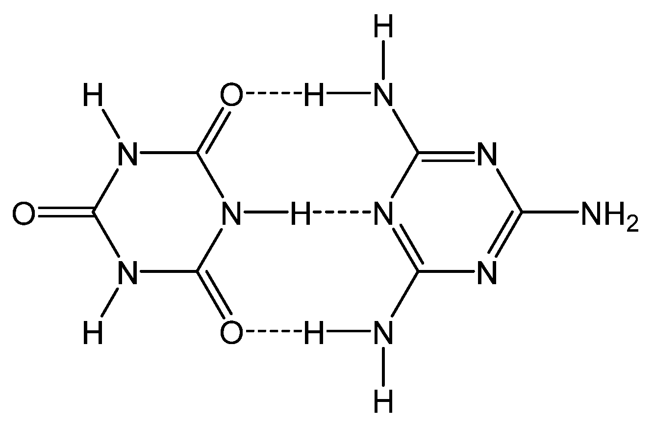
The Structure Of Melamine Cyanurate . (3) prepared pa6 composites with different mca contents and reported that a composite comprising 15 wt % mca is required. The structure of mca is a planar network bonded. Melamine cyanurate (mca), a nitrogen containing flame retardant, is suitable for pa6 [6]. Three modes of action of melamine are heat sink by absorbing heat during sublimation and cooling the substrate, inert gas, and dilution of the oxygen and. Melamine cyanurate, an organic crystalline complex was, synthesized by evaporation of an aqueous solution containing equimolar quantities of melamine and cyanuric acid. (11) in this direction, hu et al.
from www.doubtnut.com
Three modes of action of melamine are heat sink by absorbing heat during sublimation and cooling the substrate, inert gas, and dilution of the oxygen and. Melamine cyanurate (mca), a nitrogen containing flame retardant, is suitable for pa6 [6]. Melamine cyanurate, an organic crystalline complex was, synthesized by evaporation of an aqueous solution containing equimolar quantities of melamine and cyanuric acid. (11) in this direction, hu et al. (3) prepared pa6 composites with different mca contents and reported that a composite comprising 15 wt % mca is required. The structure of mca is a planar network bonded.
When melamine and formaldehyde polymerise, a resine intermedialte is f
The Structure Of Melamine Cyanurate (11) in this direction, hu et al. (11) in this direction, hu et al. Melamine cyanurate (mca), a nitrogen containing flame retardant, is suitable for pa6 [6]. (3) prepared pa6 composites with different mca contents and reported that a composite comprising 15 wt % mca is required. Three modes of action of melamine are heat sink by absorbing heat during sublimation and cooling the substrate, inert gas, and dilution of the oxygen and. Melamine cyanurate, an organic crystalline complex was, synthesized by evaporation of an aqueous solution containing equimolar quantities of melamine and cyanuric acid. The structure of mca is a planar network bonded.
From www.researchgate.net
Chemical structure of melamine. Download Scientific Diagram The Structure Of Melamine Cyanurate Three modes of action of melamine are heat sink by absorbing heat during sublimation and cooling the substrate, inert gas, and dilution of the oxygen and. Melamine cyanurate, an organic crystalline complex was, synthesized by evaporation of an aqueous solution containing equimolar quantities of melamine and cyanuric acid. Melamine cyanurate (mca), a nitrogen containing flame retardant, is suitable for pa6. The Structure Of Melamine Cyanurate.
From www.ec21.com
Melamine Cyanurate(MCA)(id10371398). Buy China MCA, PA, flame The Structure Of Melamine Cyanurate The structure of mca is a planar network bonded. Melamine cyanurate (mca), a nitrogen containing flame retardant, is suitable for pa6 [6]. Three modes of action of melamine are heat sink by absorbing heat during sublimation and cooling the substrate, inert gas, and dilution of the oxygen and. (3) prepared pa6 composites with different mca contents and reported that a. The Structure Of Melamine Cyanurate.
From www.semanticscholar.org
Figure 1 from Formation of Hybrid Ring Structure of Cyanurate The Structure Of Melamine Cyanurate (11) in this direction, hu et al. Three modes of action of melamine are heat sink by absorbing heat during sublimation and cooling the substrate, inert gas, and dilution of the oxygen and. Melamine cyanurate, an organic crystalline complex was, synthesized by evaporation of an aqueous solution containing equimolar quantities of melamine and cyanuric acid. Melamine cyanurate (mca), a nitrogen. The Structure Of Melamine Cyanurate.
From www.researchgate.net
General structure of (a) sulfonated melamine formaldehyde... Download The Structure Of Melamine Cyanurate The structure of mca is a planar network bonded. Melamine cyanurate (mca), a nitrogen containing flame retardant, is suitable for pa6 [6]. (11) in this direction, hu et al. (3) prepared pa6 composites with different mca contents and reported that a composite comprising 15 wt % mca is required. Melamine cyanurate, an organic crystalline complex was, synthesized by evaporation of. The Structure Of Melamine Cyanurate.
From www.mosinterchem.com
Melamine Cyanurate CAS 37640576 MCAA; MOSINTER The Structure Of Melamine Cyanurate Three modes of action of melamine are heat sink by absorbing heat during sublimation and cooling the substrate, inert gas, and dilution of the oxygen and. The structure of mca is a planar network bonded. (11) in this direction, hu et al. (3) prepared pa6 composites with different mca contents and reported that a composite comprising 15 wt % mca. The Structure Of Melamine Cyanurate.
From www.researchgate.net
Chemical structures of functionalized melamine, barbiturate and The Structure Of Melamine Cyanurate Melamine cyanurate, an organic crystalline complex was, synthesized by evaporation of an aqueous solution containing equimolar quantities of melamine and cyanuric acid. (11) in this direction, hu et al. (3) prepared pa6 composites with different mca contents and reported that a composite comprising 15 wt % mca is required. The structure of mca is a planar network bonded. Three modes. The Structure Of Melamine Cyanurate.
From www.researchgate.net
Schematic representation of a layer fragment of melamine cyanurate The Structure Of Melamine Cyanurate (3) prepared pa6 composites with different mca contents and reported that a composite comprising 15 wt % mca is required. Melamine cyanurate (mca), a nitrogen containing flame retardant, is suitable for pa6 [6]. (11) in this direction, hu et al. The structure of mca is a planar network bonded. Three modes of action of melamine are heat sink by absorbing. The Structure Of Melamine Cyanurate.
From www.guidechem.com
Melamine cyanurate (cas 37640576) msds download The Structure Of Melamine Cyanurate Melamine cyanurate, an organic crystalline complex was, synthesized by evaporation of an aqueous solution containing equimolar quantities of melamine and cyanuric acid. (3) prepared pa6 composites with different mca contents and reported that a composite comprising 15 wt % mca is required. The structure of mca is a planar network bonded. (11) in this direction, hu et al. Melamine cyanurate. The Structure Of Melamine Cyanurate.
From www.researchgate.net
Illustration of the selfassembly procedure of αzirconium The Structure Of Melamine Cyanurate (11) in this direction, hu et al. The structure of mca is a planar network bonded. Melamine cyanurate (mca), a nitrogen containing flame retardant, is suitable for pa6 [6]. Three modes of action of melamine are heat sink by absorbing heat during sublimation and cooling the substrate, inert gas, and dilution of the oxygen and. Melamine cyanurate, an organic crystalline. The Structure Of Melamine Cyanurate.
From www.researchgate.net
Chemical structure of melamine (1), cyanuric acid (2), and melamine The Structure Of Melamine Cyanurate Melamine cyanurate (mca), a nitrogen containing flame retardant, is suitable for pa6 [6]. Three modes of action of melamine are heat sink by absorbing heat during sublimation and cooling the substrate, inert gas, and dilution of the oxygen and. Melamine cyanurate, an organic crystalline complex was, synthesized by evaporation of an aqueous solution containing equimolar quantities of melamine and cyanuric. The Structure Of Melamine Cyanurate.
From journals.sagepub.com
Effect of melamine cyanurate on thermal and flameretardant behaviour The Structure Of Melamine Cyanurate (3) prepared pa6 composites with different mca contents and reported that a composite comprising 15 wt % mca is required. Melamine cyanurate, an organic crystalline complex was, synthesized by evaporation of an aqueous solution containing equimolar quantities of melamine and cyanuric acid. Melamine cyanurate (mca), a nitrogen containing flame retardant, is suitable for pa6 [6]. (11) in this direction, hu. The Structure Of Melamine Cyanurate.
From www.acs.org
Melamine American Chemical Society The Structure Of Melamine Cyanurate The structure of mca is a planar network bonded. Melamine cyanurate (mca), a nitrogen containing flame retardant, is suitable for pa6 [6]. (3) prepared pa6 composites with different mca contents and reported that a composite comprising 15 wt % mca is required. (11) in this direction, hu et al. Three modes of action of melamine are heat sink by absorbing. The Structure Of Melamine Cyanurate.
From www.zxchem.com
Melamine Cyanurate Cas No. 37640576 of China Manufacturer The Structure Of Melamine Cyanurate Three modes of action of melamine are heat sink by absorbing heat during sublimation and cooling the substrate, inert gas, and dilution of the oxygen and. (3) prepared pa6 composites with different mca contents and reported that a composite comprising 15 wt % mca is required. The structure of mca is a planar network bonded. Melamine cyanurate, an organic crystalline. The Structure Of Melamine Cyanurate.
From www.semanticscholar.org
Figure 2 from Ammonium Polyphosphate/Melamine Cyanurate Synergetic The Structure Of Melamine Cyanurate Melamine cyanurate (mca), a nitrogen containing flame retardant, is suitable for pa6 [6]. Melamine cyanurate, an organic crystalline complex was, synthesized by evaporation of an aqueous solution containing equimolar quantities of melamine and cyanuric acid. (3) prepared pa6 composites with different mca contents and reported that a composite comprising 15 wt % mca is required. Three modes of action of. The Structure Of Melamine Cyanurate.
From cen.acs.org
The Structure Of Melamine Cyanurate The structure of mca is a planar network bonded. (3) prepared pa6 composites with different mca contents and reported that a composite comprising 15 wt % mca is required. Three modes of action of melamine are heat sink by absorbing heat during sublimation and cooling the substrate, inert gas, and dilution of the oxygen and. (11) in this direction, hu. The Structure Of Melamine Cyanurate.
From gbu-presnenskij.ru
Poly(melaminecoformaldehyde) Methylated Average Mn 432,, 58 OFF The Structure Of Melamine Cyanurate Three modes of action of melamine are heat sink by absorbing heat during sublimation and cooling the substrate, inert gas, and dilution of the oxygen and. The structure of mca is a planar network bonded. (11) in this direction, hu et al. (3) prepared pa6 composites with different mca contents and reported that a composite comprising 15 wt % mca. The Structure Of Melamine Cyanurate.
From www.researchgate.net
Array of melamine resin microbeads placed 5 µm apart and attached to The Structure Of Melamine Cyanurate (3) prepared pa6 composites with different mca contents and reported that a composite comprising 15 wt % mca is required. Three modes of action of melamine are heat sink by absorbing heat during sublimation and cooling the substrate, inert gas, and dilution of the oxygen and. The structure of mca is a planar network bonded. Melamine cyanurate, an organic crystalline. The Structure Of Melamine Cyanurate.
From www.mdpi.com
C Free FullText Carbonized Melamine Cyanurate as a Palladium The Structure Of Melamine Cyanurate The structure of mca is a planar network bonded. (3) prepared pa6 composites with different mca contents and reported that a composite comprising 15 wt % mca is required. Melamine cyanurate (mca), a nitrogen containing flame retardant, is suitable for pa6 [6]. Melamine cyanurate, an organic crystalline complex was, synthesized by evaporation of an aqueous solution containing equimolar quantities of. The Structure Of Melamine Cyanurate.
From www.shutterstock.com
Melamine Molecule Structure Stock Vector (Royalty Free) 1360229849 The Structure Of Melamine Cyanurate (11) in this direction, hu et al. Melamine cyanurate (mca), a nitrogen containing flame retardant, is suitable for pa6 [6]. The structure of mca is a planar network bonded. Melamine cyanurate, an organic crystalline complex was, synthesized by evaporation of an aqueous solution containing equimolar quantities of melamine and cyanuric acid. Three modes of action of melamine are heat sink. The Structure Of Melamine Cyanurate.
From www.mdpi.com
C Free FullText Carbonized Melamine Cyanurate as a Palladium The Structure Of Melamine Cyanurate The structure of mca is a planar network bonded. (11) in this direction, hu et al. (3) prepared pa6 composites with different mca contents and reported that a composite comprising 15 wt % mca is required. Three modes of action of melamine are heat sink by absorbing heat during sublimation and cooling the substrate, inert gas, and dilution of the. The Structure Of Melamine Cyanurate.
From www.mosinterchem.com.cn
Melamine Cyanurate CAS 37640576 Chemicals supplier from China The Structure Of Melamine Cyanurate The structure of mca is a planar network bonded. Melamine cyanurate (mca), a nitrogen containing flame retardant, is suitable for pa6 [6]. (11) in this direction, hu et al. Melamine cyanurate, an organic crystalline complex was, synthesized by evaporation of an aqueous solution containing equimolar quantities of melamine and cyanuric acid. (3) prepared pa6 composites with different mca contents and. The Structure Of Melamine Cyanurate.
From www.mdpi.com
Coatings Free FullText Preparation and Testing of AntiCorrosion The Structure Of Melamine Cyanurate (11) in this direction, hu et al. Three modes of action of melamine are heat sink by absorbing heat during sublimation and cooling the substrate, inert gas, and dilution of the oxygen and. The structure of mca is a planar network bonded. (3) prepared pa6 composites with different mca contents and reported that a composite comprising 15 wt % mca. The Structure Of Melamine Cyanurate.
From chemistry-europe.onlinelibrary.wiley.com
Nitrogen‐rich melamine cyanurate derived hollow porous carbon The Structure Of Melamine Cyanurate Melamine cyanurate, an organic crystalline complex was, synthesized by evaporation of an aqueous solution containing equimolar quantities of melamine and cyanuric acid. (11) in this direction, hu et al. (3) prepared pa6 composites with different mca contents and reported that a composite comprising 15 wt % mca is required. The structure of mca is a planar network bonded. Melamine cyanurate. The Structure Of Melamine Cyanurate.
From www.researchgate.net
a) XRD patterns of a) pyrolyzed melamine, b) CoCNM5 min, c) CoCNM10 The Structure Of Melamine Cyanurate Melamine cyanurate, an organic crystalline complex was, synthesized by evaporation of an aqueous solution containing equimolar quantities of melamine and cyanuric acid. Melamine cyanurate (mca), a nitrogen containing flame retardant, is suitable for pa6 [6]. (3) prepared pa6 composites with different mca contents and reported that a composite comprising 15 wt % mca is required. (11) in this direction, hu. The Structure Of Melamine Cyanurate.
From www.researchgate.net
Schematic structure of MCA sheets (a), MBA sheets (b), structural The Structure Of Melamine Cyanurate (3) prepared pa6 composites with different mca contents and reported that a composite comprising 15 wt % mca is required. (11) in this direction, hu et al. The structure of mca is a planar network bonded. Melamine cyanurate, an organic crystalline complex was, synthesized by evaporation of an aqueous solution containing equimolar quantities of melamine and cyanuric acid. Three modes. The Structure Of Melamine Cyanurate.
From www.alamy.com
Chemical structure of a melamine molecule. Melamine has been used for The Structure Of Melamine Cyanurate Melamine cyanurate (mca), a nitrogen containing flame retardant, is suitable for pa6 [6]. Melamine cyanurate, an organic crystalline complex was, synthesized by evaporation of an aqueous solution containing equimolar quantities of melamine and cyanuric acid. (11) in this direction, hu et al. Three modes of action of melamine are heat sink by absorbing heat during sublimation and cooling the substrate,. The Structure Of Melamine Cyanurate.
From www.mdpi.com
Coatings Free FullText Preparation and Testing of AntiCorrosion The Structure Of Melamine Cyanurate Melamine cyanurate (mca), a nitrogen containing flame retardant, is suitable for pa6 [6]. (11) in this direction, hu et al. Three modes of action of melamine are heat sink by absorbing heat during sublimation and cooling the substrate, inert gas, and dilution of the oxygen and. The structure of mca is a planar network bonded. (3) prepared pa6 composites with. The Structure Of Melamine Cyanurate.
From www.chemvera.in
Melamine Cyanurate at Best Price, Melamine Cyanurate Manufacturer in Mumbai The Structure Of Melamine Cyanurate Melamine cyanurate (mca), a nitrogen containing flame retardant, is suitable for pa6 [6]. (3) prepared pa6 composites with different mca contents and reported that a composite comprising 15 wt % mca is required. (11) in this direction, hu et al. The structure of mca is a planar network bonded. Three modes of action of melamine are heat sink by absorbing. The Structure Of Melamine Cyanurate.
From www.doubtnut.com
When melamine and formaldehyde polymerise, a resine intermedialte is f The Structure Of Melamine Cyanurate Three modes of action of melamine are heat sink by absorbing heat during sublimation and cooling the substrate, inert gas, and dilution of the oxygen and. (11) in this direction, hu et al. Melamine cyanurate (mca), a nitrogen containing flame retardant, is suitable for pa6 [6]. The structure of mca is a planar network bonded. Melamine cyanurate, an organic crystalline. The Structure Of Melamine Cyanurate.
From fr.dreamstime.com
Formule De Mélamine Structure Moléculaire Dessin Au Trait Formule De The Structure Of Melamine Cyanurate The structure of mca is a planar network bonded. Melamine cyanurate, an organic crystalline complex was, synthesized by evaporation of an aqueous solution containing equimolar quantities of melamine and cyanuric acid. Melamine cyanurate (mca), a nitrogen containing flame retardant, is suitable for pa6 [6]. (11) in this direction, hu et al. (3) prepared pa6 composites with different mca contents and. The Structure Of Melamine Cyanurate.
From www.researchgate.net
Schematic structure of MCA sheets (a), MBA sheets (b), structural The Structure Of Melamine Cyanurate Melamine cyanurate (mca), a nitrogen containing flame retardant, is suitable for pa6 [6]. (3) prepared pa6 composites with different mca contents and reported that a composite comprising 15 wt % mca is required. Three modes of action of melamine are heat sink by absorbing heat during sublimation and cooling the substrate, inert gas, and dilution of the oxygen and. The. The Structure Of Melamine Cyanurate.
From www.researchgate.net
(PDF) The structure of the melaminecyanuric acid cocrystal The Structure Of Melamine Cyanurate Three modes of action of melamine are heat sink by absorbing heat during sublimation and cooling the substrate, inert gas, and dilution of the oxygen and. Melamine cyanurate (mca), a nitrogen containing flame retardant, is suitable for pa6 [6]. Melamine cyanurate, an organic crystalline complex was, synthesized by evaporation of an aqueous solution containing equimolar quantities of melamine and cyanuric. The Structure Of Melamine Cyanurate.
From www.researchgate.net
Structures of melamine and dyes. Download Scientific Diagram The Structure Of Melamine Cyanurate Three modes of action of melamine are heat sink by absorbing heat during sublimation and cooling the substrate, inert gas, and dilution of the oxygen and. The structure of mca is a planar network bonded. Melamine cyanurate (mca), a nitrogen containing flame retardant, is suitable for pa6 [6]. (3) prepared pa6 composites with different mca contents and reported that a. The Structure Of Melamine Cyanurate.
From kr.made-in-china.com
방연제 Mca 멜라민 Cyanurate 중국 방연제 mca 멜라민 cyanurate, 순수한 pa6/66 시스템을s mca The Structure Of Melamine Cyanurate Melamine cyanurate, an organic crystalline complex was, synthesized by evaporation of an aqueous solution containing equimolar quantities of melamine and cyanuric acid. Three modes of action of melamine are heat sink by absorbing heat during sublimation and cooling the substrate, inert gas, and dilution of the oxygen and. The structure of mca is a planar network bonded. (11) in this. The Structure Of Melamine Cyanurate.
From www.green-mountainchem.com
Melamine Cyanurate CAS37640576 Nitrogen Flame Retardant The Structure Of Melamine Cyanurate Melamine cyanurate, an organic crystalline complex was, synthesized by evaporation of an aqueous solution containing equimolar quantities of melamine and cyanuric acid. (3) prepared pa6 composites with different mca contents and reported that a composite comprising 15 wt % mca is required. (11) in this direction, hu et al. Three modes of action of melamine are heat sink by absorbing. The Structure Of Melamine Cyanurate.