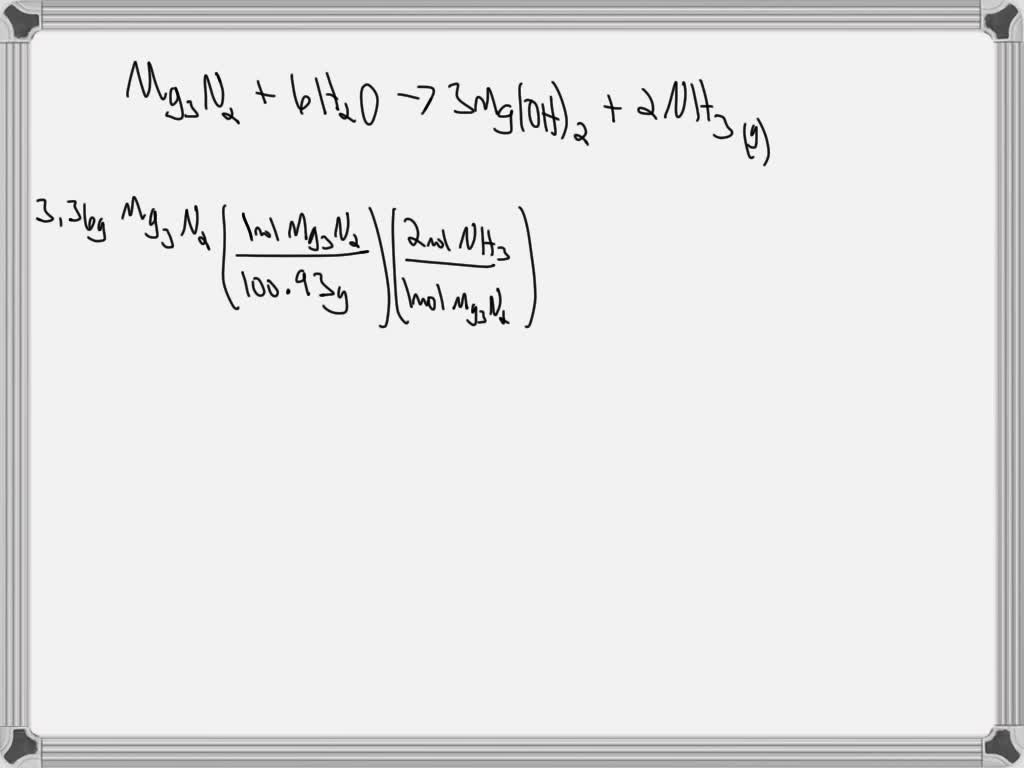
Magnesium Nitride Water Ammonia . Magnesium nitride + water = ammonia + magnesium + hydrogen peroxide. Learn how to balance the equation mg3n2 + h2o = mg (oh)2 + nh3 using the algebraic method or the calculator. In this video we'll balance the equation mg3n2 + h2o = mgo + nh3 and provide the correct. Learn how to balance the chemical equation for the reaction of magnesium nitride and water to form magnesium hydroxide and. Magnesium nitride reacts vigorously with water to form ammonia and magnesium hydroxide, according to the. One mole of magnesium nitride [mg 3 n 2] and six moles of.
from www.numerade.com
In this video we'll balance the equation mg3n2 + h2o = mgo + nh3 and provide the correct. Magnesium nitride reacts vigorously with water to form ammonia and magnesium hydroxide, according to the. One mole of magnesium nitride [mg 3 n 2] and six moles of. Magnesium nitride + water = ammonia + magnesium + hydrogen peroxide. Learn how to balance the equation mg3n2 + h2o = mg (oh)2 + nh3 using the algebraic method or the calculator. Learn how to balance the chemical equation for the reaction of magnesium nitride and water to form magnesium hydroxide and.
Magnesium burns in air to produce magnesium oxide, MgO, and magnesium
Magnesium Nitride Water Ammonia Learn how to balance the chemical equation for the reaction of magnesium nitride and water to form magnesium hydroxide and. Magnesium nitride reacts vigorously with water to form ammonia and magnesium hydroxide, according to the. Magnesium nitride + water = ammonia + magnesium + hydrogen peroxide. One mole of magnesium nitride [mg 3 n 2] and six moles of. Learn how to balance the equation mg3n2 + h2o = mg (oh)2 + nh3 using the algebraic method or the calculator. Learn how to balance the chemical equation for the reaction of magnesium nitride and water to form magnesium hydroxide and. In this video we'll balance the equation mg3n2 + h2o = mgo + nh3 and provide the correct.
From www.numerade.com
SOLVED Magnesium burns in air to produce magnesium oxide; MgO, and Magnesium Nitride Water Ammonia Learn how to balance the equation mg3n2 + h2o = mg (oh)2 + nh3 using the algebraic method or the calculator. Magnesium nitride reacts vigorously with water to form ammonia and magnesium hydroxide, according to the. Learn how to balance the chemical equation for the reaction of magnesium nitride and water to form magnesium hydroxide and. Magnesium nitride + water. Magnesium Nitride Water Ammonia.
From solvedlib.com
Magnesium nitride reacts with water to form ammonia a… SolvedLib Magnesium Nitride Water Ammonia Magnesium nitride reacts vigorously with water to form ammonia and magnesium hydroxide, according to the. In this video we'll balance the equation mg3n2 + h2o = mgo + nh3 and provide the correct. Learn how to balance the equation mg3n2 + h2o = mg (oh)2 + nh3 using the algebraic method or the calculator. One mole of magnesium nitride [mg. Magnesium Nitride Water Ammonia.
From www.numerade.com
SOLVED Write the balanced equation for Magnesium nitride + water Magnesium Nitride Water Ammonia Learn how to balance the equation mg3n2 + h2o = mg (oh)2 + nh3 using the algebraic method or the calculator. Learn how to balance the chemical equation for the reaction of magnesium nitride and water to form magnesium hydroxide and. Magnesium nitride reacts vigorously with water to form ammonia and magnesium hydroxide, according to the. Magnesium nitride + water. Magnesium Nitride Water Ammonia.
From www.numerade.com
SOLVED Question 1 (1 point) Ammonia can be prepared by the reaction of Magnesium Nitride Water Ammonia Learn how to balance the equation mg3n2 + h2o = mg (oh)2 + nh3 using the algebraic method or the calculator. Magnesium nitride reacts vigorously with water to form ammonia and magnesium hydroxide, according to the. One mole of magnesium nitride [mg 3 n 2] and six moles of. Magnesium nitride + water = ammonia + magnesium + hydrogen peroxide.. Magnesium Nitride Water Ammonia.
From www.numerade.com
VIDEO solution One mole of magnesium nitride ou the reaction with an Magnesium Nitride Water Ammonia Learn how to balance the chemical equation for the reaction of magnesium nitride and water to form magnesium hydroxide and. In this video we'll balance the equation mg3n2 + h2o = mgo + nh3 and provide the correct. Magnesium nitride reacts vigorously with water to form ammonia and magnesium hydroxide, according to the. Learn how to balance the equation mg3n2. Magnesium Nitride Water Ammonia.
From www.youtube.com
How to Balance Mg3N2 + H2O = MgO + NH3 (Magnesium nitride + Water Magnesium Nitride Water Ammonia Magnesium nitride + water = ammonia + magnesium + hydrogen peroxide. Learn how to balance the chemical equation for the reaction of magnesium nitride and water to form magnesium hydroxide and. In this video we'll balance the equation mg3n2 + h2o = mgo + nh3 and provide the correct. Magnesium nitride reacts vigorously with water to form ammonia and magnesium. Magnesium Nitride Water Ammonia.
From www.numerade.com
SOLVED 'Question 25 2 pts Ammonia can be prepared by the reaction of Magnesium Nitride Water Ammonia Magnesium nitride + water = ammonia + magnesium + hydrogen peroxide. Learn how to balance the equation mg3n2 + h2o = mg (oh)2 + nh3 using the algebraic method or the calculator. In this video we'll balance the equation mg3n2 + h2o = mgo + nh3 and provide the correct. Learn how to balance the chemical equation for the reaction. Magnesium Nitride Water Ammonia.
From www.numerade.com
One mole of magnesium nitride on the reaction with an excess of water Magnesium Nitride Water Ammonia Learn how to balance the chemical equation for the reaction of magnesium nitride and water to form magnesium hydroxide and. Magnesium nitride reacts vigorously with water to form ammonia and magnesium hydroxide, according to the. Magnesium nitride + water = ammonia + magnesium + hydrogen peroxide. Learn how to balance the equation mg3n2 + h2o = mg (oh)2 + nh3. Magnesium Nitride Water Ammonia.
From www.numerade.com
Magnesium burns in air to produce magnesium oxide, MgO, and magnesium Magnesium Nitride Water Ammonia Magnesium nitride + water = ammonia + magnesium + hydrogen peroxide. Learn how to balance the chemical equation for the reaction of magnesium nitride and water to form magnesium hydroxide and. Learn how to balance the equation mg3n2 + h2o = mg (oh)2 + nh3 using the algebraic method or the calculator. One mole of magnesium nitride [mg 3 n. Magnesium Nitride Water Ammonia.
From www.gauthmath.com
Solved 10.0 points Ammonia can be prepared by the reaction of Magnesium Nitride Water Ammonia Magnesium nitride reacts vigorously with water to form ammonia and magnesium hydroxide, according to the. Learn how to balance the equation mg3n2 + h2o = mg (oh)2 + nh3 using the algebraic method or the calculator. In this video we'll balance the equation mg3n2 + h2o = mgo + nh3 and provide the correct. Learn how to balance the chemical. Magnesium Nitride Water Ammonia.
From www.chegg.com
Solved Ammonia can be made by reaction of water with Magnesium Nitride Water Ammonia Magnesium nitride + water = ammonia + magnesium + hydrogen peroxide. Magnesium nitride reacts vigorously with water to form ammonia and magnesium hydroxide, according to the. Learn how to balance the chemical equation for the reaction of magnesium nitride and water to form magnesium hydroxide and. Learn how to balance the equation mg3n2 + h2o = mg (oh)2 + nh3. Magnesium Nitride Water Ammonia.
From www.studyxapp.com
the equation below shows the reaction between magnesium nitride and Magnesium Nitride Water Ammonia In this video we'll balance the equation mg3n2 + h2o = mgo + nh3 and provide the correct. Magnesium nitride reacts vigorously with water to form ammonia and magnesium hydroxide, according to the. One mole of magnesium nitride [mg 3 n 2] and six moles of. Magnesium nitride + water = ammonia + magnesium + hydrogen peroxide. Learn how to. Magnesium Nitride Water Ammonia.
From www.numerade.com
SOLVED If water is added to magnesium nitride, ammonia gas is produced Magnesium Nitride Water Ammonia Magnesium nitride reacts vigorously with water to form ammonia and magnesium hydroxide, according to the. Magnesium nitride + water = ammonia + magnesium + hydrogen peroxide. In this video we'll balance the equation mg3n2 + h2o = mgo + nh3 and provide the correct. Learn how to balance the chemical equation for the reaction of magnesium nitride and water to. Magnesium Nitride Water Ammonia.
From www.chegg.com
Solved Solid magnesium nitride is placed in water and Magnesium Nitride Water Ammonia In this video we'll balance the equation mg3n2 + h2o = mgo + nh3 and provide the correct. Magnesium nitride + water = ammonia + magnesium + hydrogen peroxide. Learn how to balance the chemical equation for the reaction of magnesium nitride and water to form magnesium hydroxide and. Magnesium nitride reacts vigorously with water to form ammonia and magnesium. Magnesium Nitride Water Ammonia.
From questions-in.kunduz.com
G One mole of magnesium nitride on the r... Chemistry Magnesium Nitride Water Ammonia One mole of magnesium nitride [mg 3 n 2] and six moles of. In this video we'll balance the equation mg3n2 + h2o = mgo + nh3 and provide the correct. Learn how to balance the chemical equation for the reaction of magnesium nitride and water to form magnesium hydroxide and. Magnesium nitride + water = ammonia + magnesium +. Magnesium Nitride Water Ammonia.
From www.numerade.com
SOLVED Magnesium nitride and water react to produce magnesium Magnesium Nitride Water Ammonia Magnesium nitride reacts vigorously with water to form ammonia and magnesium hydroxide, according to the. Learn how to balance the equation mg3n2 + h2o = mg (oh)2 + nh3 using the algebraic method or the calculator. In this video we'll balance the equation mg3n2 + h2o = mgo + nh3 and provide the correct. One mole of magnesium nitride [mg. Magnesium Nitride Water Ammonia.
From www.numerade.com
SOLVED U8 HW Question 15 Unanswered Reacting water with magnesium Magnesium Nitride Water Ammonia Learn how to balance the chemical equation for the reaction of magnesium nitride and water to form magnesium hydroxide and. One mole of magnesium nitride [mg 3 n 2] and six moles of. Learn how to balance the equation mg3n2 + h2o = mg (oh)2 + nh3 using the algebraic method or the calculator. Magnesium nitride + water = ammonia. Magnesium Nitride Water Ammonia.
From questions-in.kunduz.com
Ammonia can be made by reaction of water Physical Chemistry Magnesium Nitride Water Ammonia Magnesium nitride reacts vigorously with water to form ammonia and magnesium hydroxide, according to the. Learn how to balance the chemical equation for the reaction of magnesium nitride and water to form magnesium hydroxide and. In this video we'll balance the equation mg3n2 + h2o = mgo + nh3 and provide the correct. One mole of magnesium nitride [mg 3. Magnesium Nitride Water Ammonia.
From www.numerade.com
SOLVEDOn hydrolysis of magnesium nitride, how many moles of ammonia Magnesium Nitride Water Ammonia Learn how to balance the chemical equation for the reaction of magnesium nitride and water to form magnesium hydroxide and. One mole of magnesium nitride [mg 3 n 2] and six moles of. Magnesium nitride reacts vigorously with water to form ammonia and magnesium hydroxide, according to the. Learn how to balance the equation mg3n2 + h2o = mg (oh)2. Magnesium Nitride Water Ammonia.
From www.nagwa.com
Question Video Balancing a Chemical Equation for the Reaction between Magnesium Nitride Water Ammonia One mole of magnesium nitride [mg 3 n 2] and six moles of. In this video we'll balance the equation mg3n2 + h2o = mgo + nh3 and provide the correct. Magnesium nitride reacts vigorously with water to form ammonia and magnesium hydroxide, according to the. Learn how to balance the equation mg3n2 + h2o = mg (oh)2 + nh3. Magnesium Nitride Water Ammonia.
From www.numerade.com
SOLVED Magnesium burns in air to produce magnesium oxide; MgO, and Magnesium Nitride Water Ammonia One mole of magnesium nitride [mg 3 n 2] and six moles of. Learn how to balance the equation mg3n2 + h2o = mg (oh)2 + nh3 using the algebraic method or the calculator. In this video we'll balance the equation mg3n2 + h2o = mgo + nh3 and provide the correct. Magnesium nitride reacts vigorously with water to form. Magnesium Nitride Water Ammonia.
From pubs.acs.org
Magnesium Nitride as a Convenient Source of Ammonia Preparation of Magnesium Nitride Water Ammonia Learn how to balance the equation mg3n2 + h2o = mg (oh)2 + nh3 using the algebraic method or the calculator. Magnesium nitride reacts vigorously with water to form ammonia and magnesium hydroxide, according to the. One mole of magnesium nitride [mg 3 n 2] and six moles of. In this video we'll balance the equation mg3n2 + h2o =. Magnesium Nitride Water Ammonia.
From www.numerade.com
SOLVED The equation below shows the reaction between magnesium nitride Magnesium Nitride Water Ammonia Magnesium nitride + water = ammonia + magnesium + hydrogen peroxide. Magnesium nitride reacts vigorously with water to form ammonia and magnesium hydroxide, according to the. In this video we'll balance the equation mg3n2 + h2o = mgo + nh3 and provide the correct. One mole of magnesium nitride [mg 3 n 2] and six moles of. Learn how to. Magnesium Nitride Water Ammonia.
From www.chegg.com
Solved If water is added to magnesium nitride, ammonia gas Magnesium Nitride Water Ammonia Learn how to balance the chemical equation for the reaction of magnesium nitride and water to form magnesium hydroxide and. One mole of magnesium nitride [mg 3 n 2] and six moles of. Magnesium nitride + water = ammonia + magnesium + hydrogen peroxide. In this video we'll balance the equation mg3n2 + h2o = mgo + nh3 and provide. Magnesium Nitride Water Ammonia.
From wizedu.com
Solid magnesium nitride reacts with water to produce solid magnesium Magnesium Nitride Water Ammonia Magnesium nitride + water = ammonia + magnesium + hydrogen peroxide. In this video we'll balance the equation mg3n2 + h2o = mgo + nh3 and provide the correct. Learn how to balance the chemical equation for the reaction of magnesium nitride and water to form magnesium hydroxide and. Magnesium nitride reacts vigorously with water to form ammonia and magnesium. Magnesium Nitride Water Ammonia.
From www.youtube.com
Equation for Mg(NO3)2 + H2O (Magnesium nitrate + Water) YouTube Magnesium Nitride Water Ammonia Magnesium nitride reacts vigorously with water to form ammonia and magnesium hydroxide, according to the. Magnesium nitride + water = ammonia + magnesium + hydrogen peroxide. Learn how to balance the equation mg3n2 + h2o = mg (oh)2 + nh3 using the algebraic method or the calculator. In this video we'll balance the equation mg3n2 + h2o = mgo +. Magnesium Nitride Water Ammonia.
From www.numerade.com
SOLVED For the following reaction, 0.579 moles of magnesium nitride Magnesium Nitride Water Ammonia Magnesium nitride + water = ammonia + magnesium + hydrogen peroxide. Learn how to balance the equation mg3n2 + h2o = mg (oh)2 + nh3 using the algebraic method or the calculator. In this video we'll balance the equation mg3n2 + h2o = mgo + nh3 and provide the correct. Learn how to balance the chemical equation for the reaction. Magnesium Nitride Water Ammonia.
From www.numerade.com
SOLVED Magnesium burns in air to produce magnesium oxide, , and Magnesium Nitride Water Ammonia Magnesium nitride + water = ammonia + magnesium + hydrogen peroxide. Magnesium nitride reacts vigorously with water to form ammonia and magnesium hydroxide, according to the. Learn how to balance the chemical equation for the reaction of magnesium nitride and water to form magnesium hydroxide and. Learn how to balance the equation mg3n2 + h2o = mg (oh)2 + nh3. Magnesium Nitride Water Ammonia.
From www.numerade.com
SOLVED Ammonia can be made by the reaction of water with magnesium Magnesium Nitride Water Ammonia One mole of magnesium nitride [mg 3 n 2] and six moles of. Learn how to balance the chemical equation for the reaction of magnesium nitride and water to form magnesium hydroxide and. Magnesium nitride reacts vigorously with water to form ammonia and magnesium hydroxide, according to the. In this video we'll balance the equation mg3n2 + h2o = mgo. Magnesium Nitride Water Ammonia.
From www.chegg.com
Solved Ammonia can be made by reaction of water with Magnesium Nitride Water Ammonia Magnesium nitride + water = ammonia + magnesium + hydrogen peroxide. Learn how to balance the equation mg3n2 + h2o = mg (oh)2 + nh3 using the algebraic method or the calculator. One mole of magnesium nitride [mg 3 n 2] and six moles of. Learn how to balance the chemical equation for the reaction of magnesium nitride and water. Magnesium Nitride Water Ammonia.
From www.numerade.com
SOLVED What mass of ammonia (NH3) is produced when 2.00 moles of Magnesium Nitride Water Ammonia One mole of magnesium nitride [mg 3 n 2] and six moles of. In this video we'll balance the equation mg3n2 + h2o = mgo + nh3 and provide the correct. Learn how to balance the equation mg3n2 + h2o = mg (oh)2 + nh3 using the algebraic method or the calculator. Magnesium nitride reacts vigorously with water to form. Magnesium Nitride Water Ammonia.
From www.chegg.com
Solved Question 16 2 pts Magnesium hydroxide and ammonia Magnesium Nitride Water Ammonia Learn how to balance the chemical equation for the reaction of magnesium nitride and water to form magnesium hydroxide and. In this video we'll balance the equation mg3n2 + h2o = mgo + nh3 and provide the correct. Learn how to balance the equation mg3n2 + h2o = mg (oh)2 + nh3 using the algebraic method or the calculator. One. Magnesium Nitride Water Ammonia.
From www.numerade.com
SOLVED 2. The reaction of magnesium nitride with water forms magnesium Magnesium Nitride Water Ammonia Learn how to balance the chemical equation for the reaction of magnesium nitride and water to form magnesium hydroxide and. Magnesium nitride + water = ammonia + magnesium + hydrogen peroxide. Magnesium nitride reacts vigorously with water to form ammonia and magnesium hydroxide, according to the. Learn how to balance the equation mg3n2 + h2o = mg (oh)2 + nh3. Magnesium Nitride Water Ammonia.
From www.chegg.com
Solved If water is added to magnesium nitride, ammonia gas Magnesium Nitride Water Ammonia Learn how to balance the equation mg3n2 + h2o = mg (oh)2 + nh3 using the algebraic method or the calculator. In this video we'll balance the equation mg3n2 + h2o = mgo + nh3 and provide the correct. Magnesium nitride reacts vigorously with water to form ammonia and magnesium hydroxide, according to the. One mole of magnesium nitride [mg. Magnesium Nitride Water Ammonia.
From www.transtutors.com
(Solved) 12. Water Reacts With Magnesium Nitride To Produce Magnesium Magnesium Nitride Water Ammonia Learn how to balance the equation mg3n2 + h2o = mg (oh)2 + nh3 using the algebraic method or the calculator. Magnesium nitride reacts vigorously with water to form ammonia and magnesium hydroxide, according to the. In this video we'll balance the equation mg3n2 + h2o = mgo + nh3 and provide the correct. Magnesium nitride + water = ammonia. Magnesium Nitride Water Ammonia.