Can A Board Of Directors Remove A Director . The board of directors, each of whom is appointed by the shareholders and manages the company. Only shareholders have the right to remove directors. A person may cease to be a director of a company by resignation or disqualification. The articles of association do not place any fetter on the power of the board of directors to remove a director from service. You cannot be appointed as an “inactive director”, “nominee director” or “sleeping director” and not be held responsible for any offences. However, based on article 152 (8) in companies. If a director dies, they will. If the director is absent from board meetings for a specified period. As well as by resignation or by vote, a director can be removed through a variety of other circumstances. A director’s resignation is valid if the following. If the director fails to take up a share qualification required by the articles; The officers that run the.
from vakilsearch.com
A director’s resignation is valid if the following. If a director dies, they will. Only shareholders have the right to remove directors. If the director is absent from board meetings for a specified period. A person may cease to be a director of a company by resignation or disqualification. However, based on article 152 (8) in companies. You cannot be appointed as an “inactive director”, “nominee director” or “sleeping director” and not be held responsible for any offences. As well as by resignation or by vote, a director can be removed through a variety of other circumstances. The officers that run the. The board of directors, each of whom is appointed by the shareholders and manages the company.
Removal of Director from a Company Vakilsearch
Can A Board Of Directors Remove A Director If a director dies, they will. The articles of association do not place any fetter on the power of the board of directors to remove a director from service. The board of directors, each of whom is appointed by the shareholders and manages the company. Only shareholders have the right to remove directors. If a director dies, they will. You cannot be appointed as an “inactive director”, “nominee director” or “sleeping director” and not be held responsible for any offences. If the director fails to take up a share qualification required by the articles; A director’s resignation is valid if the following. If the director is absent from board meetings for a specified period. The officers that run the. A person may cease to be a director of a company by resignation or disqualification. As well as by resignation or by vote, a director can be removed through a variety of other circumstances. However, based on article 152 (8) in companies.
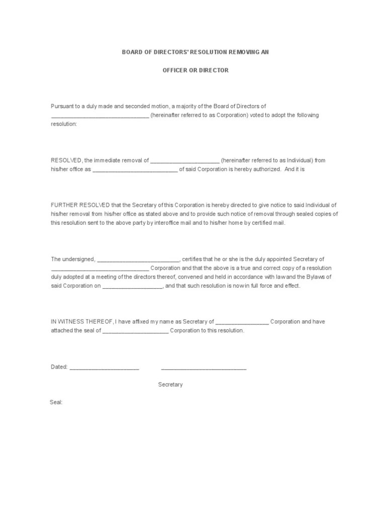
From www.resolutionsamples.com
Board Resolution for Removal of Director Due to Disqualification Can A Board Of Directors Remove A Director Only shareholders have the right to remove directors. A person may cease to be a director of a company by resignation or disqualification. If the director is absent from board meetings for a specified period. As well as by resignation or by vote, a director can be removed through a variety of other circumstances. A director’s resignation is valid if. Can A Board Of Directors Remove A Director.
From www.resolutionlawng.com
REMOVAL AND CHANGE OF DIRECTORS IN A PRIVATE LIMITED LIABILITY COMPANY Can A Board Of Directors Remove A Director Only shareholders have the right to remove directors. The board of directors, each of whom is appointed by the shareholders and manages the company. The officers that run the. A person may cease to be a director of a company by resignation or disqualification. A director’s resignation is valid if the following. However, based on article 152 (8) in companies.. Can A Board Of Directors Remove A Director.
From swaritadvisors.com
Removal of a Director under Companies Act, 2013 Swarit Advisors Can A Board Of Directors Remove A Director If a director dies, they will. You cannot be appointed as an “inactive director”, “nominee director” or “sleeping director” and not be held responsible for any offences. As well as by resignation or by vote, a director can be removed through a variety of other circumstances. If the director is absent from board meetings for a specified period. A person. Can A Board Of Directors Remove A Director.
From summitjunto.co
Can A Board Of Directors Remove A Director? Can A Board Of Directors Remove A Director A person may cease to be a director of a company by resignation or disqualification. The board of directors, each of whom is appointed by the shareholders and manages the company. Only shareholders have the right to remove directors. A director’s resignation is valid if the following. If the director fails to take up a share qualification required by the. Can A Board Of Directors Remove A Director.
From www.slideshare.net
Removal of Director News letter Can A Board Of Directors Remove A Director The board of directors, each of whom is appointed by the shareholders and manages the company. If a director dies, they will. However, based on article 152 (8) in companies. The officers that run the. If the director fails to take up a share qualification required by the articles; A director’s resignation is valid if the following. If the director. Can A Board Of Directors Remove A Director.
From help.clerky.com
How can I remove a director from the board? Help Center Clerky Can A Board Of Directors Remove A Director If the director fails to take up a share qualification required by the articles; The articles of association do not place any fetter on the power of the board of directors to remove a director from service. The officers that run the. If the director is absent from board meetings for a specified period. You cannot be appointed as an. Can A Board Of Directors Remove A Director.
From templates.rjuuc.edu.np
Board Resolution Change Of Directors Template Can A Board Of Directors Remove A Director If the director fails to take up a share qualification required by the articles; If the director is absent from board meetings for a specified period. A person may cease to be a director of a company by resignation or disqualification. You cannot be appointed as an “inactive director”, “nominee director” or “sleeping director” and not be held responsible for. Can A Board Of Directors Remove A Director.
From www.resolutionsamples.com
Ordinary Resolution for Removal of Director under Section 169 Can A Board Of Directors Remove A Director You cannot be appointed as an “inactive director”, “nominee director” or “sleeping director” and not be held responsible for any offences. If a director dies, they will. As well as by resignation or by vote, a director can be removed through a variety of other circumstances. However, based on article 152 (8) in companies. A person may cease to be. Can A Board Of Directors Remove A Director.
From swaritadvisors.com
Procedure for Removal of Director from the Company SwaritAdvisors Can A Board Of Directors Remove A Director If the director fails to take up a share qualification required by the articles; A person may cease to be a director of a company by resignation or disqualification. If the director is absent from board meetings for a specified period. However, based on article 152 (8) in companies. The articles of association do not place any fetter on the. Can A Board Of Directors Remove A Director.
From www.bossboleh.com
Resignation & Removal of Director Can A Board Of Directors Remove A Director As well as by resignation or by vote, a director can be removed through a variety of other circumstances. You cannot be appointed as an “inactive director”, “nominee director” or “sleeping director” and not be held responsible for any offences. The board of directors, each of whom is appointed by the shareholders and manages the company. However, based on article. Can A Board Of Directors Remove A Director.
From filinglounge.com
How To Remove A Director From A Company with ease Step by Step Guide Can A Board Of Directors Remove A Director If the director is absent from board meetings for a specified period. If a director dies, they will. As well as by resignation or by vote, a director can be removed through a variety of other circumstances. However, based on article 152 (8) in companies. Only shareholders have the right to remove directors. The articles of association do not place. Can A Board Of Directors Remove A Director.
From www.scribd.com
Board Of Directors' Resolution Removing An Officer Or Director Board Can A Board Of Directors Remove A Director Only shareholders have the right to remove directors. The articles of association do not place any fetter on the power of the board of directors to remove a director from service. You cannot be appointed as an “inactive director”, “nominee director” or “sleeping director” and not be held responsible for any offences. However, based on article 152 (8) in companies.. Can A Board Of Directors Remove A Director.
From www.resolutionsamples.com
Draft Board Resolution for Acceptance of Resignation of Director Can A Board Of Directors Remove A Director If the director is absent from board meetings for a specified period. A person may cease to be a director of a company by resignation or disqualification. You cannot be appointed as an “inactive director”, “nominee director” or “sleeping director” and not be held responsible for any offences. As well as by resignation or by vote, a director can be. Can A Board Of Directors Remove A Director.
From summitjunto.co
How To Remove An Entire Board Of Directors? Can A Board Of Directors Remove A Director A director’s resignation is valid if the following. A person may cease to be a director of a company by resignation or disqualification. You cannot be appointed as an “inactive director”, “nominee director” or “sleeping director” and not be held responsible for any offences. The officers that run the. The articles of association do not place any fetter on the. Can A Board Of Directors Remove A Director.
From www.anbca.com
Format of Board Resolution for Removal of Director Download Free Can A Board Of Directors Remove A Director A person may cease to be a director of a company by resignation or disqualification. If the director fails to take up a share qualification required by the articles; If a director dies, they will. The board of directors, each of whom is appointed by the shareholders and manages the company. As well as by resignation or by vote, a. Can A Board Of Directors Remove A Director.
From www.allbusinesstemplates.com
Free Board Of Directors Resignation Letter Templates at Can A Board Of Directors Remove A Director However, based on article 152 (8) in companies. If the director fails to take up a share qualification required by the articles; A person may cease to be a director of a company by resignation or disqualification. The officers that run the. The board of directors, each of whom is appointed by the shareholders and manages the company. The articles. Can A Board Of Directors Remove A Director.
From www.scribd.com
4.1. The Criteria and Procedure For Removing Directors and Appointing Can A Board Of Directors Remove A Director If a director dies, they will. The board of directors, each of whom is appointed by the shareholders and manages the company. A person may cease to be a director of a company by resignation or disqualification. As well as by resignation or by vote, a director can be removed through a variety of other circumstances. If the director fails. Can A Board Of Directors Remove A Director.
From www.taxledgeradvisor.com
Appointment Resignation and removal of Director. Easy guide for FY 21 Can A Board Of Directors Remove A Director The officers that run the. The articles of association do not place any fetter on the power of the board of directors to remove a director from service. The board of directors, each of whom is appointed by the shareholders and manages the company. You cannot be appointed as an “inactive director”, “nominee director” or “sleeping director” and not be. Can A Board Of Directors Remove A Director.
From simpleartifact.com
Letter To Board Of Directors Collection Letter Template Collection Can A Board Of Directors Remove A Director The articles of association do not place any fetter on the power of the board of directors to remove a director from service. Only shareholders have the right to remove directors. The officers that run the. The board of directors, each of whom is appointed by the shareholders and manages the company. However, based on article 152 (8) in companies.. Can A Board Of Directors Remove A Director.
From www.tclgroup.com
Notice Change Of Board Of Directors TCL Group Can A Board Of Directors Remove A Director However, based on article 152 (8) in companies. You cannot be appointed as an “inactive director”, “nominee director” or “sleeping director” and not be held responsible for any offences. If the director fails to take up a share qualification required by the articles; Only shareholders have the right to remove directors. As well as by resignation or by vote, a. Can A Board Of Directors Remove A Director.
From chacc.co.uk
Director’s Removal Removing A Director From Company Office Can A Board Of Directors Remove A Director A person may cease to be a director of a company by resignation or disqualification. A director’s resignation is valid if the following. Only shareholders have the right to remove directors. If the director fails to take up a share qualification required by the articles; If a director dies, they will. The articles of association do not place any fetter. Can A Board Of Directors Remove A Director.
From summitjunto.co
Can Shareholders Remove Board Of Directors? Can A Board Of Directors Remove A Director As well as by resignation or by vote, a director can be removed through a variety of other circumstances. You cannot be appointed as an “inactive director”, “nominee director” or “sleeping director” and not be held responsible for any offences. The officers that run the. If the director is absent from board meetings for a specified period. Only shareholders have. Can A Board Of Directors Remove A Director.
From www.signnow.com
Resolution Board Directors Form Fill Out and Sign Printable PDF Can A Board Of Directors Remove A Director If the director is absent from board meetings for a specified period. The articles of association do not place any fetter on the power of the board of directors to remove a director from service. A director’s resignation is valid if the following. If a director dies, they will. The officers that run the. A person may cease to be. Can A Board Of Directors Remove A Director.
From www.myerson.co.uk
Removing a Director From a Company Myerson Solicitors Can A Board Of Directors Remove A Director A director’s resignation is valid if the following. The officers that run the. A person may cease to be a director of a company by resignation or disqualification. If the director is absent from board meetings for a specified period. Only shareholders have the right to remove directors. As well as by resignation or by vote, a director can be. Can A Board Of Directors Remove A Director.
From www.wonder.legal
Minutes of Directors' Meeting Sample Template Can A Board Of Directors Remove A Director If the director is absent from board meetings for a specified period. You cannot be appointed as an “inactive director”, “nominee director” or “sleeping director” and not be held responsible for any offences. The officers that run the. A director’s resignation is valid if the following. As well as by resignation or by vote, a director can be removed through. Can A Board Of Directors Remove A Director.
From lesboucans.com
Board Of Directors Meeting Template Collection Can A Board Of Directors Remove A Director The board of directors, each of whom is appointed by the shareholders and manages the company. The articles of association do not place any fetter on the power of the board of directors to remove a director from service. A director’s resignation is valid if the following. As well as by resignation or by vote, a director can be removed. Can A Board Of Directors Remove A Director.
From www.megadox.com
Directors Resolution Form to Remove Officer Legal Forms and Business Can A Board Of Directors Remove A Director The board of directors, each of whom is appointed by the shareholders and manages the company. If the director is absent from board meetings for a specified period. As well as by resignation or by vote, a director can be removed through a variety of other circumstances. A director’s resignation is valid if the following. If a director dies, they. Can A Board Of Directors Remove A Director.
From singaporelegaladvice.com
How to Remove a Director from a Company in Singapore Can A Board Of Directors Remove A Director If the director is absent from board meetings for a specified period. If a director dies, they will. The articles of association do not place any fetter on the power of the board of directors to remove a director from service. You cannot be appointed as an “inactive director”, “nominee director” or “sleeping director” and not be held responsible for. Can A Board Of Directors Remove A Director.
From ebizfiling.com
Removal of Director as per the Companies Act, 2013 Can A Board Of Directors Remove A Director If a director dies, they will. Only shareholders have the right to remove directors. A director’s resignation is valid if the following. However, based on article 152 (8) in companies. The board of directors, each of whom is appointed by the shareholders and manages the company. The officers that run the. If the director is absent from board meetings for. Can A Board Of Directors Remove A Director.
From www.pinterest.com
How to Properly Remove a Nonprofit Board Member BoardEffect Board Can A Board Of Directors Remove A Director A person may cease to be a director of a company by resignation or disqualification. However, based on article 152 (8) in companies. The board of directors, each of whom is appointed by the shareholders and manages the company. If the director is absent from board meetings for a specified period. If a director dies, they will. A director’s resignation. Can A Board Of Directors Remove A Director.
From www.resolutionsamples.com
Draft Board Resolution for removal of Director under section 169 Can A Board Of Directors Remove A Director The board of directors, each of whom is appointed by the shareholders and manages the company. If a director dies, they will. However, based on article 152 (8) in companies. Only shareholders have the right to remove directors. If the director is absent from board meetings for a specified period. A director’s resignation is valid if the following. The officers. Can A Board Of Directors Remove A Director.
From www.atlanticcityaquarium.com
Ceo Report To Board Of Directors Template Can A Board Of Directors Remove A Director If a director dies, they will. A person may cease to be a director of a company by resignation or disqualification. As well as by resignation or by vote, a director can be removed through a variety of other circumstances. The officers that run the. A director’s resignation is valid if the following. However, based on article 152 (8) in. Can A Board Of Directors Remove A Director.
From vakilsearch.com
Removal of Director from a Company Vakilsearch Can A Board Of Directors Remove A Director If a director dies, they will. The articles of association do not place any fetter on the power of the board of directors to remove a director from service. If the director is absent from board meetings for a specified period. A person may cease to be a director of a company by resignation or disqualification. A director’s resignation is. Can A Board Of Directors Remove A Director.
From www.golegal.co.za
How to remove directors during a deadlock with shareholders Can A Board Of Directors Remove A Director The articles of association do not place any fetter on the power of the board of directors to remove a director from service. Only shareholders have the right to remove directors. You cannot be appointed as an “inactive director”, “nominee director” or “sleeping director” and not be held responsible for any offences. A person may cease to be a director. Can A Board Of Directors Remove A Director.
From www.1stformations.co.uk
Appointing and Removing a Company Director 1st Formations Can A Board Of Directors Remove A Director A director’s resignation is valid if the following. If a director dies, they will. However, based on article 152 (8) in companies. The officers that run the. As well as by resignation or by vote, a director can be removed through a variety of other circumstances. The articles of association do not place any fetter on the power of the. Can A Board Of Directors Remove A Director.