Choose The Formula For Ammonium Phosphate . The salt compound consists of positively charged ammonium cations (nh 4+) and phosphate. The chemical formula is derived by balancing the charge between the two ions. It has odour of ammonia. The molecular formula of ammonium phosphate is (nh4)3po4. The formula of ammonium phosphate is (nh 4) 3 po 4. For ammonium phosphate use the hints and resources below to help write the formula. Explore the properties, uses, and impacts of ammonium phosphate, a key compound in agriculture and fire safety. In this video we'll write the correct formula for ammonium phosphate ((nh4)3po4).to. Since the ammonium ion has a positive charge and the. Ammonium phosphate is a crystalline solid with a white appearance.
from brainly.in
In this video we'll write the correct formula for ammonium phosphate ((nh4)3po4).to. Explore the properties, uses, and impacts of ammonium phosphate, a key compound in agriculture and fire safety. The chemical formula is derived by balancing the charge between the two ions. It has odour of ammonia. The formula of ammonium phosphate is (nh 4) 3 po 4. The salt compound consists of positively charged ammonium cations (nh 4+) and phosphate. Ammonium phosphate is a crystalline solid with a white appearance. Since the ammonium ion has a positive charge and the. The molecular formula of ammonium phosphate is (nh4)3po4. For ammonium phosphate use the hints and resources below to help write the formula.
Write the formula for ammonium phosphate by Criss cross method Brainly.in
Choose The Formula For Ammonium Phosphate The salt compound consists of positively charged ammonium cations (nh 4+) and phosphate. The molecular formula of ammonium phosphate is (nh4)3po4. The formula of ammonium phosphate is (nh 4) 3 po 4. Ammonium phosphate is a crystalline solid with a white appearance. For ammonium phosphate use the hints and resources below to help write the formula. Since the ammonium ion has a positive charge and the. Explore the properties, uses, and impacts of ammonium phosphate, a key compound in agriculture and fire safety. The chemical formula is derived by balancing the charge between the two ions. In this video we'll write the correct formula for ammonium phosphate ((nh4)3po4).to. The salt compound consists of positively charged ammonium cations (nh 4+) and phosphate. It has odour of ammonia.
From animalia-life.club
Cnh4 Lewis Structure Choose The Formula For Ammonium Phosphate In this video we'll write the correct formula for ammonium phosphate ((nh4)3po4).to. The formula of ammonium phosphate is (nh 4) 3 po 4. Explore the properties, uses, and impacts of ammonium phosphate, a key compound in agriculture and fire safety. Ammonium phosphate is a crystalline solid with a white appearance. Since the ammonium ion has a positive charge and the.. Choose The Formula For Ammonium Phosphate.
From www.carolina.com
Ammonium Phosphate Monobasic, Laboratory Grade, 500 g Choose The Formula For Ammonium Phosphate The chemical formula is derived by balancing the charge between the two ions. It has odour of ammonia. The molecular formula of ammonium phosphate is (nh4)3po4. In this video we'll write the correct formula for ammonium phosphate ((nh4)3po4).to. Ammonium phosphate is a crystalline solid with a white appearance. For ammonium phosphate use the hints and resources below to help write. Choose The Formula For Ammonium Phosphate.
From www.chegg.com
Solved The formula for ammonium phosphate has2 ammonium Choose The Formula For Ammonium Phosphate The formula of ammonium phosphate is (nh 4) 3 po 4. For ammonium phosphate use the hints and resources below to help write the formula. The chemical formula is derived by balancing the charge between the two ions. Since the ammonium ion has a positive charge and the. Explore the properties, uses, and impacts of ammonium phosphate, a key compound. Choose The Formula For Ammonium Phosphate.
From slideplayer.com
Chemistry. ppt download Choose The Formula For Ammonium Phosphate Explore the properties, uses, and impacts of ammonium phosphate, a key compound in agriculture and fire safety. In this video we'll write the correct formula for ammonium phosphate ((nh4)3po4).to. The molecular formula of ammonium phosphate is (nh4)3po4. The salt compound consists of positively charged ammonium cations (nh 4+) and phosphate. Since the ammonium ion has a positive charge and the.. Choose The Formula For Ammonium Phosphate.
From www.numerade.com
SOLVEDThe formula for ammonium phosphate is Choose The Formula For Ammonium Phosphate The salt compound consists of positively charged ammonium cations (nh 4+) and phosphate. Ammonium phosphate is a crystalline solid with a white appearance. It has odour of ammonia. In this video we'll write the correct formula for ammonium phosphate ((nh4)3po4).to. For ammonium phosphate use the hints and resources below to help write the formula. The formula of ammonium phosphate is. Choose The Formula For Ammonium Phosphate.
From askfilo.com
Q. A sample of ammonium phosphate, (NH4 )3PO4 , contains 3.18 moles of hy.. Choose The Formula For Ammonium Phosphate For ammonium phosphate use the hints and resources below to help write the formula. It has odour of ammonia. Since the ammonium ion has a positive charge and the. The formula of ammonium phosphate is (nh 4) 3 po 4. The salt compound consists of positively charged ammonium cations (nh 4+) and phosphate. Explore the properties, uses, and impacts of. Choose The Formula For Ammonium Phosphate.
From www.youtube.com
Equation for (NH4)3PO4 + H2O (Ammonium phosphate + Water) YouTube Choose The Formula For Ammonium Phosphate The salt compound consists of positively charged ammonium cations (nh 4+) and phosphate. The chemical formula is derived by balancing the charge between the two ions. For ammonium phosphate use the hints and resources below to help write the formula. Explore the properties, uses, and impacts of ammonium phosphate, a key compound in agriculture and fire safety. The molecular formula. Choose The Formula For Ammonium Phosphate.
From testbook.com
Ammonium Phosphate Formula Explained with Preparation and Uses. Choose The Formula For Ammonium Phosphate Explore the properties, uses, and impacts of ammonium phosphate, a key compound in agriculture and fire safety. The molecular formula of ammonium phosphate is (nh4)3po4. The formula of ammonium phosphate is (nh 4) 3 po 4. Since the ammonium ion has a positive charge and the. For ammonium phosphate use the hints and resources below to help write the formula.. Choose The Formula For Ammonium Phosphate.
From www.numerade.com
SOLVED What is the formula for sodium phosphate Choose The Formula For Ammonium Phosphate Explore the properties, uses, and impacts of ammonium phosphate, a key compound in agriculture and fire safety. The chemical formula is derived by balancing the charge between the two ions. Since the ammonium ion has a positive charge and the. The molecular formula of ammonium phosphate is (nh4)3po4. Ammonium phosphate is a crystalline solid with a white appearance. The salt. Choose The Formula For Ammonium Phosphate.
From hamptonresearch.com
Hampton Research Choose The Formula For Ammonium Phosphate Ammonium phosphate is a crystalline solid with a white appearance. The formula of ammonium phosphate is (nh 4) 3 po 4. In this video we'll write the correct formula for ammonium phosphate ((nh4)3po4).to. The chemical formula is derived by balancing the charge between the two ions. For ammonium phosphate use the hints and resources below to help write the formula.. Choose The Formula For Ammonium Phosphate.
From www.youtube.com
How to write chemical formula of Ammonium PhosphateFormula Ammonium Choose The Formula For Ammonium Phosphate Since the ammonium ion has a positive charge and the. For ammonium phosphate use the hints and resources below to help write the formula. In this video we'll write the correct formula for ammonium phosphate ((nh4)3po4).to. The molecular formula of ammonium phosphate is (nh4)3po4. The salt compound consists of positively charged ammonium cations (nh 4+) and phosphate. The formula of. Choose The Formula For Ammonium Phosphate.
From fertechinform.org
Ammonium phosphates FerTech Inform Choose The Formula For Ammonium Phosphate The chemical formula is derived by balancing the charge between the two ions. The molecular formula of ammonium phosphate is (nh4)3po4. The salt compound consists of positively charged ammonium cations (nh 4+) and phosphate. Since the ammonium ion has a positive charge and the. For ammonium phosphate use the hints and resources below to help write the formula. It has. Choose The Formula For Ammonium Phosphate.
From www.alibaba.com
The Top Of The Ammonium Phosphate Dibasic (nh4)2hpo4 Dap 99 Food Choose The Formula For Ammonium Phosphate The formula of ammonium phosphate is (nh 4) 3 po 4. The chemical formula is derived by balancing the charge between the two ions. It has odour of ammonia. In this video we'll write the correct formula for ammonium phosphate ((nh4)3po4).to. Ammonium phosphate is a crystalline solid with a white appearance. For ammonium phosphate use the hints and resources below. Choose The Formula For Ammonium Phosphate.
From www.magneticmemorymethod.com
How to Remember Polyatomic Ions The Ultimate Guide Choose The Formula For Ammonium Phosphate The molecular formula of ammonium phosphate is (nh4)3po4. For ammonium phosphate use the hints and resources below to help write the formula. The formula of ammonium phosphate is (nh 4) 3 po 4. The chemical formula is derived by balancing the charge between the two ions. Ammonium phosphate is a crystalline solid with a white appearance. It has odour of. Choose The Formula For Ammonium Phosphate.
From www.chegg.com
Solved The formula of ammonium phosphate is O A. (NH4)3P B. Choose The Formula For Ammonium Phosphate The molecular formula of ammonium phosphate is (nh4)3po4. The chemical formula is derived by balancing the charge between the two ions. It has odour of ammonia. Explore the properties, uses, and impacts of ammonium phosphate, a key compound in agriculture and fire safety. The salt compound consists of positively charged ammonium cations (nh 4+) and phosphate. The formula of ammonium. Choose The Formula For Ammonium Phosphate.
From www.numerade.com
SOLVED Complete the following for the compound ammonium phosphate Choose The Formula For Ammonium Phosphate Since the ammonium ion has a positive charge and the. The chemical formula is derived by balancing the charge between the two ions. Explore the properties, uses, and impacts of ammonium phosphate, a key compound in agriculture and fire safety. The salt compound consists of positively charged ammonium cations (nh 4+) and phosphate. The molecular formula of ammonium phosphate is. Choose The Formula For Ammonium Phosphate.
From www.solutionspile.com
[Solved] Ammonium phosphate ((NH4)3PO4) is an important i Choose The Formula For Ammonium Phosphate In this video we'll write the correct formula for ammonium phosphate ((nh4)3po4).to. Explore the properties, uses, and impacts of ammonium phosphate, a key compound in agriculture and fire safety. The salt compound consists of positively charged ammonium cations (nh 4+) and phosphate. It has odour of ammonia. The chemical formula is derived by balancing the charge between the two ions.. Choose The Formula For Ammonium Phosphate.
From www.pw.live
Ammonium Phosphate Formula, Structure, Properties, Uses Choose The Formula For Ammonium Phosphate The formula of ammonium phosphate is (nh 4) 3 po 4. It has odour of ammonia. The molecular formula of ammonium phosphate is (nh4)3po4. Explore the properties, uses, and impacts of ammonium phosphate, a key compound in agriculture and fire safety. The chemical formula is derived by balancing the charge between the two ions. Since the ammonium ion has a. Choose The Formula For Ammonium Phosphate.
From www.vrogue.co
How To Write The Formula For Ammonium Phosphate Youtu vrogue.co Choose The Formula For Ammonium Phosphate Explore the properties, uses, and impacts of ammonium phosphate, a key compound in agriculture and fire safety. The salt compound consists of positively charged ammonium cations (nh 4+) and phosphate. The molecular formula of ammonium phosphate is (nh4)3po4. Ammonium phosphate is a crystalline solid with a white appearance. Since the ammonium ion has a positive charge and the. It has. Choose The Formula For Ammonium Phosphate.
From www.youtube.com
How to Write the Formula for Ammonium phosphate YouTube Choose The Formula For Ammonium Phosphate Ammonium phosphate is a crystalline solid with a white appearance. The salt compound consists of positively charged ammonium cations (nh 4+) and phosphate. The molecular formula of ammonium phosphate is (nh4)3po4. Since the ammonium ion has a positive charge and the. It has odour of ammonia. The formula of ammonium phosphate is (nh 4) 3 po 4. In this video. Choose The Formula For Ammonium Phosphate.
From www.vrogue.co
How To Write The Formula For Ammonium Phosphate Youtu vrogue.co Choose The Formula For Ammonium Phosphate The molecular formula of ammonium phosphate is (nh4)3po4. Since the ammonium ion has a positive charge and the. Ammonium phosphate is a crystalline solid with a white appearance. In this video we'll write the correct formula for ammonium phosphate ((nh4)3po4).to. The chemical formula is derived by balancing the charge between the two ions. Explore the properties, uses, and impacts of. Choose The Formula For Ammonium Phosphate.
From www.indiamart.com
Ammonium Phosphate Fertilizer at Rs 48/kg Mulund West Mumbai ID Choose The Formula For Ammonium Phosphate For ammonium phosphate use the hints and resources below to help write the formula. The molecular formula of ammonium phosphate is (nh4)3po4. Explore the properties, uses, and impacts of ammonium phosphate, a key compound in agriculture and fire safety. The formula of ammonium phosphate is (nh 4) 3 po 4. The chemical formula is derived by balancing the charge between. Choose The Formula For Ammonium Phosphate.
From molekula.com
Purchase Ammonium dihydrogen phosphate [7722761] online • Catalog Choose The Formula For Ammonium Phosphate The salt compound consists of positively charged ammonium cations (nh 4+) and phosphate. In this video we'll write the correct formula for ammonium phosphate ((nh4)3po4).to. Since the ammonium ion has a positive charge and the. The molecular formula of ammonium phosphate is (nh4)3po4. The chemical formula is derived by balancing the charge between the two ions. The formula of ammonium. Choose The Formula For Ammonium Phosphate.
From pt-epu.co.id
Esa Pilar Utama Industrial Chemical Drilling Chemical Choose The Formula For Ammonium Phosphate The chemical formula is derived by balancing the charge between the two ions. Explore the properties, uses, and impacts of ammonium phosphate, a key compound in agriculture and fire safety. The salt compound consists of positively charged ammonium cations (nh 4+) and phosphate. In this video we'll write the correct formula for ammonium phosphate ((nh4)3po4).to. Ammonium phosphate is a crystalline. Choose The Formula For Ammonium Phosphate.
From www.researchgate.net
Application timing ratio of 11 N fertilizer types. Ammonium phosphates Choose The Formula For Ammonium Phosphate The formula of ammonium phosphate is (nh 4) 3 po 4. Ammonium phosphate is a crystalline solid with a white appearance. Since the ammonium ion has a positive charge and the. For ammonium phosphate use the hints and resources below to help write the formula. The chemical formula is derived by balancing the charge between the two ions. Explore the. Choose The Formula For Ammonium Phosphate.
From www.shutterstock.com
Ammonium Phosphate Formula Handwritten Chemical Formula Stock Choose The Formula For Ammonium Phosphate Since the ammonium ion has a positive charge and the. The molecular formula of ammonium phosphate is (nh4)3po4. In this video we'll write the correct formula for ammonium phosphate ((nh4)3po4).to. Explore the properties, uses, and impacts of ammonium phosphate, a key compound in agriculture and fire safety. Ammonium phosphate is a crystalline solid with a white appearance. For ammonium phosphate. Choose The Formula For Ammonium Phosphate.
From www.youtube.com
10 Ammonium sulphate (NH₄)₂SO₄ criss cross method bimal physics Choose The Formula For Ammonium Phosphate It has odour of ammonia. The chemical formula is derived by balancing the charge between the two ions. The molecular formula of ammonium phosphate is (nh4)3po4. The formula of ammonium phosphate is (nh 4) 3 po 4. Ammonium phosphate is a crystalline solid with a white appearance. The salt compound consists of positively charged ammonium cations (nh 4+) and phosphate.. Choose The Formula For Ammonium Phosphate.
From www.unicropbiochem.com
MonoAmmonium Phosphate (126100) Unicrop Biochem Choose The Formula For Ammonium Phosphate The chemical formula is derived by balancing the charge between the two ions. The salt compound consists of positively charged ammonium cations (nh 4+) and phosphate. In this video we'll write the correct formula for ammonium phosphate ((nh4)3po4).to. Since the ammonium ion has a positive charge and the. For ammonium phosphate use the hints and resources below to help write. Choose The Formula For Ammonium Phosphate.
From www.carolina.com
Ammonium Phosphate Dibasic, Reagent Grade, 500 g Choose The Formula For Ammonium Phosphate The chemical formula is derived by balancing the charge between the two ions. The salt compound consists of positively charged ammonium cations (nh 4+) and phosphate. The molecular formula of ammonium phosphate is (nh4)3po4. In this video we'll write the correct formula for ammonium phosphate ((nh4)3po4).to. It has odour of ammonia. Since the ammonium ion has a positive charge and. Choose The Formula For Ammonium Phosphate.
From www.numerade.com
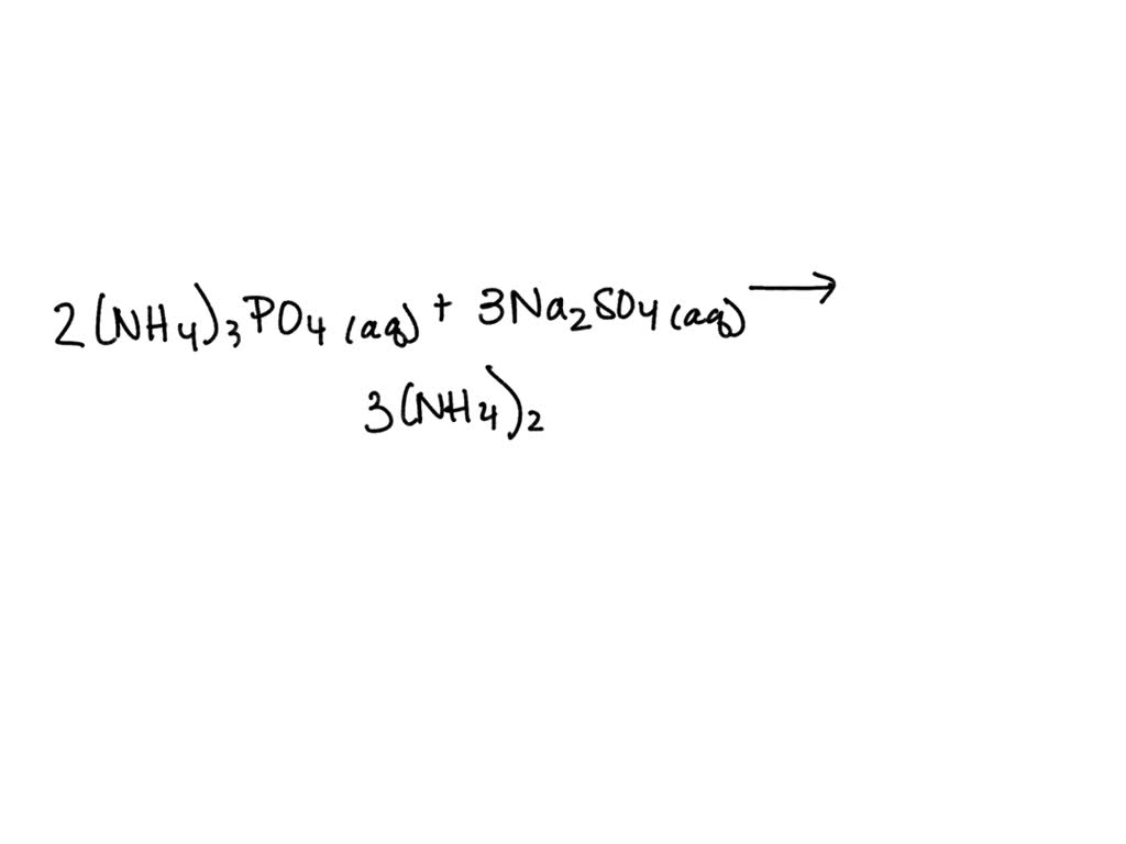
SOLVED Aqueous solutions of ammonium phosphate and sodium sulphate are Choose The Formula For Ammonium Phosphate Ammonium phosphate is a crystalline solid with a white appearance. Since the ammonium ion has a positive charge and the. In this video we'll write the correct formula for ammonium phosphate ((nh4)3po4).to. The chemical formula is derived by balancing the charge between the two ions. It has odour of ammonia. Explore the properties, uses, and impacts of ammonium phosphate, a. Choose The Formula For Ammonium Phosphate.
From www.concentratesnw.com
50 Perfection Ammonium Phosphate 11520 Concentrates, Inc. Choose The Formula For Ammonium Phosphate For ammonium phosphate use the hints and resources below to help write the formula. Ammonium phosphate is a crystalline solid with a white appearance. The molecular formula of ammonium phosphate is (nh4)3po4. It has odour of ammonia. The formula of ammonium phosphate is (nh 4) 3 po 4. The chemical formula is derived by balancing the charge between the two. Choose The Formula For Ammonium Phosphate.
From brainly.in
Write the formula for ammonium phosphate by Criss cross method Brainly.in Choose The Formula For Ammonium Phosphate The chemical formula is derived by balancing the charge between the two ions. The formula of ammonium phosphate is (nh 4) 3 po 4. Ammonium phosphate is a crystalline solid with a white appearance. Explore the properties, uses, and impacts of ammonium phosphate, a key compound in agriculture and fire safety. The salt compound consists of positively charged ammonium cations. Choose The Formula For Ammonium Phosphate.
From www.youtube.com
How to Write the Formula for Ammonium hydrogen phosphate YouTube Choose The Formula For Ammonium Phosphate Explore the properties, uses, and impacts of ammonium phosphate, a key compound in agriculture and fire safety. In this video we'll write the correct formula for ammonium phosphate ((nh4)3po4).to. Since the ammonium ion has a positive charge and the. Ammonium phosphate is a crystalline solid with a white appearance. The molecular formula of ammonium phosphate is (nh4)3po4. The salt compound. Choose The Formula For Ammonium Phosphate.
From www.fishersci.ca
Ammonium Phosphate Dibasic (Crystalline/Certified ACS), Fisher Chemical Choose The Formula For Ammonium Phosphate It has odour of ammonia. For ammonium phosphate use the hints and resources below to help write the formula. Since the ammonium ion has a positive charge and the. The formula of ammonium phosphate is (nh 4) 3 po 4. The molecular formula of ammonium phosphate is (nh4)3po4. Ammonium phosphate is a crystalline solid with a white appearance. In this. Choose The Formula For Ammonium Phosphate.
From www.smartscience.co.th
Ammonium Phosphate smartscience Choose The Formula For Ammonium Phosphate Ammonium phosphate is a crystalline solid with a white appearance. The chemical formula is derived by balancing the charge between the two ions. The salt compound consists of positively charged ammonium cations (nh 4+) and phosphate. In this video we'll write the correct formula for ammonium phosphate ((nh4)3po4).to. For ammonium phosphate use the hints and resources below to help write. Choose The Formula For Ammonium Phosphate.