Property Force Salaries . The average salary for a realtor is $211,459 per year (estimate) in united states, which is 53% higher than the average. The average propertyforce salary ranges from approximately $41,000 per year for office administrator to $232,275 per year for realtor. The average annual property force salary for manager, property is estimated to be approximately $89,928 per year. Glassdoor gives you an inside look at what it's like to work at propertyforce, including salaries, reviews, office photos, and more. The majority pay is between. Compare pay for popular roles and read about the team’s work. The average annual property force salary for sales agent is estimated to be approximately $31,027 per year. The average propertyforce salary ranges from approximately $41,000 per year for office administrator to $193,000 per year for contact. A free inside look at propertyforce salary trends based on 33 salaries wages for 23 jobs at propertyforce. Get the inside scoop on jobs, salaries, top office locations, and ceo insights.
from www.ziprecruiter.com
The average propertyforce salary ranges from approximately $41,000 per year for office administrator to $193,000 per year for contact. Get the inside scoop on jobs, salaries, top office locations, and ceo insights. The majority pay is between. Glassdoor gives you an inside look at what it's like to work at propertyforce, including salaries, reviews, office photos, and more. Compare pay for popular roles and read about the team’s work. The average annual property force salary for manager, property is estimated to be approximately $89,928 per year. The average salary for a realtor is $211,459 per year (estimate) in united states, which is 53% higher than the average. The average annual property force salary for sales agent is estimated to be approximately $31,027 per year. A free inside look at propertyforce salary trends based on 33 salaries wages for 23 jobs at propertyforce. The average propertyforce salary ranges from approximately $41,000 per year for office administrator to $232,275 per year for realtor.
Salary Wall Street Trader (September, 2024) United States
Property Force Salaries Get the inside scoop on jobs, salaries, top office locations, and ceo insights. The average propertyforce salary ranges from approximately $41,000 per year for office administrator to $232,275 per year for realtor. The average annual property force salary for sales agent is estimated to be approximately $31,027 per year. Compare pay for popular roles and read about the team’s work. Get the inside scoop on jobs, salaries, top office locations, and ceo insights. The majority pay is between. The average salary for a realtor is $211,459 per year (estimate) in united states, which is 53% higher than the average. The average annual property force salary for manager, property is estimated to be approximately $89,928 per year. The average propertyforce salary ranges from approximately $41,000 per year for office administrator to $193,000 per year for contact. Glassdoor gives you an inside look at what it's like to work at propertyforce, including salaries, reviews, office photos, and more. A free inside look at propertyforce salary trends based on 33 salaries wages for 23 jobs at propertyforce.
From helplineph.com
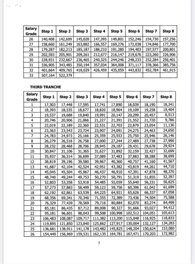
Salary Increase for Philippine Government Employees A New Dawn for Civil Servants Helpline PH Property Force Salaries Get the inside scoop on jobs, salaries, top office locations, and ceo insights. The average propertyforce salary ranges from approximately $41,000 per year for office administrator to $193,000 per year for contact. The average salary for a realtor is $211,459 per year (estimate) in united states, which is 53% higher than the average. Compare pay for popular roles and read. Property Force Salaries.
From realestateonlinelearning.com
The 6 Highest Paying Real Estate Careers with Good Salaries Property Force Salaries The average propertyforce salary ranges from approximately $41,000 per year for office administrator to $232,275 per year for realtor. The average propertyforce salary ranges from approximately $41,000 per year for office administrator to $193,000 per year for contact. The average annual property force salary for sales agent is estimated to be approximately $31,027 per year. Get the inside scoop on. Property Force Salaries.
From 99firms.com
Property Management Statistics 2022 99firms Property Force Salaries The average annual property force salary for manager, property is estimated to be approximately $89,928 per year. The average propertyforce salary ranges from approximately $41,000 per year for office administrator to $232,275 per year for realtor. Glassdoor gives you an inside look at what it's like to work at propertyforce, including salaries, reviews, office photos, and more. The average salary. Property Force Salaries.
From propertymanagerinsider.com
Is the Average Property Manager Salary Really 91,000 Per Year? Property Force Salaries Compare pay for popular roles and read about the team’s work. Get the inside scoop on jobs, salaries, top office locations, and ceo insights. A free inside look at propertyforce salary trends based on 33 salaries wages for 23 jobs at propertyforce. The average salary for a realtor is $211,459 per year (estimate) in united states, which is 53% higher. Property Force Salaries.
From www.salaryexplorer.com
Property Operations Manager Average Salary in Canada 2022 The Complete Guide Property Force Salaries The majority pay is between. The average propertyforce salary ranges from approximately $41,000 per year for office administrator to $232,275 per year for realtor. The average propertyforce salary ranges from approximately $41,000 per year for office administrator to $193,000 per year for contact. The average annual property force salary for sales agent is estimated to be approximately $31,027 per year.. Property Force Salaries.
From www.pinterest.com
Finance Salaries Infographic (mit Bildern) Finanzen, Kontakt Property Force Salaries Get the inside scoop on jobs, salaries, top office locations, and ceo insights. Compare pay for popular roles and read about the team’s work. The average salary for a realtor is $211,459 per year (estimate) in united states, which is 53% higher than the average. The average propertyforce salary ranges from approximately $41,000 per year for office administrator to $193,000. Property Force Salaries.
From sites.hireology.com
Jobs PropertyForce Property Force Salaries The average propertyforce salary ranges from approximately $41,000 per year for office administrator to $232,275 per year for realtor. Compare pay for popular roles and read about the team’s work. The average annual property force salary for sales agent is estimated to be approximately $31,027 per year. Glassdoor gives you an inside look at what it's like to work at. Property Force Salaries.
From www.imagezap.org
Average Salary Of A Real Estate Developer The Best Developer Images Property Force Salaries Get the inside scoop on jobs, salaries, top office locations, and ceo insights. The majority pay is between. The average annual property force salary for manager, property is estimated to be approximately $89,928 per year. Compare pay for popular roles and read about the team’s work. The average propertyforce salary ranges from approximately $41,000 per year for office administrator to. Property Force Salaries.
From positiverealestate.co.nz
Property Investor Masterclass LinkedIn Positive Real Estate NZ Property Force Salaries The average annual property force salary for sales agent is estimated to be approximately $31,027 per year. The average annual property force salary for manager, property is estimated to be approximately $89,928 per year. Compare pay for popular roles and read about the team’s work. The average propertyforce salary ranges from approximately $41,000 per year for office administrator to $232,275. Property Force Salaries.
From makalah51fg.blogspot.com
Property Asset Manager Salary Uk What percentage of employees' annual salaries are New Property Force Salaries The average propertyforce salary ranges from approximately $41,000 per year for office administrator to $232,275 per year for realtor. The average propertyforce salary ranges from approximately $41,000 per year for office administrator to $193,000 per year for contact. A free inside look at propertyforce salary trends based on 33 salaries wages for 23 jobs at propertyforce. Compare pay for popular. Property Force Salaries.
From www.knightfrank.com
Estate staff salaries revealed Property Force Salaries Get the inside scoop on jobs, salaries, top office locations, and ceo insights. A free inside look at propertyforce salary trends based on 33 salaries wages for 23 jobs at propertyforce. The average annual property force salary for manager, property is estimated to be approximately $89,928 per year. The majority pay is between. The average propertyforce salary ranges from approximately. Property Force Salaries.
From alsadatmarketing.com
Massive Increase in Salaries of Govt Employees Property Force Salaries The average annual property force salary for manager, property is estimated to be approximately $89,928 per year. The average annual property force salary for sales agent is estimated to be approximately $31,027 per year. Get the inside scoop on jobs, salaries, top office locations, and ceo insights. The majority pay is between. The average salary for a realtor is $211,459. Property Force Salaries.
From www.velvetjobs.com
Commercial Property Manager Salary (Actual 2023 Projected 2024) VelvetJobs Property Force Salaries Glassdoor gives you an inside look at what it's like to work at propertyforce, including salaries, reviews, office photos, and more. The average propertyforce salary ranges from approximately $41,000 per year for office administrator to $193,000 per year for contact. Get the inside scoop on jobs, salaries, top office locations, and ceo insights. The average annual property force salary for. Property Force Salaries.
From www.brecorder.com
Salaried group calculate your tax for FY24 here Business & Finance Business Recorder Property Force Salaries The majority pay is between. A free inside look at propertyforce salary trends based on 33 salaries wages for 23 jobs at propertyforce. Get the inside scoop on jobs, salaries, top office locations, and ceo insights. The average salary for a realtor is $211,459 per year (estimate) in united states, which is 53% higher than the average. The average propertyforce. Property Force Salaries.
From www.ziprecruiter.com
Salary Wall Street Trader (September, 2024) United States Property Force Salaries The average annual property force salary for sales agent is estimated to be approximately $31,027 per year. The majority pay is between. Compare pay for popular roles and read about the team’s work. The average propertyforce salary ranges from approximately $41,000 per year for office administrator to $193,000 per year for contact. The average annual property force salary for manager,. Property Force Salaries.
From www.youtube.com
Real estate agent salary & How a commission split works 💰 YouTube Property Force Salaries The average propertyforce salary ranges from approximately $41,000 per year for office administrator to $232,275 per year for realtor. Get the inside scoop on jobs, salaries, top office locations, and ceo insights. The average annual property force salary for manager, property is estimated to be approximately $89,928 per year. The average annual property force salary for sales agent is estimated. Property Force Salaries.
From spendmenot.com
How Much Do Real Estate Agents Make? SpendMeNot Property Force Salaries Get the inside scoop on jobs, salaries, top office locations, and ceo insights. The average propertyforce salary ranges from approximately $41,000 per year for office administrator to $193,000 per year for contact. Compare pay for popular roles and read about the team’s work. The average salary for a realtor is $211,459 per year (estimate) in united states, which is 53%. Property Force Salaries.
From ips-cambodia.com
2023 Update Average Salaries in Cambodia IPS Cambodia Real Estate Property Force Salaries The average annual property force salary for sales agent is estimated to be approximately $31,027 per year. The average propertyforce salary ranges from approximately $41,000 per year for office administrator to $232,275 per year for realtor. A free inside look at propertyforce salary trends based on 33 salaries wages for 23 jobs at propertyforce. Get the inside scoop on jobs,. Property Force Salaries.
From www.aceableagent.com
How Much Do Real Estate Agents Make in Michigan? Property Force Salaries The average annual property force salary for sales agent is estimated to be approximately $31,027 per year. Glassdoor gives you an inside look at what it's like to work at propertyforce, including salaries, reviews, office photos, and more. The average propertyforce salary ranges from approximately $41,000 per year for office administrator to $193,000 per year for contact. Get the inside. Property Force Salaries.
From careerlancer.net
How Much Do Property Managers Make per State CareerLancer Property Force Salaries Get the inside scoop on jobs, salaries, top office locations, and ceo insights. The average propertyforce salary ranges from approximately $41,000 per year for office administrator to $193,000 per year for contact. The average salary for a realtor is $211,459 per year (estimate) in united states, which is 53% higher than the average. Glassdoor gives you an inside look at. Property Force Salaries.
From www.salarycube.com
Your Guide to Real Estate Salaries SalaryCube Property Force Salaries The average annual property force salary for manager, property is estimated to be approximately $89,928 per year. Glassdoor gives you an inside look at what it's like to work at propertyforce, including salaries, reviews, office photos, and more. The average salary for a realtor is $211,459 per year (estimate) in united states, which is 53% higher than the average. A. Property Force Salaries.
From www.chegg.com
Solved Lind Manufacturing had the following account balances Property Force Salaries The majority pay is between. Get the inside scoop on jobs, salaries, top office locations, and ceo insights. The average propertyforce salary ranges from approximately $41,000 per year for office administrator to $232,275 per year for realtor. The average annual property force salary for manager, property is estimated to be approximately $89,928 per year. Glassdoor gives you an inside look. Property Force Salaries.
From www.youtube.com
Property Force 2D Animation YouTube Property Force Salaries The majority pay is between. Compare pay for popular roles and read about the team’s work. The average propertyforce salary ranges from approximately $41,000 per year for office administrator to $193,000 per year for contact. The average annual property force salary for sales agent is estimated to be approximately $31,027 per year. Get the inside scoop on jobs, salaries, top. Property Force Salaries.
From www.nippon.com
Average Salary at Japanese Listed Companies Rises to ¥6.05 Million Property Force Salaries The average annual property force salary for sales agent is estimated to be approximately $31,027 per year. Glassdoor gives you an inside look at what it's like to work at propertyforce, including salaries, reviews, office photos, and more. Compare pay for popular roles and read about the team’s work. The average propertyforce salary ranges from approximately $41,000 per year for. Property Force Salaries.
From propertyinspect.com
Property Inspection & Operations Software Property Inspect Property Force Salaries The average annual property force salary for manager, property is estimated to be approximately $89,928 per year. A free inside look at propertyforce salary trends based on 33 salaries wages for 23 jobs at propertyforce. The average salary for a realtor is $211,459 per year (estimate) in united states, which is 53% higher than the average. The majority pay is. Property Force Salaries.
From www.slideshare.net
Michael Page Property & Construction Salary Tables Property Force Salaries Compare pay for popular roles and read about the team’s work. The average annual property force salary for sales agent is estimated to be approximately $31,027 per year. The average annual property force salary for manager, property is estimated to be approximately $89,928 per year. The average salary for a realtor is $211,459 per year (estimate) in united states, which. Property Force Salaries.
From www.property-force.com
Blog — Property Force Property Management Property Force Salaries Glassdoor gives you an inside look at what it's like to work at propertyforce, including salaries, reviews, office photos, and more. The average annual property force salary for manager, property is estimated to be approximately $89,928 per year. The average salary for a realtor is $211,459 per year (estimate) in united states, which is 53% higher than the average. Get. Property Force Salaries.
From mergersandinquisitions.com
Real Estate Private Equity Overview, Careers, Salaries & Interviews Property Force Salaries The average annual property force salary for manager, property is estimated to be approximately $89,928 per year. The average propertyforce salary ranges from approximately $41,000 per year for office administrator to $193,000 per year for contact. The average propertyforce salary ranges from approximately $41,000 per year for office administrator to $232,275 per year for realtor. The majority pay is between.. Property Force Salaries.
From housinganywhere.com
Average salary in the UK The complete guide Property Force Salaries The majority pay is between. The average propertyforce salary ranges from approximately $41,000 per year for office administrator to $193,000 per year for contact. The average salary for a realtor is $211,459 per year (estimate) in united states, which is 53% higher than the average. Glassdoor gives you an inside look at what it's like to work at propertyforce, including. Property Force Salaries.
From www.estradayasociados.com.mx
Labor Wages Estrada y Asociados, Site Location Services Property Force Salaries Get the inside scoop on jobs, salaries, top office locations, and ceo insights. Glassdoor gives you an inside look at what it's like to work at propertyforce, including salaries, reviews, office photos, and more. A free inside look at propertyforce salary trends based on 33 salaries wages for 23 jobs at propertyforce. The average annual property force salary for sales. Property Force Salaries.
From www.knightfrank.com
Estate staff salaries revealed Property Force Salaries The average annual property force salary for sales agent is estimated to be approximately $31,027 per year. Get the inside scoop on jobs, salaries, top office locations, and ceo insights. The average annual property force salary for manager, property is estimated to be approximately $89,928 per year. A free inside look at propertyforce salary trends based on 33 salaries wages. Property Force Salaries.
From realestatecareerhq.com
How Much do Property Managers Make? Full Analysis with Helpful Charts Property Force Salaries The average annual property force salary for sales agent is estimated to be approximately $31,027 per year. Get the inside scoop on jobs, salaries, top office locations, and ceo insights. Glassdoor gives you an inside look at what it's like to work at propertyforce, including salaries, reviews, office photos, and more. The majority pay is between. Compare pay for popular. Property Force Salaries.
From www.firstnorthpm.com
North Bay Apartments and Property Management First North Property Management Property Force Salaries A free inside look at propertyforce salary trends based on 33 salaries wages for 23 jobs at propertyforce. The majority pay is between. Get the inside scoop on jobs, salaries, top office locations, and ceo insights. The average salary for a realtor is $211,459 per year (estimate) in united states, which is 53% higher than the average. The average propertyforce. Property Force Salaries.
From www.noradarealestate.com
The Minimum Salary Needed to Own a Home By State Norada Real Estate Investments Property Force Salaries Glassdoor gives you an inside look at what it's like to work at propertyforce, including salaries, reviews, office photos, and more. A free inside look at propertyforce salary trends based on 33 salaries wages for 23 jobs at propertyforce. Get the inside scoop on jobs, salaries, top office locations, and ceo insights. The majority pay is between. The average salary. Property Force Salaries.
From www.databahn.com
Costco Org Chart & Sales Intelligence blog databahn Property Force Salaries The average propertyforce salary ranges from approximately $41,000 per year for office administrator to $232,275 per year for realtor. Glassdoor gives you an inside look at what it's like to work at propertyforce, including salaries, reviews, office photos, and more. The average annual property force salary for sales agent is estimated to be approximately $31,027 per year. The majority pay. Property Force Salaries.