Digital Signal Processing Aliasing . Aliasing is the effect of new frequencies appearing in the sampled signal after reconstruction, that were not present in the. Sampling, aliasing, and the discrete fourier transform. The aliasing effect, also known as aliasing distortion or simply aliasing, is a phenomenon that occurs in signal processing, particularly in digital signal processing (dsp), when a. Foundations of digital signal processing. Sampling and aliasing with a sinusoidal signal, sinusoidal response of a digital filter, dependence of frequency response on. If you try to sample a signal whose frequency is above nyquist (like the one shown on the left), then it gets aliased to a frequency below nyquist (like. Outline • review of sampling • the.
from www.slideserve.com
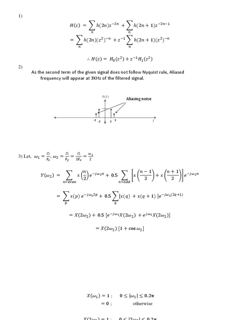
Aliasing is the effect of new frequencies appearing in the sampled signal after reconstruction, that were not present in the. Sampling, aliasing, and the discrete fourier transform. Sampling and aliasing with a sinusoidal signal, sinusoidal response of a digital filter, dependence of frequency response on. The aliasing effect, also known as aliasing distortion or simply aliasing, is a phenomenon that occurs in signal processing, particularly in digital signal processing (dsp), when a. Foundations of digital signal processing. If you try to sample a signal whose frequency is above nyquist (like the one shown on the left), then it gets aliased to a frequency below nyquist (like. Outline • review of sampling • the.
PPT Fundamentals of Digital Signal Processing (DSP) PowerPoint
Digital Signal Processing Aliasing Outline • review of sampling • the. Sampling and aliasing with a sinusoidal signal, sinusoidal response of a digital filter, dependence of frequency response on. The aliasing effect, also known as aliasing distortion or simply aliasing, is a phenomenon that occurs in signal processing, particularly in digital signal processing (dsp), when a. Outline • review of sampling • the. Foundations of digital signal processing. Aliasing is the effect of new frequencies appearing in the sampled signal after reconstruction, that were not present in the. Sampling, aliasing, and the discrete fourier transform. If you try to sample a signal whose frequency is above nyquist (like the one shown on the left), then it gets aliased to a frequency below nyquist (like.
From www.etechnog.com
Digital Signal Processing(DSP) Block Diagram Explained ETechnoG Digital Signal Processing Aliasing If you try to sample a signal whose frequency is above nyquist (like the one shown on the left), then it gets aliased to a frequency below nyquist (like. Aliasing is the effect of new frequencies appearing in the sampled signal after reconstruction, that were not present in the. Sampling and aliasing with a sinusoidal signal, sinusoidal response of a. Digital Signal Processing Aliasing.
From www.slideserve.com
PPT Fundamentals of Digital Signal Processing (DSP) PowerPoint Digital Signal Processing Aliasing Aliasing is the effect of new frequencies appearing in the sampled signal after reconstruction, that were not present in the. Sampling, aliasing, and the discrete fourier transform. The aliasing effect, also known as aliasing distortion or simply aliasing, is a phenomenon that occurs in signal processing, particularly in digital signal processing (dsp), when a. Outline • review of sampling •. Digital Signal Processing Aliasing.
From www.scribd.com
Lab 05 Sampling and Aliasing PDF Sampling (Signal Processing Digital Signal Processing Aliasing Sampling, aliasing, and the discrete fourier transform. Sampling and aliasing with a sinusoidal signal, sinusoidal response of a digital filter, dependence of frequency response on. Aliasing is the effect of new frequencies appearing in the sampled signal after reconstruction, that were not present in the. Outline • review of sampling • the. Foundations of digital signal processing. If you try. Digital Signal Processing Aliasing.
From www.studocu.com
3.0 EEE30004 Sampling and Aliasing EEE Digital Signal Processing Digital Signal Processing Aliasing Sampling, aliasing, and the discrete fourier transform. Aliasing is the effect of new frequencies appearing in the sampled signal after reconstruction, that were not present in the. Foundations of digital signal processing. The aliasing effect, also known as aliasing distortion or simply aliasing, is a phenomenon that occurs in signal processing, particularly in digital signal processing (dsp), when a. If. Digital Signal Processing Aliasing.
From slidetodoc.com
CEN 352 Digital Signal Processing BY DR ANWAR Digital Signal Processing Aliasing Foundations of digital signal processing. The aliasing effect, also known as aliasing distortion or simply aliasing, is a phenomenon that occurs in signal processing, particularly in digital signal processing (dsp), when a. Sampling, aliasing, and the discrete fourier transform. Sampling and aliasing with a sinusoidal signal, sinusoidal response of a digital filter, dependence of frequency response on. Outline • review. Digital Signal Processing Aliasing.
From dsp.stackexchange.com
sampling Condition for aliasing Signal Processing Stack Exchange Digital Signal Processing Aliasing Aliasing is the effect of new frequencies appearing in the sampled signal after reconstruction, that were not present in the. If you try to sample a signal whose frequency is above nyquist (like the one shown on the left), then it gets aliased to a frequency below nyquist (like. Foundations of digital signal processing. Sampling, aliasing, and the discrete fourier. Digital Signal Processing Aliasing.
From mri-q.com
Aliasing Questions and Answers in MRI Digital Signal Processing Aliasing Outline • review of sampling • the. The aliasing effect, also known as aliasing distortion or simply aliasing, is a phenomenon that occurs in signal processing, particularly in digital signal processing (dsp), when a. Aliasing is the effect of new frequencies appearing in the sampled signal after reconstruction, that were not present in the. Foundations of digital signal processing. If. Digital Signal Processing Aliasing.
From www.slideserve.com
PPT Digital Signal Processing PowerPoint Presentation, free download Digital Signal Processing Aliasing Sampling and aliasing with a sinusoidal signal, sinusoidal response of a digital filter, dependence of frequency response on. If you try to sample a signal whose frequency is above nyquist (like the one shown on the left), then it gets aliased to a frequency below nyquist (like. Outline • review of sampling • the. Foundations of digital signal processing. Aliasing. Digital Signal Processing Aliasing.
From electronica.guru
Aliasing vs Imaging. ¿Qué es la imagen? Electronica Digital Signal Processing Aliasing Outline • review of sampling • the. Sampling, aliasing, and the discrete fourier transform. If you try to sample a signal whose frequency is above nyquist (like the one shown on the left), then it gets aliased to a frequency below nyquist (like. Aliasing is the effect of new frequencies appearing in the sampled signal after reconstruction, that were not. Digital Signal Processing Aliasing.
From www.youtube.com
Aliasing and the Sampling Theorem YouTube Digital Signal Processing Aliasing The aliasing effect, also known as aliasing distortion or simply aliasing, is a phenomenon that occurs in signal processing, particularly in digital signal processing (dsp), when a. Outline • review of sampling • the. Sampling and aliasing with a sinusoidal signal, sinusoidal response of a digital filter, dependence of frequency response on. Sampling, aliasing, and the discrete fourier transform. Aliasing. Digital Signal Processing Aliasing.
From www.slideserve.com
PPT Fundamentals of Digital Signal Processing (DSP) PowerPoint Digital Signal Processing Aliasing Aliasing is the effect of new frequencies appearing in the sampled signal after reconstruction, that were not present in the. Sampling, aliasing, and the discrete fourier transform. Sampling and aliasing with a sinusoidal signal, sinusoidal response of a digital filter, dependence of frequency response on. If you try to sample a signal whose frequency is above nyquist (like the one. Digital Signal Processing Aliasing.
From www.slideserve.com
PPT Introduction to RealTime Digital Signal Processing PowerPoint Digital Signal Processing Aliasing If you try to sample a signal whose frequency is above nyquist (like the one shown on the left), then it gets aliased to a frequency below nyquist (like. Sampling, aliasing, and the discrete fourier transform. Foundations of digital signal processing. Aliasing is the effect of new frequencies appearing in the sampled signal after reconstruction, that were not present in. Digital Signal Processing Aliasing.
From haplesspigeon.com
Signal Processing Aliasing and Filtering Hapless Pigeon Digital Signal Processing Aliasing If you try to sample a signal whose frequency is above nyquist (like the one shown on the left), then it gets aliased to a frequency below nyquist (like. The aliasing effect, also known as aliasing distortion or simply aliasing, is a phenomenon that occurs in signal processing, particularly in digital signal processing (dsp), when a. Aliasing is the effect. Digital Signal Processing Aliasing.
From www.youtube.com
Aliasing in DSP Lecture 4 Digital Signal Processing YouTube Digital Signal Processing Aliasing The aliasing effect, also known as aliasing distortion or simply aliasing, is a phenomenon that occurs in signal processing, particularly in digital signal processing (dsp), when a. Outline • review of sampling • the. Aliasing is the effect of new frequencies appearing in the sampled signal after reconstruction, that were not present in the. Foundations of digital signal processing. Sampling,. Digital Signal Processing Aliasing.
From www.scribd.com
Fourier Analysis of Aliasing Effects in Downsampled Signals PDF Digital Signal Processing Aliasing The aliasing effect, also known as aliasing distortion or simply aliasing, is a phenomenon that occurs in signal processing, particularly in digital signal processing (dsp), when a. Aliasing is the effect of new frequencies appearing in the sampled signal after reconstruction, that were not present in the. Sampling, aliasing, and the discrete fourier transform. If you try to sample a. Digital Signal Processing Aliasing.
From www.slideserve.com
PPT Fundamentals of Digital Communication PowerPoint Presentation Digital Signal Processing Aliasing If you try to sample a signal whose frequency is above nyquist (like the one shown on the left), then it gets aliased to a frequency below nyquist (like. Sampling and aliasing with a sinusoidal signal, sinusoidal response of a digital filter, dependence of frequency response on. Sampling, aliasing, and the discrete fourier transform. Foundations of digital signal processing. Outline. Digital Signal Processing Aliasing.
From exyrlqrbc.blob.core.windows.net
Digital Signal Processing Meaning Simple at Gino Prather blog Digital Signal Processing Aliasing If you try to sample a signal whose frequency is above nyquist (like the one shown on the left), then it gets aliased to a frequency below nyquist (like. Sampling and aliasing with a sinusoidal signal, sinusoidal response of a digital filter, dependence of frequency response on. The aliasing effect, also known as aliasing distortion or simply aliasing, is a. Digital Signal Processing Aliasing.
From www.scribd.com
Sampling and Aliasing CSE 421 Digital Control PDF Sampling (Signal Digital Signal Processing Aliasing Outline • review of sampling • the. Foundations of digital signal processing. Aliasing is the effect of new frequencies appearing in the sampled signal after reconstruction, that were not present in the. If you try to sample a signal whose frequency is above nyquist (like the one shown on the left), then it gets aliased to a frequency below nyquist. Digital Signal Processing Aliasing.
From www.slideshare.net
Sampling and Reconstruction of Signal using Aliasing Digital Signal Processing Aliasing Aliasing is the effect of new frequencies appearing in the sampled signal after reconstruction, that were not present in the. If you try to sample a signal whose frequency is above nyquist (like the one shown on the left), then it gets aliased to a frequency below nyquist (like. Sampling, aliasing, and the discrete fourier transform. The aliasing effect, also. Digital Signal Processing Aliasing.
From kstatelibraries.pressbooks.pub
Sampling and Its Effects Digital Signal Processing The Essentials Digital Signal Processing Aliasing The aliasing effect, also known as aliasing distortion or simply aliasing, is a phenomenon that occurs in signal processing, particularly in digital signal processing (dsp), when a. Aliasing is the effect of new frequencies appearing in the sampled signal after reconstruction, that were not present in the. Sampling and aliasing with a sinusoidal signal, sinusoidal response of a digital filter,. Digital Signal Processing Aliasing.
From dsp.stackexchange.com
sampling Digital to analog aliasing or mirror query... DAC can output Digital Signal Processing Aliasing Sampling, aliasing, and the discrete fourier transform. Outline • review of sampling • the. Sampling and aliasing with a sinusoidal signal, sinusoidal response of a digital filter, dependence of frequency response on. Foundations of digital signal processing. The aliasing effect, also known as aliasing distortion or simply aliasing, is a phenomenon that occurs in signal processing, particularly in digital signal. Digital Signal Processing Aliasing.
From dsp.stackexchange.com
audio Aliasing in wavescanning oscillator Signal Processing Stack Digital Signal Processing Aliasing Aliasing is the effect of new frequencies appearing in the sampled signal after reconstruction, that were not present in the. Sampling, aliasing, and the discrete fourier transform. The aliasing effect, also known as aliasing distortion or simply aliasing, is a phenomenon that occurs in signal processing, particularly in digital signal processing (dsp), when a. Foundations of digital signal processing. Outline. Digital Signal Processing Aliasing.
From www.slideserve.com
PPT Digital Signal Processing Chapter 7 PowerPoint Presentation Digital Signal Processing Aliasing Aliasing is the effect of new frequencies appearing in the sampled signal after reconstruction, that were not present in the. The aliasing effect, also known as aliasing distortion or simply aliasing, is a phenomenon that occurs in signal processing, particularly in digital signal processing (dsp), when a. Sampling, aliasing, and the discrete fourier transform. Sampling and aliasing with a sinusoidal. Digital Signal Processing Aliasing.
From gamma.app
Aliasing in Signal Processing Digital Signal Processing Aliasing Aliasing is the effect of new frequencies appearing in the sampled signal after reconstruction, that were not present in the. Outline • review of sampling • the. Sampling, aliasing, and the discrete fourier transform. The aliasing effect, also known as aliasing distortion or simply aliasing, is a phenomenon that occurs in signal processing, particularly in digital signal processing (dsp), when. Digital Signal Processing Aliasing.
From thewolfsound.com
What is aliasing? What causes it? How to avoid it? WolfSound Digital Signal Processing Aliasing Sampling, aliasing, and the discrete fourier transform. The aliasing effect, also known as aliasing distortion or simply aliasing, is a phenomenon that occurs in signal processing, particularly in digital signal processing (dsp), when a. Sampling and aliasing with a sinusoidal signal, sinusoidal response of a digital filter, dependence of frequency response on. Foundations of digital signal processing. Aliasing is the. Digital Signal Processing Aliasing.
From www.youtube.com
Digital Signal Processing Aliasing YouTube Digital Signal Processing Aliasing Sampling, aliasing, and the discrete fourier transform. Foundations of digital signal processing. Outline • review of sampling • the. Sampling and aliasing with a sinusoidal signal, sinusoidal response of a digital filter, dependence of frequency response on. Aliasing is the effect of new frequencies appearing in the sampled signal after reconstruction, that were not present in the. The aliasing effect,. Digital Signal Processing Aliasing.
From www.slideserve.com
PPT Digital Signal Processing PowerPoint Presentation, free download Digital Signal Processing Aliasing Sampling and aliasing with a sinusoidal signal, sinusoidal response of a digital filter, dependence of frequency response on. Sampling, aliasing, and the discrete fourier transform. Foundations of digital signal processing. Aliasing is the effect of new frequencies appearing in the sampled signal after reconstruction, that were not present in the. If you try to sample a signal whose frequency is. Digital Signal Processing Aliasing.
From www.youtube.com
Aliasing in Digital Signal Processing YouTube Digital Signal Processing Aliasing Sampling, aliasing, and the discrete fourier transform. Outline • review of sampling • the. Aliasing is the effect of new frequencies appearing in the sampled signal after reconstruction, that were not present in the. If you try to sample a signal whose frequency is above nyquist (like the one shown on the left), then it gets aliased to a frequency. Digital Signal Processing Aliasing.
From learncheme.com
aliasingsound LearnChemE Digital Signal Processing Aliasing Sampling, aliasing, and the discrete fourier transform. Foundations of digital signal processing. Outline • review of sampling • the. The aliasing effect, also known as aliasing distortion or simply aliasing, is a phenomenon that occurs in signal processing, particularly in digital signal processing (dsp), when a. Aliasing is the effect of new frequencies appearing in the sampled signal after reconstruction,. Digital Signal Processing Aliasing.
From www.youtube.com
Sampling Theory and Aliasing Image Processing II YouTube Digital Signal Processing Aliasing Outline • review of sampling • the. Sampling, aliasing, and the discrete fourier transform. The aliasing effect, also known as aliasing distortion or simply aliasing, is a phenomenon that occurs in signal processing, particularly in digital signal processing (dsp), when a. Foundations of digital signal processing. Sampling and aliasing with a sinusoidal signal, sinusoidal response of a digital filter, dependence. Digital Signal Processing Aliasing.
From www.slideserve.com
PPT Fundamentals of Digital Signal Processing (DSP) PowerPoint Digital Signal Processing Aliasing The aliasing effect, also known as aliasing distortion or simply aliasing, is a phenomenon that occurs in signal processing, particularly in digital signal processing (dsp), when a. Outline • review of sampling • the. Sampling, aliasing, and the discrete fourier transform. If you try to sample a signal whose frequency is above nyquist (like the one shown on the left),. Digital Signal Processing Aliasing.
From haplesspigeon.com
Signal Processing Aliasing and Filtering Hapless Pigeon Digital Signal Processing Aliasing Sampling, aliasing, and the discrete fourier transform. Sampling and aliasing with a sinusoidal signal, sinusoidal response of a digital filter, dependence of frequency response on. Outline • review of sampling • the. The aliasing effect, also known as aliasing distortion or simply aliasing, is a phenomenon that occurs in signal processing, particularly in digital signal processing (dsp), when a. Foundations. Digital Signal Processing Aliasing.
From www.allaboutcircuits.com
An Introduction to Digital Signal Processing Technical Articles Digital Signal Processing Aliasing If you try to sample a signal whose frequency is above nyquist (like the one shown on the left), then it gets aliased to a frequency below nyquist (like. Outline • review of sampling • the. Sampling and aliasing with a sinusoidal signal, sinusoidal response of a digital filter, dependence of frequency response on. Aliasing is the effect of new. Digital Signal Processing Aliasing.
From www.youtube.com
What is aliasing effect in sampling/Digital Signal Image processing Digital Signal Processing Aliasing The aliasing effect, also known as aliasing distortion or simply aliasing, is a phenomenon that occurs in signal processing, particularly in digital signal processing (dsp), when a. Aliasing is the effect of new frequencies appearing in the sampled signal after reconstruction, that were not present in the. If you try to sample a signal whose frequency is above nyquist (like. Digital Signal Processing Aliasing.
From www.slideserve.com
PPT Signal Processing PowerPoint Presentation, free download ID219160 Digital Signal Processing Aliasing The aliasing effect, also known as aliasing distortion or simply aliasing, is a phenomenon that occurs in signal processing, particularly in digital signal processing (dsp), when a. Outline • review of sampling • the. Foundations of digital signal processing. If you try to sample a signal whose frequency is above nyquist (like the one shown on the left), then it. Digital Signal Processing Aliasing.