Lab Basics Quizlet . Point and laugh and tell the person why the lab practice is unsafe. Politely point out the possible danger and how to avoid it. Study with quizlet and memorize flashcards containing terms like lab safety rules, lab safety, lab. Test your knowledge on basic laboratory techniques with this quiz. Take this fun online quiz to see if you're safe in a chemistry laboratory or an accident waiting to happen. Phlebotomy quizzes, questions & answers. Includes questions about sterile items, hand washing, use of. Phlebotomy is the process of using a needle to make an incision into a blood vessel. Study with quizlet and memorize flashcards containing terms like practice questions are the same as knowledge checks. Holding, mixing, heating, measuring liquids. Study with quizlet and memorize flashcards containing terms like safety/splash goggles, triple beam balance, graduated cylinder and. This online quiz is intended to give you extra practice in identifying common chemistry laboratory equipment and safety symbols by name, diagram and description.
from www.studocu.com
Phlebotomy is the process of using a needle to make an incision into a blood vessel. Study with quizlet and memorize flashcards containing terms like practice questions are the same as knowledge checks. Study with quizlet and memorize flashcards containing terms like lab safety rules, lab safety, lab. Holding, mixing, heating, measuring liquids. Includes questions about sterile items, hand washing, use of. Test your knowledge on basic laboratory techniques with this quiz. Politely point out the possible danger and how to avoid it. Study with quizlet and memorize flashcards containing terms like safety/splash goggles, triple beam balance, graduated cylinder and. Phlebotomy quizzes, questions & answers. This online quiz is intended to give you extra practice in identifying common chemistry laboratory equipment and safety symbols by name, diagram and description.
Depressive Disorder ACTIVE LEARNING TEMPLATES THERAPEUTIC PROCEDURE A
Lab Basics Quizlet Includes questions about sterile items, hand washing, use of. Phlebotomy is the process of using a needle to make an incision into a blood vessel. Phlebotomy quizzes, questions & answers. Politely point out the possible danger and how to avoid it. Study with quizlet and memorize flashcards containing terms like safety/splash goggles, triple beam balance, graduated cylinder and. This online quiz is intended to give you extra practice in identifying common chemistry laboratory equipment and safety symbols by name, diagram and description. Take this fun online quiz to see if you're safe in a chemistry laboratory or an accident waiting to happen. Holding, mixing, heating, measuring liquids. Study with quizlet and memorize flashcards containing terms like lab safety rules, lab safety, lab. Study with quizlet and memorize flashcards containing terms like practice questions are the same as knowledge checks. Includes questions about sterile items, hand washing, use of. Test your knowledge on basic laboratory techniques with this quiz. Point and laugh and tell the person why the lab practice is unsafe.
From learningschoolinsitovp.z22.web.core.windows.net
Science Lab Equipment List Lab Basics Quizlet Point and laugh and tell the person why the lab practice is unsafe. Phlebotomy is the process of using a needle to make an incision into a blood vessel. Study with quizlet and memorize flashcards containing terms like lab safety rules, lab safety, lab. Politely point out the possible danger and how to avoid it. Phlebotomy quizzes, questions & answers.. Lab Basics Quizlet.
From in.pinterest.com
List of Lab Equipment Names and Pictures PDF GrammarVocab Lab Lab Basics Quizlet This online quiz is intended to give you extra practice in identifying common chemistry laboratory equipment and safety symbols by name, diagram and description. Take this fun online quiz to see if you're safe in a chemistry laboratory or an accident waiting to happen. Study with quizlet and memorize flashcards containing terms like lab safety rules, lab safety, lab. Test. Lab Basics Quizlet.
From quizlet.com
basic laboratory equipment Diagram Quizlet Lab Basics Quizlet Includes questions about sterile items, hand washing, use of. Study with quizlet and memorize flashcards containing terms like lab safety rules, lab safety, lab. Study with quizlet and memorize flashcards containing terms like practice questions are the same as knowledge checks. Point and laugh and tell the person why the lab practice is unsafe. This online quiz is intended to. Lab Basics Quizlet.
From sandcontrollab.com
Laboratory SAND CONTROL LAB Lab Basics Quizlet Study with quizlet and memorize flashcards containing terms like lab safety rules, lab safety, lab. Study with quizlet and memorize flashcards containing terms like safety/splash goggles, triple beam balance, graduated cylinder and. Point and laugh and tell the person why the lab practice is unsafe. Phlebotomy is the process of using a needle to make an incision into a blood. Lab Basics Quizlet.
From www.pinterest.com
Lab Equipment Worksheet Answer Key Ap Chemistry An Overview Of Mon Lab Lab Basics Quizlet Phlebotomy is the process of using a needle to make an incision into a blood vessel. Politely point out the possible danger and how to avoid it. Study with quizlet and memorize flashcards containing terms like lab safety rules, lab safety, lab. Includes questions about sterile items, hand washing, use of. Study with quizlet and memorize flashcards containing terms like. Lab Basics Quizlet.
From quizlet.com
General Chemistry The Basic Laboratory Glasswares Diagram Quizlet Lab Basics Quizlet Study with quizlet and memorize flashcards containing terms like safety/splash goggles, triple beam balance, graduated cylinder and. Phlebotomy quizzes, questions & answers. Point and laugh and tell the person why the lab practice is unsafe. This online quiz is intended to give you extra practice in identifying common chemistry laboratory equipment and safety symbols by name, diagram and description. Study. Lab Basics Quizlet.
From giovlaesa.blob.core.windows.net
Equipment Examples Chemistry at Amanda Nagy blog Lab Basics Quizlet Point and laugh and tell the person why the lab practice is unsafe. Politely point out the possible danger and how to avoid it. Take this fun online quiz to see if you're safe in a chemistry laboratory or an accident waiting to happen. Study with quizlet and memorize flashcards containing terms like practice questions are the same as knowledge. Lab Basics Quizlet.
From www.studypool.com
SOLUTION Lab basic linux commands Studypool Lab Basics Quizlet Study with quizlet and memorize flashcards containing terms like lab safety rules, lab safety, lab. Study with quizlet and memorize flashcards containing terms like safety/splash goggles, triple beam balance, graduated cylinder and. This online quiz is intended to give you extra practice in identifying common chemistry laboratory equipment and safety symbols by name, diagram and description. Includes questions about sterile. Lab Basics Quizlet.
From worksheetstinifloclaniv9.z21.web.core.windows.net
Quizlet Anatomy And Physiology Chapter 1 Quiz Lab Basics Quizlet Study with quizlet and memorize flashcards containing terms like lab safety rules, lab safety, lab. This online quiz is intended to give you extra practice in identifying common chemistry laboratory equipment and safety symbols by name, diagram and description. Test your knowledge on basic laboratory techniques with this quiz. Politely point out the possible danger and how to avoid it.. Lab Basics Quizlet.
From www.kewaunee.in
Lab Safety Basics Essential Guidelines Kewaunee Lab Basics Quizlet Phlebotomy is the process of using a needle to make an incision into a blood vessel. Study with quizlet and memorize flashcards containing terms like safety/splash goggles, triple beam balance, graduated cylinder and. Study with quizlet and memorize flashcards containing terms like lab safety rules, lab safety, lab. Includes questions about sterile items, hand washing, use of. Politely point out. Lab Basics Quizlet.
From sandcontrollab.com
Laboratory SAND CONTROL LAB Lab Basics Quizlet Phlebotomy is the process of using a needle to make an incision into a blood vessel. Take this fun online quiz to see if you're safe in a chemistry laboratory or an accident waiting to happen. Holding, mixing, heating, measuring liquids. Study with quizlet and memorize flashcards containing terms like safety/splash goggles, triple beam balance, graduated cylinder and. Includes questions. Lab Basics Quizlet.
From www.studypool.com
SOLUTION Lab basic linux commands Studypool Lab Basics Quizlet Test your knowledge on basic laboratory techniques with this quiz. Take this fun online quiz to see if you're safe in a chemistry laboratory or an accident waiting to happen. Holding, mixing, heating, measuring liquids. Includes questions about sterile items, hand washing, use of. This online quiz is intended to give you extra practice in identifying common chemistry laboratory equipment. Lab Basics Quizlet.
From studylib.net
Exploring Gravity Remote Lab Lab Basics Quizlet Holding, mixing, heating, measuring liquids. Study with quizlet and memorize flashcards containing terms like practice questions are the same as knowledge checks. Study with quizlet and memorize flashcards containing terms like lab safety rules, lab safety, lab. Point and laugh and tell the person why the lab practice is unsafe. Includes questions about sterile items, hand washing, use of. Phlebotomy. Lab Basics Quizlet.
From www.studocu.com
NUR 111 LabClinical Skills Log Studocu Lab Basics Quizlet This online quiz is intended to give you extra practice in identifying common chemistry laboratory equipment and safety symbols by name, diagram and description. Phlebotomy is the process of using a needle to make an incision into a blood vessel. Holding, mixing, heating, measuring liquids. Politely point out the possible danger and how to avoid it. Take this fun online. Lab Basics Quizlet.
From fyomuuxqi.blob.core.windows.net
Lab Year Definition at Rachel Myrick blog Lab Basics Quizlet Phlebotomy is the process of using a needle to make an incision into a blood vessel. Study with quizlet and memorize flashcards containing terms like safety/splash goggles, triple beam balance, graduated cylinder and. Includes questions about sterile items, hand washing, use of. Take this fun online quiz to see if you're safe in a chemistry laboratory or an accident waiting. Lab Basics Quizlet.
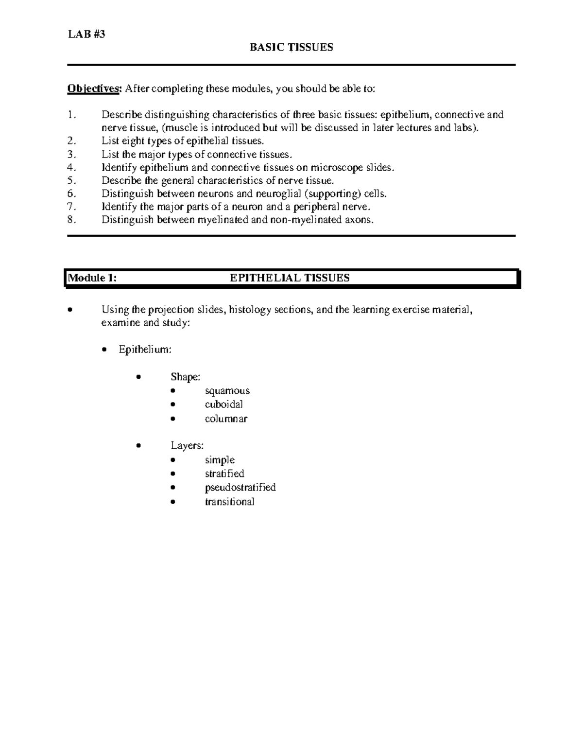
From www.studocu.com
Lab 31 Basic Tissues Lab LAB BASIC TISSUES Objectives After Lab Basics Quizlet Politely point out the possible danger and how to avoid it. Take this fun online quiz to see if you're safe in a chemistry laboratory or an accident waiting to happen. Point and laugh and tell the person why the lab practice is unsafe. This online quiz is intended to give you extra practice in identifying common chemistry laboratory equipment. Lab Basics Quizlet.
From quizlet.com
Chem Lab Equipment Diagram Quizlet Lab Basics Quizlet Phlebotomy is the process of using a needle to make an incision into a blood vessel. Point and laugh and tell the person why the lab practice is unsafe. Study with quizlet and memorize flashcards containing terms like lab safety rules, lab safety, lab. Study with quizlet and memorize flashcards containing terms like safety/splash goggles, triple beam balance, graduated cylinder. Lab Basics Quizlet.
From www.studocu.com
Lab Basics Notes Lab Basics Micropipettes P1000 (range 100 to 1000 Lab Basics Quizlet Test your knowledge on basic laboratory techniques with this quiz. Take this fun online quiz to see if you're safe in a chemistry laboratory or an accident waiting to happen. Study with quizlet and memorize flashcards containing terms like lab safety rules, lab safety, lab. Point and laugh and tell the person why the lab practice is unsafe. Politely point. Lab Basics Quizlet.
From github.com
GitHub PLND95/HTML_LAB_Basic Lab Basics Quizlet Politely point out the possible danger and how to avoid it. Study with quizlet and memorize flashcards containing terms like lab safety rules, lab safety, lab. Phlebotomy is the process of using a needle to make an incision into a blood vessel. Holding, mixing, heating, measuring liquids. Includes questions about sterile items, hand washing, use of. Test your knowledge on. Lab Basics Quizlet.
From www.studocu.com
Depressive Disorder ACTIVE LEARNING TEMPLATES THERAPEUTIC PROCEDURE A Lab Basics Quizlet Phlebotomy is the process of using a needle to make an incision into a blood vessel. Study with quizlet and memorize flashcards containing terms like safety/splash goggles, triple beam balance, graduated cylinder and. Study with quizlet and memorize flashcards containing terms like lab safety rules, lab safety, lab. Phlebotomy quizzes, questions & answers. Point and laugh and tell the person. Lab Basics Quizlet.
From www.studypool.com
SOLUTION Lab basic linux commands Studypool Lab Basics Quizlet Study with quizlet and memorize flashcards containing terms like lab safety rules, lab safety, lab. Holding, mixing, heating, measuring liquids. Study with quizlet and memorize flashcards containing terms like safety/splash goggles, triple beam balance, graduated cylinder and. Includes questions about sterile items, hand washing, use of. Politely point out the possible danger and how to avoid it. Phlebotomy is the. Lab Basics Quizlet.
From www.studocu.com
BIO 101 Lab 03, Microscopy and Cells,original upload their completed Lab Basics Quizlet This online quiz is intended to give you extra practice in identifying common chemistry laboratory equipment and safety symbols by name, diagram and description. Politely point out the possible danger and how to avoid it. Point and laugh and tell the person why the lab practice is unsafe. Holding, mixing, heating, measuring liquids. Take this fun online quiz to see. Lab Basics Quizlet.
From quizlet.com
Lab basics Diagram Quizlet Lab Basics Quizlet Includes questions about sterile items, hand washing, use of. Politely point out the possible danger and how to avoid it. This online quiz is intended to give you extra practice in identifying common chemistry laboratory equipment and safety symbols by name, diagram and description. Holding, mixing, heating, measuring liquids. Study with quizlet and memorize flashcards containing terms like practice questions. Lab Basics Quizlet.
From www.myxxgirl.com
Lab Appendicular Skeleton Diagram Quizlet My XXX Hot Girl Lab Basics Quizlet Study with quizlet and memorize flashcards containing terms like practice questions are the same as knowledge checks. This online quiz is intended to give you extra practice in identifying common chemistry laboratory equipment and safety symbols by name, diagram and description. Includes questions about sterile items, hand washing, use of. Politely point out the possible danger and how to avoid. Lab Basics Quizlet.
From quizlet.com
Lab 2 Diagram Quizlet Lab Basics Quizlet Test your knowledge on basic laboratory techniques with this quiz. Point and laugh and tell the person why the lab practice is unsafe. Holding, mixing, heating, measuring liquids. Politely point out the possible danger and how to avoid it. Phlebotomy quizzes, questions & answers. Study with quizlet and memorize flashcards containing terms like practice questions are the same as knowledge. Lab Basics Quizlet.
From stravie3lmaterialdb.z13.web.core.windows.net
Terminology Quiz Anatomy Lab Basics Quizlet Study with quizlet and memorize flashcards containing terms like safety/splash goggles, triple beam balance, graduated cylinder and. Phlebotomy quizzes, questions & answers. Politely point out the possible danger and how to avoid it. Take this fun online quiz to see if you're safe in a chemistry laboratory or an accident waiting to happen. Study with quizlet and memorize flashcards containing. Lab Basics Quizlet.
From quizlet.com
Lab Saftey Diagram Quizlet Lab Basics Quizlet Study with quizlet and memorize flashcards containing terms like lab safety rules, lab safety, lab. This online quiz is intended to give you extra practice in identifying common chemistry laboratory equipment and safety symbols by name, diagram and description. Study with quizlet and memorize flashcards containing terms like safety/splash goggles, triple beam balance, graduated cylinder and. Point and laugh and. Lab Basics Quizlet.
From permacharts.com
Basic Laboratory Equipment Guide Quick Reference Lab Basics Quizlet Study with quizlet and memorize flashcards containing terms like lab safety rules, lab safety, lab. Politely point out the possible danger and how to avoid it. Includes questions about sterile items, hand washing, use of. Holding, mixing, heating, measuring liquids. Phlebotomy quizzes, questions & answers. Test your knowledge on basic laboratory techniques with this quiz. This online quiz is intended. Lab Basics Quizlet.
From links.lfg.com
💐 Fine adjustment knob function microscope. How to use the Fine and Lab Basics Quizlet This online quiz is intended to give you extra practice in identifying common chemistry laboratory equipment and safety symbols by name, diagram and description. Study with quizlet and memorize flashcards containing terms like safety/splash goggles, triple beam balance, graduated cylinder and. Holding, mixing, heating, measuring liquids. Study with quizlet and memorize flashcards containing terms like practice questions are the same. Lab Basics Quizlet.
From quizlet.com
Lab 10 Diagram Quizlet Lab Basics Quizlet Includes questions about sterile items, hand washing, use of. Phlebotomy is the process of using a needle to make an incision into a blood vessel. Phlebotomy quizzes, questions & answers. Study with quizlet and memorize flashcards containing terms like safety/splash goggles, triple beam balance, graduated cylinder and. Holding, mixing, heating, measuring liquids. Test your knowledge on basic laboratory techniques with. Lab Basics Quizlet.
From quizlet.com
Common Lab Equipment Diagram Quizlet Lab Basics Quizlet Politely point out the possible danger and how to avoid it. Phlebotomy quizzes, questions & answers. Phlebotomy is the process of using a needle to make an incision into a blood vessel. This online quiz is intended to give you extra practice in identifying common chemistry laboratory equipment and safety symbols by name, diagram and description. Study with quizlet and. Lab Basics Quizlet.
From studylib.net
Laboratory Basics Lab Basics Quizlet Includes questions about sterile items, hand washing, use of. Holding, mixing, heating, measuring liquids. Phlebotomy quizzes, questions & answers. This online quiz is intended to give you extra practice in identifying common chemistry laboratory equipment and safety symbols by name, diagram and description. Politely point out the possible danger and how to avoid it. Study with quizlet and memorize flashcards. Lab Basics Quizlet.
From www.studocu.com
Lab Nervous Late penalties will apply. Type your answers and copy all Lab Basics Quizlet Point and laugh and tell the person why the lab practice is unsafe. Includes questions about sterile items, hand washing, use of. Phlebotomy is the process of using a needle to make an incision into a blood vessel. Study with quizlet and memorize flashcards containing terms like practice questions are the same as knowledge checks. Take this fun online quiz. Lab Basics Quizlet.
From www.chegg.com
Solved SKILLS LAB BASIC LAB EQUIPMENT, USING THE METRIC Lab Basics Quizlet Study with quizlet and memorize flashcards containing terms like lab safety rules, lab safety, lab. Politely point out the possible danger and how to avoid it. Study with quizlet and memorize flashcards containing terms like practice questions are the same as knowledge checks. Includes questions about sterile items, hand washing, use of. Take this fun online quiz to see if. Lab Basics Quizlet.
From printablelibthale.z21.web.core.windows.net
Laboratory Equipment Worksheets Lab Basics Quizlet Phlebotomy quizzes, questions & answers. This online quiz is intended to give you extra practice in identifying common chemistry laboratory equipment and safety symbols by name, diagram and description. Study with quizlet and memorize flashcards containing terms like lab safety rules, lab safety, lab. Holding, mixing, heating, measuring liquids. Includes questions about sterile items, hand washing, use of. Politely point. Lab Basics Quizlet.