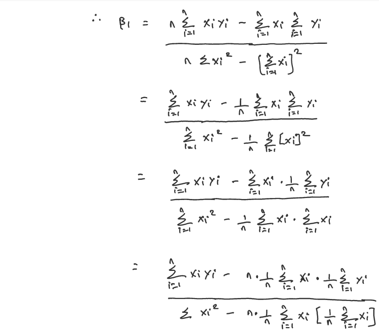
How Do You Find B0 And B1 In Excel . How to calculate the intercept estimation coefficient (bo) and b1 We discussed the importance of understanding the concept of slope and intercept. Up to this point, you have successfully calculated the estimated coefficients of bo and b1 in simple linear regression using excel. However, this article only focuses on how to manually calculate the value of the intercept coefficient (b0), b1 and the coefficient of determination (r squared) using excel. In this tutorial, we will walk through the process of finding b1 and b0 in excel so you can confidently analyze your data and make informed decisions. In this blog post, we will guide you through the steps to find b0 and b1 in excel, starting from organizing your data to visualizing the. Learn the easy steps to calculate b1 and b0, the linear regression coefficients, in excel to analyze your data effectively. The data that researchers have collected can be seen in the table below: In this tutorial, we covered the process of calculating b0 and b1 in excel for linear regression analysis. How to calculate b1 and b0 in excel. You can check the calculation results by.
from www.coursehero.com
In this tutorial, we will walk through the process of finding b1 and b0 in excel so you can confidently analyze your data and make informed decisions. You can check the calculation results by. The data that researchers have collected can be seen in the table below: How to calculate the intercept estimation coefficient (bo) and b1 In this blog post, we will guide you through the steps to find b0 and b1 in excel, starting from organizing your data to visualizing the. In this tutorial, we covered the process of calculating b0 and b1 in excel for linear regression analysis. We discussed the importance of understanding the concept of slope and intercept. Learn the easy steps to calculate b1 and b0, the linear regression coefficients, in excel to analyze your data effectively. However, this article only focuses on how to manually calculate the value of the intercept coefficient (b0), b1 and the coefficient of determination (r squared) using excel. Up to this point, you have successfully calculated the estimated coefficients of bo and b1 in simple linear regression using excel.
For Pngs, qq and qq2 Find B0, B1 and B2 and use excel to plot
How Do You Find B0 And B1 In Excel The data that researchers have collected can be seen in the table below: How to calculate b1 and b0 in excel. However, this article only focuses on how to manually calculate the value of the intercept coefficient (b0), b1 and the coefficient of determination (r squared) using excel. In this tutorial, we covered the process of calculating b0 and b1 in excel for linear regression analysis. You can check the calculation results by. In this blog post, we will guide you through the steps to find b0 and b1 in excel, starting from organizing your data to visualizing the. The data that researchers have collected can be seen in the table below: In this tutorial, we will walk through the process of finding b1 and b0 in excel so you can confidently analyze your data and make informed decisions. How to calculate the intercept estimation coefficient (bo) and b1 Learn the easy steps to calculate b1 and b0, the linear regression coefficients, in excel to analyze your data effectively. Up to this point, you have successfully calculated the estimated coefficients of bo and b1 in simple linear regression using excel. We discussed the importance of understanding the concept of slope and intercept.
From statologie.de
Lineare Regression in Excel so geht's • Statologie How Do You Find B0 And B1 In Excel How to calculate the intercept estimation coefficient (bo) and b1 In this tutorial, we will walk through the process of finding b1 and b0 in excel so you can confidently analyze your data and make informed decisions. We discussed the importance of understanding the concept of slope and intercept. However, this article only focuses on how to manually calculate the. How Do You Find B0 And B1 In Excel.
From www.chegg.com
Solved IMPORTANT Make sure you carry all decimals until you How Do You Find B0 And B1 In Excel You can check the calculation results by. Learn the easy steps to calculate b1 and b0, the linear regression coefficients, in excel to analyze your data effectively. In this tutorial, we covered the process of calculating b0 and b1 in excel for linear regression analysis. The data that researchers have collected can be seen in the table below: However, this. How Do You Find B0 And B1 In Excel.
From www.chegg.com
Solved ECON 215 StatisticsInstructor Dr. Uchechukwu How Do You Find B0 And B1 In Excel You can check the calculation results by. In this tutorial, we will walk through the process of finding b1 and b0 in excel so you can confidently analyze your data and make informed decisions. Up to this point, you have successfully calculated the estimated coefficients of bo and b1 in simple linear regression using excel. How to calculate b1 and. How Do You Find B0 And B1 In Excel.
From commentouvrir.com
Comment calculer le pourcentage dans Excel Commentouvrir Blog How Do You Find B0 And B1 In Excel How to calculate b1 and b0 in excel. The data that researchers have collected can be seen in the table below: How to calculate the intercept estimation coefficient (bo) and b1 In this tutorial, we will walk through the process of finding b1 and b0 in excel so you can confidently analyze your data and make informed decisions. However, this. How Do You Find B0 And B1 In Excel.
From www.reddit.com
Excel can't do countif(A1A4&B1B4,"a1") and Google Sheets can r/excel How Do You Find B0 And B1 In Excel How to calculate b1 and b0 in excel. The data that researchers have collected can be seen in the table below: In this tutorial, we will walk through the process of finding b1 and b0 in excel so you can confidently analyze your data and make informed decisions. However, this article only focuses on how to manually calculate the value. How Do You Find B0 And B1 In Excel.
From aula.bg
Как могат да се обединят съседни клетки без да се губят данни от тях How Do You Find B0 And B1 In Excel How to calculate b1 and b0 in excel. You can check the calculation results by. Up to this point, you have successfully calculated the estimated coefficients of bo and b1 in simple linear regression using excel. However, this article only focuses on how to manually calculate the value of the intercept coefficient (b0), b1 and the coefficient of determination (r. How Do You Find B0 And B1 In Excel.
From pasobstar.blogg.se
pasobstar.blogg.se How to linear regression excel How Do You Find B0 And B1 In Excel The data that researchers have collected can be seen in the table below: We discussed the importance of understanding the concept of slope and intercept. In this tutorial, we will walk through the process of finding b1 and b0 in excel so you can confidently analyze your data and make informed decisions. You can check the calculation results by. Up. How Do You Find B0 And B1 In Excel.
From kandadata.com
How to Calculate bo and b1 Coefficient Manually in Simple Linear How Do You Find B0 And B1 In Excel Up to this point, you have successfully calculated the estimated coefficients of bo and b1 in simple linear regression using excel. The data that researchers have collected can be seen in the table below: How to calculate the intercept estimation coefficient (bo) and b1 You can check the calculation results by. In this blog post, we will guide you through. How Do You Find B0 And B1 In Excel.
From blog.uwgb.edu
How do you interpret b1 in multiple linear regression Gaurav Bansal How Do You Find B0 And B1 In Excel How to calculate b1 and b0 in excel. How to calculate the intercept estimation coefficient (bo) and b1 You can check the calculation results by. We discussed the importance of understanding the concept of slope and intercept. Learn the easy steps to calculate b1 and b0, the linear regression coefficients, in excel to analyze your data effectively. Up to this. How Do You Find B0 And B1 In Excel.
From www.chegg.com
Solved a. Find the estimated B0 and B1 using least squared How Do You Find B0 And B1 In Excel We discussed the importance of understanding the concept of slope and intercept. In this blog post, we will guide you through the steps to find b0 and b1 in excel, starting from organizing your data to visualizing the. However, this article only focuses on how to manually calculate the value of the intercept coefficient (b0), b1 and the coefficient of. How Do You Find B0 And B1 In Excel.
From www.slideserve.com
PPT Linear Regression and Correlation Analysis PowerPoint How Do You Find B0 And B1 In Excel Up to this point, you have successfully calculated the estimated coefficients of bo and b1 in simple linear regression using excel. How to calculate the intercept estimation coefficient (bo) and b1 However, this article only focuses on how to manually calculate the value of the intercept coefficient (b0), b1 and the coefficient of determination (r squared) using excel. In this. How Do You Find B0 And B1 In Excel.
From excel-dashboards.com
Excel Tutorial How To Calculate B1 And B0 In Excel How Do You Find B0 And B1 In Excel In this tutorial, we will walk through the process of finding b1 and b0 in excel so you can confidently analyze your data and make informed decisions. The data that researchers have collected can be seen in the table below: Up to this point, you have successfully calculated the estimated coefficients of bo and b1 in simple linear regression using. How Do You Find B0 And B1 In Excel.
From www.coursehero.com
[Solved] FIND A LINEAR REGRESSION LINE, Y = b0 + b1 * X FOR THE How Do You Find B0 And B1 In Excel In this tutorial, we will walk through the process of finding b1 and b0 in excel so you can confidently analyze your data and make informed decisions. Up to this point, you have successfully calculated the estimated coefficients of bo and b1 in simple linear regression using excel. We discussed the importance of understanding the concept of slope and intercept.. How Do You Find B0 And B1 In Excel.
From www.youtube.com
How To... Perform Simple Linear Regression in Excel 2010 YouTube How Do You Find B0 And B1 In Excel However, this article only focuses on how to manually calculate the value of the intercept coefficient (b0), b1 and the coefficient of determination (r squared) using excel. How to calculate b1 and b0 in excel. How to calculate the intercept estimation coefficient (bo) and b1 Up to this point, you have successfully calculated the estimated coefficients of bo and b1. How Do You Find B0 And B1 In Excel.
From www.youtube.com
Linear Regression in Excel and Rstudio with Anova 2 YouTube How Do You Find B0 And B1 In Excel Up to this point, you have successfully calculated the estimated coefficients of bo and b1 in simple linear regression using excel. In this tutorial, we will walk through the process of finding b1 and b0 in excel so you can confidently analyze your data and make informed decisions. How to calculate the intercept estimation coefficient (bo) and b1 We discussed. How Do You Find B0 And B1 In Excel.
From jumbostill.blogg.se
jumbostill.blogg.se How to calculate effect size for two way anova in How Do You Find B0 And B1 In Excel However, this article only focuses on how to manually calculate the value of the intercept coefficient (b0), b1 and the coefficient of determination (r squared) using excel. In this blog post, we will guide you through the steps to find b0 and b1 in excel, starting from organizing your data to visualizing the. We discussed the importance of understanding the. How Do You Find B0 And B1 In Excel.
From www.coursehero.com
Find B0, B1 and B2. Use excel to plot a scatter plot and step by How Do You Find B0 And B1 In Excel In this blog post, we will guide you through the steps to find b0 and b1 in excel, starting from organizing your data to visualizing the. However, this article only focuses on how to manually calculate the value of the intercept coefficient (b0), b1 and the coefficient of determination (r squared) using excel. How to calculate the intercept estimation coefficient. How Do You Find B0 And B1 In Excel.
From induraj2020.medium.com
How to derive B0 and B1 in Linear Regression by Induraj Medium How Do You Find B0 And B1 In Excel We discussed the importance of understanding the concept of slope and intercept. Learn the easy steps to calculate b1 and b0, the linear regression coefficients, in excel to analyze your data effectively. How to calculate b1 and b0 in excel. However, this article only focuses on how to manually calculate the value of the intercept coefficient (b0), b1 and the. How Do You Find B0 And B1 In Excel.
From www.coursehero.com
Find B0, B1 and B2. Use excel to plot a scatter plot and step by How Do You Find B0 And B1 In Excel How to calculate b1 and b0 in excel. Up to this point, you have successfully calculated the estimated coefficients of bo and b1 in simple linear regression using excel. The data that researchers have collected can be seen in the table below: However, this article only focuses on how to manually calculate the value of the intercept coefficient (b0), b1. How Do You Find B0 And B1 In Excel.
From induraj2020.medium.com
How to derive B0 and B1 in Linear Regression by Induraj Medium How Do You Find B0 And B1 In Excel How to calculate b1 and b0 in excel. In this tutorial, we covered the process of calculating b0 and b1 in excel for linear regression analysis. However, this article only focuses on how to manually calculate the value of the intercept coefficient (b0), b1 and the coefficient of determination (r squared) using excel. In this tutorial, we will walk through. How Do You Find B0 And B1 In Excel.
From techcommunity.microsoft.com
Sort function with countif? Microsoft Community Hub How Do You Find B0 And B1 In Excel How to calculate b1 and b0 in excel. In this blog post, we will guide you through the steps to find b0 and b1 in excel, starting from organizing your data to visualizing the. We discussed the importance of understanding the concept of slope and intercept. The data that researchers have collected can be seen in the table below: Up. How Do You Find B0 And B1 In Excel.
From kandadata.com
How to Calculate bo, b1, and b2 Coefficient Manually in Multiple Linear How Do You Find B0 And B1 In Excel In this blog post, we will guide you through the steps to find b0 and b1 in excel, starting from organizing your data to visualizing the. Up to this point, you have successfully calculated the estimated coefficients of bo and b1 in simple linear regression using excel. In this tutorial, we covered the process of calculating b0 and b1 in. How Do You Find B0 And B1 In Excel.
From www.skrblik.cz
Jak v Excelu vypočítat rozdíl poradíme přehledně a srozumitelně How Do You Find B0 And B1 In Excel In this tutorial, we covered the process of calculating b0 and b1 in excel for linear regression analysis. How to calculate b1 and b0 in excel. The data that researchers have collected can be seen in the table below: However, this article only focuses on how to manually calculate the value of the intercept coefficient (b0), b1 and the coefficient. How Do You Find B0 And B1 In Excel.
From www.youtube.com
Least Square Estimators Variance of Estimators, b0 and b1, Proof How Do You Find B0 And B1 In Excel In this tutorial, we will walk through the process of finding b1 and b0 in excel so you can confidently analyze your data and make informed decisions. In this blog post, we will guide you through the steps to find b0 and b1 in excel, starting from organizing your data to visualizing the. We discussed the importance of understanding the. How Do You Find B0 And B1 In Excel.
From www.slideserve.com
PPT Regression in EXCEL PowerPoint Presentation, free download ID How Do You Find B0 And B1 In Excel You can check the calculation results by. In this tutorial, we covered the process of calculating b0 and b1 in excel for linear regression analysis. However, this article only focuses on how to manually calculate the value of the intercept coefficient (b0), b1 and the coefficient of determination (r squared) using excel. In this tutorial, we will walk through the. How Do You Find B0 And B1 In Excel.
From www.studeersnel.nl
Data Analyse formules Basic assumption (echte beta geen b) E(Y How Do You Find B0 And B1 In Excel In this tutorial, we covered the process of calculating b0 and b1 in excel for linear regression analysis. You can check the calculation results by. The data that researchers have collected can be seen in the table below: How to calculate the intercept estimation coefficient (bo) and b1 Up to this point, you have successfully calculated the estimated coefficients of. How Do You Find B0 And B1 In Excel.
From excel-dashboards.com
Excel Tutorial How To Find B1 And B0 In Excel How Do You Find B0 And B1 In Excel In this tutorial, we covered the process of calculating b0 and b1 in excel for linear regression analysis. Learn the easy steps to calculate b1 and b0, the linear regression coefficients, in excel to analyze your data effectively. In this blog post, we will guide you through the steps to find b0 and b1 in excel, starting from organizing your. How Do You Find B0 And B1 In Excel.
From oregonlasopa437.weebly.com
Standard error microsoft excel data analysis regression oregonlasopa How Do You Find B0 And B1 In Excel However, this article only focuses on how to manually calculate the value of the intercept coefficient (b0), b1 and the coefficient of determination (r squared) using excel. In this tutorial, we will walk through the process of finding b1 and b0 in excel so you can confidently analyze your data and make informed decisions. In this tutorial, we covered the. How Do You Find B0 And B1 In Excel.
From www.chegg.com
Solved The Least Squares Method determined the values of How Do You Find B0 And B1 In Excel How to calculate the intercept estimation coefficient (bo) and b1 How to calculate b1 and b0 in excel. Learn the easy steps to calculate b1 and b0, the linear regression coefficients, in excel to analyze your data effectively. In this tutorial, we covered the process of calculating b0 and b1 in excel for linear regression analysis. Up to this point,. How Do You Find B0 And B1 In Excel.
From kandadata.com
How to Calculate Coefficients bo and b1 of Simple Linear Regression How Do You Find B0 And B1 In Excel The data that researchers have collected can be seen in the table below: Up to this point, you have successfully calculated the estimated coefficients of bo and b1 in simple linear regression using excel. In this blog post, we will guide you through the steps to find b0 and b1 in excel, starting from organizing your data to visualizing the.. How Do You Find B0 And B1 In Excel.
From pantip.com
Excel จะตั้งสูตรจากช่วงคะแนน เพื่อให้ตัดเป็นเกรด ยังไงครับ Pantip How Do You Find B0 And B1 In Excel In this tutorial, we will walk through the process of finding b1 and b0 in excel so you can confidently analyze your data and make informed decisions. How to calculate the intercept estimation coefficient (bo) and b1 Up to this point, you have successfully calculated the estimated coefficients of bo and b1 in simple linear regression using excel. Learn the. How Do You Find B0 And B1 In Excel.
From www.lifewire.com
How to Run Regression In Excel How Do You Find B0 And B1 In Excel In this tutorial, we will walk through the process of finding b1 and b0 in excel so you can confidently analyze your data and make informed decisions. In this blog post, we will guide you through the steps to find b0 and b1 in excel, starting from organizing your data to visualizing the. How to calculate b1 and b0 in. How Do You Find B0 And B1 In Excel.
From kandadata.com
How to Calculate bo, b1, and b2 Coefficient Manually in Multiple Linear How Do You Find B0 And B1 In Excel How to calculate b1 and b0 in excel. Learn the easy steps to calculate b1 and b0, the linear regression coefficients, in excel to analyze your data effectively. In this blog post, we will guide you through the steps to find b0 and b1 in excel, starting from organizing your data to visualizing the. However, this article only focuses on. How Do You Find B0 And B1 In Excel.
From daserbuild.weebly.com
Using excel linear regression question for test daserbuild How Do You Find B0 And B1 In Excel How to calculate the intercept estimation coefficient (bo) and b1 The data that researchers have collected can be seen in the table below: How to calculate b1 and b0 in excel. You can check the calculation results by. In this tutorial, we covered the process of calculating b0 and b1 in excel for linear regression analysis. In this blog post,. How Do You Find B0 And B1 In Excel.
From www.coursehero.com
For Pngs, qq and qq2 Find B0, B1 and B2 and use excel to plot How Do You Find B0 And B1 In Excel How to calculate the intercept estimation coefficient (bo) and b1 How to calculate b1 and b0 in excel. In this tutorial, we covered the process of calculating b0 and b1 in excel for linear regression analysis. The data that researchers have collected can be seen in the table below: However, this article only focuses on how to manually calculate the. How Do You Find B0 And B1 In Excel.