos beta =0, then the value of beta alpha is Maths Sin Alpha + Beta Formula Sin(α + β) = sinαcosβ + cosαsinβ. Here we will derive formula for trigonometric function of the sum of two real numbers. Notice that to find the sine or cosine of α + β, we must know. we have the following identities for the tangent of the sum and difference of two angles: cos(α + β) = cosαcosβ. Sin Alpha + Beta Formula.
From www.youtube.com
Trigonometry Trigonometric Equations What is the value of sin ( alpha + beta) YouTube Sin Alpha + Beta Formula Sin(α + β) = sinαcosβ + cosαsinβ. Notice that to find the sine or cosine of α + β, we must know. verify the identity \sin (\alpha+\beta)+\sin (\alpha−\beta)=2\sin \alpha \cos \beta. \displaystyle \tan { {\left (\alpha+\beta\right)}}=\frac. we have the following identities for the tangent of the sum and difference of two angles: Here we will derive formula for. Sin Alpha + Beta Formula.
From www.youtube.com
pembuktian sin alpha + sin beta= sin alpha cos beta cos alpha sin beta YouTube Sin Alpha + Beta Formula verify the identity \sin (\alpha+\beta)+\sin (\alpha−\beta)=2\sin \alpha \cos \beta. Notice that to find the sine or cosine of α + β, we must know. we have the following identities for the tangent of the sum and difference of two angles: \displaystyle \tan { {\left (\alpha+\beta\right)}}=\frac. Here we will derive formula for trigonometric function of the sum of two. Sin Alpha + Beta Formula.
From www.chegg.com
Solved Trig Identities In class I wrote the following trig Sin Alpha + Beta Formula Here we will derive formula for trigonometric function of the sum of two real numbers. verify the identity \sin (\alpha+\beta)+\sin (\alpha−\beta)=2\sin \alpha \cos \beta. cos(α + β) = cosαcosβ − sinαsinβ. \displaystyle \tan { {\left (\alpha+\beta\right)}}=\frac. Notice that to find the sine or cosine of α + β, we must know. Sin(α + β) = sinαcosβ + cosαsinβ.. Sin Alpha + Beta Formula.
From www.storyofmathematics.com
Sine Explanation & Examples Sin Alpha + Beta Formula Notice that to find the sine or cosine of α + β, we must know. verify the identity \sin (\alpha+\beta)+\sin (\alpha−\beta)=2\sin \alpha \cos \beta. Sin(α + β) = sinαcosβ + cosαsinβ. Here we will derive formula for trigonometric function of the sum of two real numbers. cos(α + β) = cosαcosβ − sinαsinβ. we have the following. Sin Alpha + Beta Formula.
From www.youtube.com
Trig Exact Value Sin(alpha + beta) YouTube Sin Alpha + Beta Formula we have the following identities for the tangent of the sum and difference of two angles: \displaystyle \tan { {\left (\alpha+\beta\right)}}=\frac. Here we will derive formula for trigonometric function of the sum of two real numbers. Notice that to find the sine or cosine of α + β, we must know. Sin(α + β) = sinαcosβ + cosαsinβ. . Sin Alpha + Beta Formula.
From www.storyofmathematics.com
Sine Explanation & Examples Sin Alpha + Beta Formula \displaystyle \tan { {\left (\alpha+\beta\right)}}=\frac. Here we will derive formula for trigonometric function of the sum of two real numbers. Sin(α + β) = sinαcosβ + cosαsinβ. verify the identity \sin (\alpha+\beta)+\sin (\alpha−\beta)=2\sin \alpha \cos \beta. we have the following identities for the tangent of the sum and difference of two angles: cos(α + β) = cosαcosβ. Sin Alpha + Beta Formula.
From solvedlib.com
\sin (\alpha\beta)=\sin \alpha \cos \beta_{\longrig… SolvedLib Sin Alpha + Beta Formula we have the following identities for the tangent of the sum and difference of two angles: Here we will derive formula for trigonometric function of the sum of two real numbers. verify the identity \sin (\alpha+\beta)+\sin (\alpha−\beta)=2\sin \alpha \cos \beta. Sin(α + β) = sinαcosβ + cosαsinβ. \displaystyle \tan { {\left (\alpha+\beta\right)}}=\frac. cos(α + β) = cosαcosβ. Sin Alpha + Beta Formula.
From brainly.in
If alpha + Beta = 90°, then find the maximum and minimum value of sin alpha and sin betastep Sin Alpha + Beta Formula Notice that to find the sine or cosine of α + β, we must know. cos(α + β) = cosαcosβ − sinαsinβ. Sin(α + β) = sinαcosβ + cosαsinβ. Here we will derive formula for trigonometric function of the sum of two real numbers. we have the following identities for the tangent of the sum and difference of. Sin Alpha + Beta Formula.
From www.toppr.com
If sinalpha = 1517 and cosbeta = 1213 , find the values of sin (alpha + beta), cos (alpha beta Sin Alpha + Beta Formula verify the identity \sin (\alpha+\beta)+\sin (\alpha−\beta)=2\sin \alpha \cos \beta. \displaystyle \tan { {\left (\alpha+\beta\right)}}=\frac. Notice that to find the sine or cosine of α + β, we must know. Here we will derive formula for trigonometric function of the sum of two real numbers. Sin(α + β) = sinαcosβ + cosαsinβ. cos(α + β) = cosαcosβ − sinαsinβ.. Sin Alpha + Beta Formula.
From www.chegg.com
Solved Use the trigonometric identity cos(alpha+beta)=cos Sin Alpha + Beta Formula Sin(α + β) = sinαcosβ + cosαsinβ. Notice that to find the sine or cosine of α + β, we must know. Here we will derive formula for trigonometric function of the sum of two real numbers. we have the following identities for the tangent of the sum and difference of two angles: cos(α + β) = cosαcosβ. Sin Alpha + Beta Formula.
From www.dreamstime.com
Basic Trigonometric Identities.Formulas for Calculating Sinus,cosine,tangent,cotangent.Triangle Sin Alpha + Beta Formula cos(α + β) = cosαcosβ − sinαsinβ. verify the identity \sin (\alpha+\beta)+\sin (\alpha−\beta)=2\sin \alpha \cos \beta. \displaystyle \tan { {\left (\alpha+\beta\right)}}=\frac. Sin(α + β) = sinαcosβ + cosαsinβ. Here we will derive formula for trigonometric function of the sum of two real numbers. Notice that to find the sine or cosine of α + β, we must know.. Sin Alpha + Beta Formula.
From www.youtube.com
If `x = cos alpha + cos beta cos(alpha +beta)` and `y = 4 sin '(alpha)/(2) sin'(beta) YouTube Sin Alpha + Beta Formula \displaystyle \tan { {\left (\alpha+\beta\right)}}=\frac. Here we will derive formula for trigonometric function of the sum of two real numbers. Sin(α + β) = sinαcosβ + cosαsinβ. Notice that to find the sine or cosine of α + β, we must know. we have the following identities for the tangent of the sum and difference of two angles: . Sin Alpha + Beta Formula.
From www.meritnation.com
Sin alpha = 3/2 and cos beta=0 then the value of beta minus alpha Maths Introduction to Sin Alpha + Beta Formula cos(α + β) = cosαcosβ − sinαsinβ. \displaystyle \tan { {\left (\alpha+\beta\right)}}=\frac. Notice that to find the sine or cosine of α + β, we must know. we have the following identities for the tangent of the sum and difference of two angles: Here we will derive formula for trigonometric function of the sum of two real numbers.. Sin Alpha + Beta Formula.
From byjus.com
13. Derivation of formula related to alpha and beta Sin Alpha + Beta Formula \displaystyle \tan { {\left (\alpha+\beta\right)}}=\frac. verify the identity \sin (\alpha+\beta)+\sin (\alpha−\beta)=2\sin \alpha \cos \beta. cos(α + β) = cosαcosβ − sinαsinβ. Sin(α + β) = sinαcosβ + cosαsinβ. we have the following identities for the tangent of the sum and difference of two angles: Here we will derive formula for trigonometric function of the sum of two. Sin Alpha + Beta Formula.
From www.meritnation.com
if tan theta = sin alpha cos alpha / sin alpha + cos alpha , then show that sin Maths Sin Alpha + Beta Formula Sin(α + β) = sinαcosβ + cosαsinβ. Notice that to find the sine or cosine of α + β, we must know. we have the following identities for the tangent of the sum and difference of two angles: cos(α + β) = cosαcosβ − sinαsinβ. \displaystyle \tan { {\left (\alpha+\beta\right)}}=\frac. verify the identity \sin (\alpha+\beta)+\sin (\alpha−\beta)=2\sin \alpha. Sin Alpha + Beta Formula.
From www.youtube.com
Proof of formula Sin(α+β)=SinαCosβ+CosαSinβ and Sin(αβ)=SinαCosβCosαSinβ YouTube Sin Alpha + Beta Formula Notice that to find the sine or cosine of α + β, we must know. we have the following identities for the tangent of the sum and difference of two angles: verify the identity \sin (\alpha+\beta)+\sin (\alpha−\beta)=2\sin \alpha \cos \beta. Here we will derive formula for trigonometric function of the sum of two real numbers. \displaystyle \tan {. Sin Alpha + Beta Formula.
From www.toppr.com
If sin beta is the G.M. between sin alpha cos alpha , then cos 2 beta is equal to Sin Alpha + Beta Formula Sin(α + β) = sinαcosβ + cosαsinβ. \displaystyle \tan { {\left (\alpha+\beta\right)}}=\frac. Notice that to find the sine or cosine of α + β, we must know. verify the identity \sin (\alpha+\beta)+\sin (\alpha−\beta)=2\sin \alpha \cos \beta. we have the following identities for the tangent of the sum and difference of two angles: Here we will derive formula for. Sin Alpha + Beta Formula.
From math.stackexchange.com
trigonometry Prove \sin (\alpha \beta) = \sin \alpha \cos \beta \sin \beta \cos \alpha Sin Alpha + Beta Formula \displaystyle \tan { {\left (\alpha+\beta\right)}}=\frac. Sin(α + β) = sinαcosβ + cosαsinβ. we have the following identities for the tangent of the sum and difference of two angles: Notice that to find the sine or cosine of α + β, we must know. verify the identity \sin (\alpha+\beta)+\sin (\alpha−\beta)=2\sin \alpha \cos \beta. cos(α + β) = cosαcosβ. Sin Alpha + Beta Formula.
From www.coursehero.com
[Solved] find sin (alphabeta) cos alpha = 5/13, alpha in quadrant I sin... Course Hero Sin Alpha + Beta Formula cos(α + β) = cosαcosβ − sinαsinβ. \displaystyle \tan { {\left (\alpha+\beta\right)}}=\frac. Sin(α + β) = sinαcosβ + cosαsinβ. we have the following identities for the tangent of the sum and difference of two angles: Notice that to find the sine or cosine of α + β, we must know. Here we will derive formula for trigonometric function. Sin Alpha + Beta Formula.
From www.numerade.com
SOLVEDUse the identities for sin(α+β) and sin(αβ) to solve Subtract the left and right sides Sin Alpha + Beta Formula cos(α + β) = cosαcosβ − sinαsinβ. \displaystyle \tan { {\left (\alpha+\beta\right)}}=\frac. we have the following identities for the tangent of the sum and difference of two angles: Sin(α + β) = sinαcosβ + cosαsinβ. verify the identity \sin (\alpha+\beta)+\sin (\alpha−\beta)=2\sin \alpha \cos \beta. Here we will derive formula for trigonometric function of the sum of two. Sin Alpha + Beta Formula.
From math.stackexchange.com
trigonometry Derive \sin(\alpha \beta) Mathematics Stack Exchange Sin Alpha + Beta Formula \displaystyle \tan { {\left (\alpha+\beta\right)}}=\frac. Notice that to find the sine or cosine of α + β, we must know. verify the identity \sin (\alpha+\beta)+\sin (\alpha−\beta)=2\sin \alpha \cos \beta. cos(α + β) = cosαcosβ − sinαsinβ. Sin(α + β) = sinαcosβ + cosαsinβ. we have the following identities for the tangent of the sum and difference of. Sin Alpha + Beta Formula.
From www.youtube.com
If `sin alpha=(12)/(13), cos beta =4/5 and alpha, beta` are two acute angles, then Value YouTube Sin Alpha + Beta Formula Sin(α + β) = sinαcosβ + cosαsinβ. Notice that to find the sine or cosine of α + β, we must know. verify the identity \sin (\alpha+\beta)+\sin (\alpha−\beta)=2\sin \alpha \cos \beta. cos(α + β) = cosαcosβ − sinαsinβ. \displaystyle \tan { {\left (\alpha+\beta\right)}}=\frac. Here we will derive formula for trigonometric function of the sum of two real numbers.. Sin Alpha + Beta Formula.
From www.numerade.com
SOLVEDUsing the trigonometric identity \sin \alpha \sin \beta=\frac{1}{2} \cos (\alpha\beta Sin Alpha + Beta Formula cos(α + β) = cosαcosβ − sinαsinβ. verify the identity \sin (\alpha+\beta)+\sin (\alpha−\beta)=2\sin \alpha \cos \beta. \displaystyle \tan { {\left (\alpha+\beta\right)}}=\frac. we have the following identities for the tangent of the sum and difference of two angles: Sin(α + β) = sinαcosβ + cosαsinβ. Notice that to find the sine or cosine of α + β, we. Sin Alpha + Beta Formula.
From math.stackexchange.com
trigonometry Another proof for \,\cos(\beta\alpha)=\sin\alpha\sin\beta+\cos\alpha\cos\beta Sin Alpha + Beta Formula Notice that to find the sine or cosine of α + β, we must know. verify the identity \sin (\alpha+\beta)+\sin (\alpha−\beta)=2\sin \alpha \cos \beta. \displaystyle \tan { {\left (\alpha+\beta\right)}}=\frac. Sin(α + β) = sinαcosβ + cosαsinβ. Here we will derive formula for trigonometric function of the sum of two real numbers. cos(α + β) = cosαcosβ − sinαsinβ.. Sin Alpha + Beta Formula.
From www.youtube.com
Introduction to Trigonometric Functions Using Triangles YouTube Sin Alpha + Beta Formula cos(α + β) = cosαcosβ − sinαsinβ. Sin(α + β) = sinαcosβ + cosαsinβ. Notice that to find the sine or cosine of α + β, we must know. Here we will derive formula for trigonometric function of the sum of two real numbers. we have the following identities for the tangent of the sum and difference of. Sin Alpha + Beta Formula.
From www.youtube.com
"The expression `(sin(alpha+theta)\""sin\""(alphatheta))/(cos(betatheta)cos(beta+theta))`is Sin Alpha + Beta Formula Sin(α + β) = sinαcosβ + cosαsinβ. cos(α + β) = cosαcosβ − sinαsinβ. \displaystyle \tan { {\left (\alpha+\beta\right)}}=\frac. verify the identity \sin (\alpha+\beta)+\sin (\alpha−\beta)=2\sin \alpha \cos \beta. we have the following identities for the tangent of the sum and difference of two angles: Notice that to find the sine or cosine of α + β, we. Sin Alpha + Beta Formula.