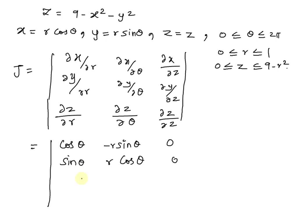
Use Cylindrical Coordinates To Evaluate The Triple Integral Sqrt(X^2+Y^2) . Triple integrals in every coordinate system feature a unique infinitesimal volume element. Triple integrals in spherical & cylindrical coordinates. To evaluate a triple integral in cylindrical coordinates, use the iterated integral \[\int_{\theta=\alpha}^{\theta=\beta} \int_{r=g_1(\theta)}^{r=g_2(\theta)} \int_{z=u_1(r,\theta)}^{u_2(r,\theta)}. We are told to evaluate the triple integral: Where e e is bounded by x = 4y2 + 4z2 x = 4 y 2 + 4 z 2 and x = 4 x = 4. ∭e zdv ∭ e z d v. Use cylindrical coordinates to evaluate the triple integral triple integral_e squareroot x^2 + y^2 dv where e is the solid bounded by the circular. Use cylindrical coordinates to evaluate the triple integral \iiint_e \, \sqrt {x^ {2} + y^ {2}} \, dv, where e is the solid bounded by the circular paraboloid z =. There $\rho^2=x^2+y^2+z^2$ and $dxdydz=\rho^2 \sin \phi \,\,d\rho d\theta. The easiest way to do this is to make a switch to spherical coordinates. Using triple integrals in spherical coordinates, we can find the volumes of different geometric shapes like these. Use cylindrical coordinates to evaluate the triple integral $$\iiint_e \sqrt{x^2+y^2}dv, $$ where $e$ is the solid bounded by the circular paraboloid.
from www.chegg.com
Use cylindrical coordinates to evaluate the triple integral triple integral_e squareroot x^2 + y^2 dv where e is the solid bounded by the circular. We are told to evaluate the triple integral: There $\rho^2=x^2+y^2+z^2$ and $dxdydz=\rho^2 \sin \phi \,\,d\rho d\theta. To evaluate a triple integral in cylindrical coordinates, use the iterated integral \[\int_{\theta=\alpha}^{\theta=\beta} \int_{r=g_1(\theta)}^{r=g_2(\theta)} \int_{z=u_1(r,\theta)}^{u_2(r,\theta)}. Use cylindrical coordinates to evaluate the triple integral $$\iiint_e \sqrt{x^2+y^2}dv, $$ where $e$ is the solid bounded by the circular paraboloid. Triple integrals in every coordinate system feature a unique infinitesimal volume element. Using triple integrals in spherical coordinates, we can find the volumes of different geometric shapes like these. Triple integrals in spherical & cylindrical coordinates. The easiest way to do this is to make a switch to spherical coordinates. Where e e is bounded by x = 4y2 + 4z2 x = 4 y 2 + 4 z 2 and x = 4 x = 4.
Solved Use cylindrical coordinates to evaluate the integral
Use Cylindrical Coordinates To Evaluate The Triple Integral Sqrt(X^2+Y^2) Triple integrals in every coordinate system feature a unique infinitesimal volume element. Triple integrals in spherical & cylindrical coordinates. Triple integrals in every coordinate system feature a unique infinitesimal volume element. The easiest way to do this is to make a switch to spherical coordinates. Use cylindrical coordinates to evaluate the triple integral \iiint_e \, \sqrt {x^ {2} + y^ {2}} \, dv, where e is the solid bounded by the circular paraboloid z =. ∭e zdv ∭ e z d v. Where e e is bounded by x = 4y2 + 4z2 x = 4 y 2 + 4 z 2 and x = 4 x = 4. Use cylindrical coordinates to evaluate the triple integral triple integral_e squareroot x^2 + y^2 dv where e is the solid bounded by the circular. Use cylindrical coordinates to evaluate the triple integral $$\iiint_e \sqrt{x^2+y^2}dv, $$ where $e$ is the solid bounded by the circular paraboloid. There $\rho^2=x^2+y^2+z^2$ and $dxdydz=\rho^2 \sin \phi \,\,d\rho d\theta. Using triple integrals in spherical coordinates, we can find the volumes of different geometric shapes like these. We are told to evaluate the triple integral: To evaluate a triple integral in cylindrical coordinates, use the iterated integral \[\int_{\theta=\alpha}^{\theta=\beta} \int_{r=g_1(\theta)}^{r=g_2(\theta)} \int_{z=u_1(r,\theta)}^{u_2(r,\theta)}.
From www.numerade.com
SOLVED solid bounded Dy IC PuraUUIOIu and the The plane _ solid Use Cylindrical Coordinates To Evaluate The Triple Integral Sqrt(X^2+Y^2) Triple integrals in every coordinate system feature a unique infinitesimal volume element. Where e e is bounded by x = 4y2 + 4z2 x = 4 y 2 + 4 z 2 and x = 4 x = 4. Using triple integrals in spherical coordinates, we can find the volumes of different geometric shapes like these. The easiest way to. Use Cylindrical Coordinates To Evaluate The Triple Integral Sqrt(X^2+Y^2).
From www.numerade.com
SOLVED 'SELUE triple integral in spherical coordinates tO evaluate xy Use Cylindrical Coordinates To Evaluate The Triple Integral Sqrt(X^2+Y^2) Use cylindrical coordinates to evaluate the triple integral $$\iiint_e \sqrt{x^2+y^2}dv, $$ where $e$ is the solid bounded by the circular paraboloid. Use cylindrical coordinates to evaluate the triple integral \iiint_e \, \sqrt {x^ {2} + y^ {2}} \, dv, where e is the solid bounded by the circular paraboloid z =. To evaluate a triple integral in cylindrical coordinates, use. Use Cylindrical Coordinates To Evaluate The Triple Integral Sqrt(X^2+Y^2).
From www.youtube.com
Evaluate definite integral sqrt(a^2 x^2) dx over [0, a] using method Use Cylindrical Coordinates To Evaluate The Triple Integral Sqrt(X^2+Y^2) Use cylindrical coordinates to evaluate the triple integral \iiint_e \, \sqrt {x^ {2} + y^ {2}} \, dv, where e is the solid bounded by the circular paraboloid z =. Triple integrals in spherical & cylindrical coordinates. Use cylindrical coordinates to evaluate the triple integral $$\iiint_e \sqrt{x^2+y^2}dv, $$ where $e$ is the solid bounded by the circular paraboloid. We are. Use Cylindrical Coordinates To Evaluate The Triple Integral Sqrt(X^2+Y^2).
From www.chegg.com
Solved Evaluate the integral. (Use C for the constant of Use Cylindrical Coordinates To Evaluate The Triple Integral Sqrt(X^2+Y^2) To evaluate a triple integral in cylindrical coordinates, use the iterated integral \[\int_{\theta=\alpha}^{\theta=\beta} \int_{r=g_1(\theta)}^{r=g_2(\theta)} \int_{z=u_1(r,\theta)}^{u_2(r,\theta)}. Use cylindrical coordinates to evaluate the triple integral triple integral_e squareroot x^2 + y^2 dv where e is the solid bounded by the circular. ∭e zdv ∭ e z d v. Triple integrals in spherical & cylindrical coordinates. Use cylindrical coordinates to evaluate the triple. Use Cylindrical Coordinates To Evaluate The Triple Integral Sqrt(X^2+Y^2).
From www.youtube.com
Integral of sqrt(x^2+x^4) (substitution) YouTube Use Cylindrical Coordinates To Evaluate The Triple Integral Sqrt(X^2+Y^2) Use cylindrical coordinates to evaluate the triple integral triple integral_e squareroot x^2 + y^2 dv where e is the solid bounded by the circular. The easiest way to do this is to make a switch to spherical coordinates. We are told to evaluate the triple integral: Using triple integrals in spherical coordinates, we can find the volumes of different geometric. Use Cylindrical Coordinates To Evaluate The Triple Integral Sqrt(X^2+Y^2).
From www.youtube.com
Triple Integrals and Volume using Spherical Coordinates YouTube Use Cylindrical Coordinates To Evaluate The Triple Integral Sqrt(X^2+Y^2) Using triple integrals in spherical coordinates, we can find the volumes of different geometric shapes like these. Where e e is bounded by x = 4y2 + 4z2 x = 4 y 2 + 4 z 2 and x = 4 x = 4. To evaluate a triple integral in cylindrical coordinates, use the iterated integral \[\int_{\theta=\alpha}^{\theta=\beta} \int_{r=g_1(\theta)}^{r=g_2(\theta)} \int_{z=u_1(r,\theta)}^{u_2(r,\theta)}. The. Use Cylindrical Coordinates To Evaluate The Triple Integral Sqrt(X^2+Y^2).
From www.numerade.com
SOLVEDWrite the sum of the double integrals as a simple double Use Cylindrical Coordinates To Evaluate The Triple Integral Sqrt(X^2+Y^2) We are told to evaluate the triple integral: There $\rho^2=x^2+y^2+z^2$ and $dxdydz=\rho^2 \sin \phi \,\,d\rho d\theta. The easiest way to do this is to make a switch to spherical coordinates. Triple integrals in every coordinate system feature a unique infinitesimal volume element. ∭e zdv ∭ e z d v. Using triple integrals in spherical coordinates, we can find the volumes. Use Cylindrical Coordinates To Evaluate The Triple Integral Sqrt(X^2+Y^2).
From www.chegg.com
Solved Use cylindrical coordinates to evaluate the integral Use Cylindrical Coordinates To Evaluate The Triple Integral Sqrt(X^2+Y^2) Where e e is bounded by x = 4y2 + 4z2 x = 4 y 2 + 4 z 2 and x = 4 x = 4. Use cylindrical coordinates to evaluate the triple integral triple integral_e squareroot x^2 + y^2 dv where e is the solid bounded by the circular. To evaluate a triple integral in cylindrical coordinates, use. Use Cylindrical Coordinates To Evaluate The Triple Integral Sqrt(X^2+Y^2).
From gambarsaex4t.blogspot.com
R=sqrt(x^2 y^2 z^2) 171088R=sqrt(x^2+y^2+z^2) Gambarsaex4t Use Cylindrical Coordinates To Evaluate The Triple Integral Sqrt(X^2+Y^2) Triple integrals in every coordinate system feature a unique infinitesimal volume element. Use cylindrical coordinates to evaluate the triple integral triple integral_e squareroot x^2 + y^2 dv where e is the solid bounded by the circular. To evaluate a triple integral in cylindrical coordinates, use the iterated integral \[\int_{\theta=\alpha}^{\theta=\beta} \int_{r=g_1(\theta)}^{r=g_2(\theta)} \int_{z=u_1(r,\theta)}^{u_2(r,\theta)}. Where e e is bounded by x = 4y2. Use Cylindrical Coordinates To Evaluate The Triple Integral Sqrt(X^2+Y^2).
From www.numerade.com
SOLVEDIn Exercises 922, change the Cartesian integral into an Use Cylindrical Coordinates To Evaluate The Triple Integral Sqrt(X^2+Y^2) Triple integrals in every coordinate system feature a unique infinitesimal volume element. Use cylindrical coordinates to evaluate the triple integral \iiint_e \, \sqrt {x^ {2} + y^ {2}} \, dv, where e is the solid bounded by the circular paraboloid z =. Use cylindrical coordinates to evaluate the triple integral $$\iiint_e \sqrt{x^2+y^2}dv, $$ where $e$ is the solid bounded by. Use Cylindrical Coordinates To Evaluate The Triple Integral Sqrt(X^2+Y^2).
From www.chegg.com
Solved Use cylindrical coordinates to evaluate the integral Use Cylindrical Coordinates To Evaluate The Triple Integral Sqrt(X^2+Y^2) Using triple integrals in spherical coordinates, we can find the volumes of different geometric shapes like these. Triple integrals in spherical & cylindrical coordinates. Use cylindrical coordinates to evaluate the triple integral $$\iiint_e \sqrt{x^2+y^2}dv, $$ where $e$ is the solid bounded by the circular paraboloid. ∭e zdv ∭ e z d v. To evaluate a triple integral in cylindrical coordinates,. Use Cylindrical Coordinates To Evaluate The Triple Integral Sqrt(X^2+Y^2).
From www.yawin.in
Evaluate double Integral of (x^2 +y^2) dy dx over the limits y=(x, sqrt Use Cylindrical Coordinates To Evaluate The Triple Integral Sqrt(X^2+Y^2) There $\rho^2=x^2+y^2+z^2$ and $dxdydz=\rho^2 \sin \phi \,\,d\rho d\theta. Triple integrals in spherical & cylindrical coordinates. Use cylindrical coordinates to evaluate the triple integral $$\iiint_e \sqrt{x^2+y^2}dv, $$ where $e$ is the solid bounded by the circular paraboloid. The easiest way to do this is to make a switch to spherical coordinates. Use cylindrical coordinates to evaluate the triple integral triple integral_e. Use Cylindrical Coordinates To Evaluate The Triple Integral Sqrt(X^2+Y^2).
From www.chegg.com
Solved Use cylindrical coordinates to evaluate the triple Use Cylindrical Coordinates To Evaluate The Triple Integral Sqrt(X^2+Y^2) Triple integrals in spherical & cylindrical coordinates. To evaluate a triple integral in cylindrical coordinates, use the iterated integral \[\int_{\theta=\alpha}^{\theta=\beta} \int_{r=g_1(\theta)}^{r=g_2(\theta)} \int_{z=u_1(r,\theta)}^{u_2(r,\theta)}. Triple integrals in every coordinate system feature a unique infinitesimal volume element. We are told to evaluate the triple integral: Use cylindrical coordinates to evaluate the triple integral \iiint_e \, \sqrt {x^ {2} + y^ {2}} \, dv,. Use Cylindrical Coordinates To Evaluate The Triple Integral Sqrt(X^2+Y^2).
From www.yawin.in
Evaluate triple Integral of (x^2 + y^2 + z^2) dz dy dx over the limits Use Cylindrical Coordinates To Evaluate The Triple Integral Sqrt(X^2+Y^2) To evaluate a triple integral in cylindrical coordinates, use the iterated integral \[\int_{\theta=\alpha}^{\theta=\beta} \int_{r=g_1(\theta)}^{r=g_2(\theta)} \int_{z=u_1(r,\theta)}^{u_2(r,\theta)}. We are told to evaluate the triple integral: Using triple integrals in spherical coordinates, we can find the volumes of different geometric shapes like these. Use cylindrical coordinates to evaluate the triple integral $$\iiint_e \sqrt{x^2+y^2}dv, $$ where $e$ is the solid bounded by the circular. Use Cylindrical Coordinates To Evaluate The Triple Integral Sqrt(X^2+Y^2).
From www.chegg.com
Solved Evaluate the integral. (Use C for the constant of Use Cylindrical Coordinates To Evaluate The Triple Integral Sqrt(X^2+Y^2) Where e e is bounded by x = 4y2 + 4z2 x = 4 y 2 + 4 z 2 and x = 4 x = 4. Use cylindrical coordinates to evaluate the triple integral \iiint_e \, \sqrt {x^ {2} + y^ {2}} \, dv, where e is the solid bounded by the circular paraboloid z =. To evaluate a. Use Cylindrical Coordinates To Evaluate The Triple Integral Sqrt(X^2+Y^2).
From www.youtube.com
TRIPLE INTEGRAL Evaluate ∫∫∫ (x^2+y^2+z^2) dxdydz YouTube Use Cylindrical Coordinates To Evaluate The Triple Integral Sqrt(X^2+Y^2) Using triple integrals in spherical coordinates, we can find the volumes of different geometric shapes like these. The easiest way to do this is to make a switch to spherical coordinates. Use cylindrical coordinates to evaluate the triple integral triple integral_e squareroot x^2 + y^2 dv where e is the solid bounded by the circular. Triple integrals in every coordinate. Use Cylindrical Coordinates To Evaluate The Triple Integral Sqrt(X^2+Y^2).
From www.yawin.in
Evaluate the double integral of (dy dx) / (1+x^2+y^2) over the limits y Use Cylindrical Coordinates To Evaluate The Triple Integral Sqrt(X^2+Y^2) Use cylindrical coordinates to evaluate the triple integral triple integral_e squareroot x^2 + y^2 dv where e is the solid bounded by the circular. Where e e is bounded by x = 4y2 + 4z2 x = 4 y 2 + 4 z 2 and x = 4 x = 4. To evaluate a triple integral in cylindrical coordinates, use. Use Cylindrical Coordinates To Evaluate The Triple Integral Sqrt(X^2+Y^2).
From math.stackexchange.com
cylindrical coordinates Triple integral bounded above by z=6x^2y^2 Use Cylindrical Coordinates To Evaluate The Triple Integral Sqrt(X^2+Y^2) Use cylindrical coordinates to evaluate the triple integral $$\iiint_e \sqrt{x^2+y^2}dv, $$ where $e$ is the solid bounded by the circular paraboloid. To evaluate a triple integral in cylindrical coordinates, use the iterated integral \[\int_{\theta=\alpha}^{\theta=\beta} \int_{r=g_1(\theta)}^{r=g_2(\theta)} \int_{z=u_1(r,\theta)}^{u_2(r,\theta)}. Use cylindrical coordinates to evaluate the triple integral \iiint_e \, \sqrt {x^ {2} + y^ {2}} \, dv, where e is the solid bounded. Use Cylindrical Coordinates To Evaluate The Triple Integral Sqrt(X^2+Y^2).
From www.youtube.com
Evaluate a Triple Integral Using Cylindrical Coordinates Triple Use Cylindrical Coordinates To Evaluate The Triple Integral Sqrt(X^2+Y^2) We are told to evaluate the triple integral: Use cylindrical coordinates to evaluate the triple integral triple integral_e squareroot x^2 + y^2 dv where e is the solid bounded by the circular. Using triple integrals in spherical coordinates, we can find the volumes of different geometric shapes like these. The easiest way to do this is to make a switch. Use Cylindrical Coordinates To Evaluate The Triple Integral Sqrt(X^2+Y^2).
From www.chegg.com
Solved Use spherical coordinates to calculate the triple Use Cylindrical Coordinates To Evaluate The Triple Integral Sqrt(X^2+Y^2) There $\rho^2=x^2+y^2+z^2$ and $dxdydz=\rho^2 \sin \phi \,\,d\rho d\theta. The easiest way to do this is to make a switch to spherical coordinates. Use cylindrical coordinates to evaluate the triple integral triple integral_e squareroot x^2 + y^2 dv where e is the solid bounded by the circular. Triple integrals in every coordinate system feature a unique infinitesimal volume element. To evaluate. Use Cylindrical Coordinates To Evaluate The Triple Integral Sqrt(X^2+Y^2).
From www.youtube.com
Double Integration Integral of xy*sqrt(x^2 + y^2) dy dx, y = 0 to 1 Use Cylindrical Coordinates To Evaluate The Triple Integral Sqrt(X^2+Y^2) Triple integrals in every coordinate system feature a unique infinitesimal volume element. Where e e is bounded by x = 4y2 + 4z2 x = 4 y 2 + 4 z 2 and x = 4 x = 4. Use cylindrical coordinates to evaluate the triple integral $$\iiint_e \sqrt{x^2+y^2}dv, $$ where $e$ is the solid bounded by the circular paraboloid.. Use Cylindrical Coordinates To Evaluate The Triple Integral Sqrt(X^2+Y^2).
From www.chegg.com
Solved Use polar coordinates to evaluate the double integral Use Cylindrical Coordinates To Evaluate The Triple Integral Sqrt(X^2+Y^2) We are told to evaluate the triple integral: Triple integrals in spherical & cylindrical coordinates. Use cylindrical coordinates to evaluate the triple integral \iiint_e \, \sqrt {x^ {2} + y^ {2}} \, dv, where e is the solid bounded by the circular paraboloid z =. Use cylindrical coordinates to evaluate the triple integral $$\iiint_e \sqrt{x^2+y^2}dv, $$ where $e$ is the. Use Cylindrical Coordinates To Evaluate The Triple Integral Sqrt(X^2+Y^2).
From www.chegg.com
Solved Use spherical coordinates to evaluate the triple Use Cylindrical Coordinates To Evaluate The Triple Integral Sqrt(X^2+Y^2) Use cylindrical coordinates to evaluate the triple integral \iiint_e \, \sqrt {x^ {2} + y^ {2}} \, dv, where e is the solid bounded by the circular paraboloid z =. Where e e is bounded by x = 4y2 + 4z2 x = 4 y 2 + 4 z 2 and x = 4 x = 4. Using triple integrals. Use Cylindrical Coordinates To Evaluate The Triple Integral Sqrt(X^2+Y^2).
From www.coursehero.com
[Solved] Use the specified substitution to find or evaluate the Use Cylindrical Coordinates To Evaluate The Triple Integral Sqrt(X^2+Y^2) Triple integrals in spherical & cylindrical coordinates. There $\rho^2=x^2+y^2+z^2$ and $dxdydz=\rho^2 \sin \phi \,\,d\rho d\theta. Where e e is bounded by x = 4y2 + 4z2 x = 4 y 2 + 4 z 2 and x = 4 x = 4. Using triple integrals in spherical coordinates, we can find the volumes of different geometric shapes like these. Triple. Use Cylindrical Coordinates To Evaluate The Triple Integral Sqrt(X^2+Y^2).
From melissadfpowell.blob.core.windows.net
Evaluate The Integral Calculator at melissadfpowell blog Use Cylindrical Coordinates To Evaluate The Triple Integral Sqrt(X^2+Y^2) ∭e zdv ∭ e z d v. Triple integrals in spherical & cylindrical coordinates. Use cylindrical coordinates to evaluate the triple integral $$\iiint_e \sqrt{x^2+y^2}dv, $$ where $e$ is the solid bounded by the circular paraboloid. Use cylindrical coordinates to evaluate the triple integral triple integral_e squareroot x^2 + y^2 dv where e is the solid bounded by the circular. The. Use Cylindrical Coordinates To Evaluate The Triple Integral Sqrt(X^2+Y^2).
From www.chegg.com
(30 points) Use cylindrical coordinates to evaluate Use Cylindrical Coordinates To Evaluate The Triple Integral Sqrt(X^2+Y^2) We are told to evaluate the triple integral: Use cylindrical coordinates to evaluate the triple integral \iiint_e \, \sqrt {x^ {2} + y^ {2}} \, dv, where e is the solid bounded by the circular paraboloid z =. The easiest way to do this is to make a switch to spherical coordinates. Where e e is bounded by x =. Use Cylindrical Coordinates To Evaluate The Triple Integral Sqrt(X^2+Y^2).
From www.numerade.com
SOLVED A space is bounded below by the first quadrant of the unit Use Cylindrical Coordinates To Evaluate The Triple Integral Sqrt(X^2+Y^2) We are told to evaluate the triple integral: To evaluate a triple integral in cylindrical coordinates, use the iterated integral \[\int_{\theta=\alpha}^{\theta=\beta} \int_{r=g_1(\theta)}^{r=g_2(\theta)} \int_{z=u_1(r,\theta)}^{u_2(r,\theta)}. Where e e is bounded by x = 4y2 + 4z2 x = 4 y 2 + 4 z 2 and x = 4 x = 4. The easiest way to do this is to make a. Use Cylindrical Coordinates To Evaluate The Triple Integral Sqrt(X^2+Y^2).
From www.chegg.com
Solved Use cylindrical coordinates to evaluate the Use Cylindrical Coordinates To Evaluate The Triple Integral Sqrt(X^2+Y^2) To evaluate a triple integral in cylindrical coordinates, use the iterated integral \[\int_{\theta=\alpha}^{\theta=\beta} \int_{r=g_1(\theta)}^{r=g_2(\theta)} \int_{z=u_1(r,\theta)}^{u_2(r,\theta)}. There $\rho^2=x^2+y^2+z^2$ and $dxdydz=\rho^2 \sin \phi \,\,d\rho d\theta. Where e e is bounded by x = 4y2 + 4z2 x = 4 y 2 + 4 z 2 and x = 4 x = 4. Triple integrals in spherical & cylindrical coordinates. ∭e zdv ∭. Use Cylindrical Coordinates To Evaluate The Triple Integral Sqrt(X^2+Y^2).
From www.youtube.com
Integral of sqrt(x) Integral example YouTube Use Cylindrical Coordinates To Evaluate The Triple Integral Sqrt(X^2+Y^2) Triple integrals in every coordinate system feature a unique infinitesimal volume element. Using triple integrals in spherical coordinates, we can find the volumes of different geometric shapes like these. To evaluate a triple integral in cylindrical coordinates, use the iterated integral \[\int_{\theta=\alpha}^{\theta=\beta} \int_{r=g_1(\theta)}^{r=g_2(\theta)} \int_{z=u_1(r,\theta)}^{u_2(r,\theta)}. We are told to evaluate the triple integral: Where e e is bounded by x =. Use Cylindrical Coordinates To Evaluate The Triple Integral Sqrt(X^2+Y^2).
From www.chegg.com
Solved (1 point) Use cylindrical coordinates to evaluate the Use Cylindrical Coordinates To Evaluate The Triple Integral Sqrt(X^2+Y^2) There $\rho^2=x^2+y^2+z^2$ and $dxdydz=\rho^2 \sin \phi \,\,d\rho d\theta. The easiest way to do this is to make a switch to spherical coordinates. To evaluate a triple integral in cylindrical coordinates, use the iterated integral \[\int_{\theta=\alpha}^{\theta=\beta} \int_{r=g_1(\theta)}^{r=g_2(\theta)} \int_{z=u_1(r,\theta)}^{u_2(r,\theta)}. We are told to evaluate the triple integral: Use cylindrical coordinates to evaluate the triple integral triple integral_e squareroot x^2 + y^2 dv. Use Cylindrical Coordinates To Evaluate The Triple Integral Sqrt(X^2+Y^2).
From www.chegg.com
Solved 1. Set up, but do not evaluate, the triple integral Use Cylindrical Coordinates To Evaluate The Triple Integral Sqrt(X^2+Y^2) Use cylindrical coordinates to evaluate the triple integral $$\iiint_e \sqrt{x^2+y^2}dv, $$ where $e$ is the solid bounded by the circular paraboloid. We are told to evaluate the triple integral: Use cylindrical coordinates to evaluate the triple integral triple integral_e squareroot x^2 + y^2 dv where e is the solid bounded by the circular. Triple integrals in every coordinate system feature. Use Cylindrical Coordinates To Evaluate The Triple Integral Sqrt(X^2+Y^2).
From www.chegg.com
Solved Use cylindrical coordinates to evaluate the triple Use Cylindrical Coordinates To Evaluate The Triple Integral Sqrt(X^2+Y^2) Where e e is bounded by x = 4y2 + 4z2 x = 4 y 2 + 4 z 2 and x = 4 x = 4. We are told to evaluate the triple integral: There $\rho^2=x^2+y^2+z^2$ and $dxdydz=\rho^2 \sin \phi \,\,d\rho d\theta. Triple integrals in spherical & cylindrical coordinates. The easiest way to do this is to make a. Use Cylindrical Coordinates To Evaluate The Triple Integral Sqrt(X^2+Y^2).
From www.youtube.com
Triple Integrals Using Cylindrical Coordinates YouTube Use Cylindrical Coordinates To Evaluate The Triple Integral Sqrt(X^2+Y^2) To evaluate a triple integral in cylindrical coordinates, use the iterated integral \[\int_{\theta=\alpha}^{\theta=\beta} \int_{r=g_1(\theta)}^{r=g_2(\theta)} \int_{z=u_1(r,\theta)}^{u_2(r,\theta)}. Use cylindrical coordinates to evaluate the triple integral \iiint_e \, \sqrt {x^ {2} + y^ {2}} \, dv, where e is the solid bounded by the circular paraboloid z =. There $\rho^2=x^2+y^2+z^2$ and $dxdydz=\rho^2 \sin \phi \,\,d\rho d\theta. Use cylindrical coordinates to evaluate the triple. Use Cylindrical Coordinates To Evaluate The Triple Integral Sqrt(X^2+Y^2).
From www.numerade.com
SOLVED Use cylindrical coordinates. evaluate (x + y + z) dv e , where Use Cylindrical Coordinates To Evaluate The Triple Integral Sqrt(X^2+Y^2) ∭e zdv ∭ e z d v. Triple integrals in spherical & cylindrical coordinates. Use cylindrical coordinates to evaluate the triple integral \iiint_e \, \sqrt {x^ {2} + y^ {2}} \, dv, where e is the solid bounded by the circular paraboloid z =. Using triple integrals in spherical coordinates, we can find the volumes of different geometric shapes like. Use Cylindrical Coordinates To Evaluate The Triple Integral Sqrt(X^2+Y^2).
From www.youtube.com
Converting triple integrals to cylindrical coordinates (KristaKingMath Use Cylindrical Coordinates To Evaluate The Triple Integral Sqrt(X^2+Y^2) Using triple integrals in spherical coordinates, we can find the volumes of different geometric shapes like these. To evaluate a triple integral in cylindrical coordinates, use the iterated integral \[\int_{\theta=\alpha}^{\theta=\beta} \int_{r=g_1(\theta)}^{r=g_2(\theta)} \int_{z=u_1(r,\theta)}^{u_2(r,\theta)}. Use cylindrical coordinates to evaluate the triple integral \iiint_e \, \sqrt {x^ {2} + y^ {2}} \, dv, where e is the solid bounded by the circular paraboloid. Use Cylindrical Coordinates To Evaluate The Triple Integral Sqrt(X^2+Y^2).