Radiation Safety Training Quiz . It is a known carcinogen. with this radiation safety quiz, you can identify what gaps in knowledge may exist within your team and close these knowledge gaps so your employees can. Radiation produces free radicals which damage your dna by breaking chemical bonds. get to know through the quizzes if you understand how you can protect yourself from radiation. study with quizlet and memorize flashcards containing terms like what is the whole body (wb) occupational dose limits for worker. exams should use techniques that are adjusted to administer the lowest radiation dose that yields image quality adequate. We have put together a series of questions all related to radiation protection so you you can see just how. with this radiation quiz, you can identify what parts of your radiation safety plan your team members can’t recall and close. time, distance and shielding.
from www.docsity.com
with this radiation safety quiz, you can identify what gaps in knowledge may exist within your team and close these knowledge gaps so your employees can. We have put together a series of questions all related to radiation protection so you you can see just how. Radiation produces free radicals which damage your dna by breaking chemical bonds. with this radiation quiz, you can identify what parts of your radiation safety plan your team members can’t recall and close. time, distance and shielding. exams should use techniques that are adjusted to administer the lowest radiation dose that yields image quality adequate. get to know through the quizzes if you understand how you can protect yourself from radiation. study with quizlet and memorize flashcards containing terms like what is the whole body (wb) occupational dose limits for worker. It is a known carcinogen.
Radiation Safety Training Quiz Exams Radiology Docsity
Radiation Safety Training Quiz get to know through the quizzes if you understand how you can protect yourself from radiation. time, distance and shielding. We have put together a series of questions all related to radiation protection so you you can see just how. get to know through the quizzes if you understand how you can protect yourself from radiation. It is a known carcinogen. exams should use techniques that are adjusted to administer the lowest radiation dose that yields image quality adequate. with this radiation quiz, you can identify what parts of your radiation safety plan your team members can’t recall and close. study with quizlet and memorize flashcards containing terms like what is the whole body (wb) occupational dose limits for worker. Radiation produces free radicals which damage your dna by breaking chemical bonds. with this radiation safety quiz, you can identify what gaps in knowledge may exist within your team and close these knowledge gaps so your employees can.
From www.slideserve.com
PPT Radiation Safety Training Annual Refresher Training PowerPoint Radiation Safety Training Quiz We have put together a series of questions all related to radiation protection so you you can see just how. get to know through the quizzes if you understand how you can protect yourself from radiation. It is a known carcinogen. with this radiation quiz, you can identify what parts of your radiation safety plan your team members. Radiation Safety Training Quiz.
From www.scribd.com
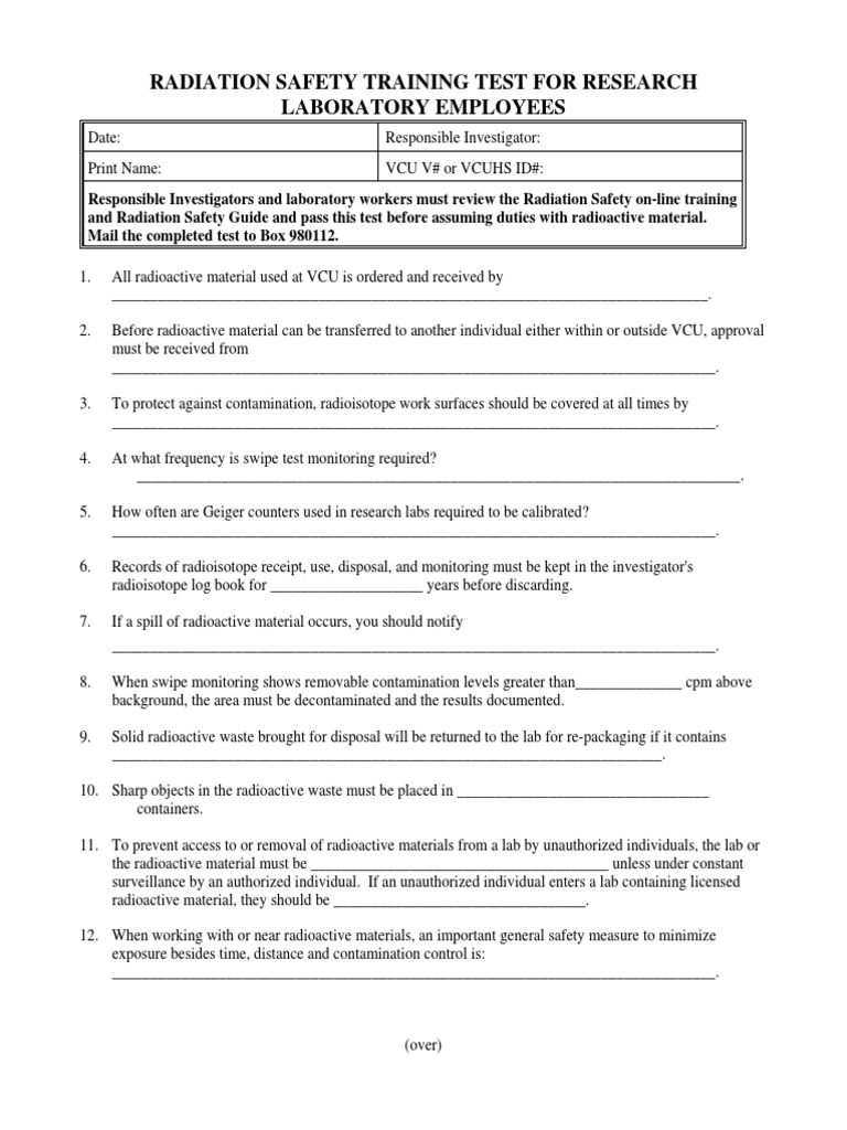
Radiation Safety Training Test Research Radiation Safety Training Quiz with this radiation safety quiz, you can identify what gaps in knowledge may exist within your team and close these knowledge gaps so your employees can. It is a known carcinogen. We have put together a series of questions all related to radiation protection so you you can see just how. time, distance and shielding. study with. Radiation Safety Training Quiz.
From www.docsity.com
50 Question Radiation Safety Practice ExaminationPhysicsHandout Radiation Safety Training Quiz exams should use techniques that are adjusted to administer the lowest radiation dose that yields image quality adequate. It is a known carcinogen. We have put together a series of questions all related to radiation protection so you you can see just how. Radiation produces free radicals which damage your dna by breaking chemical bonds. with this radiation. Radiation Safety Training Quiz.
From browsegrades.net
Radiation Protection and Radiobiology Test Questions and Answers Radiation Safety Training Quiz We have put together a series of questions all related to radiation protection so you you can see just how. with this radiation quiz, you can identify what parts of your radiation safety plan your team members can’t recall and close. get to know through the quizzes if you understand how you can protect yourself from radiation. . Radiation Safety Training Quiz.
From www.ehs.washington.edu
New online Radiation Safety training EHS Radiation Safety Training Quiz It is a known carcinogen. with this radiation safety quiz, you can identify what gaps in knowledge may exist within your team and close these knowledge gaps so your employees can. Radiation produces free radicals which damage your dna by breaking chemical bonds. get to know through the quizzes if you understand how you can protect yourself from. Radiation Safety Training Quiz.
From slideplayer.com
ANNUAL RADIATION SAFETY TRAINING ppt download Radiation Safety Training Quiz study with quizlet and memorize flashcards containing terms like what is the whole body (wb) occupational dose limits for worker. with this radiation quiz, you can identify what parts of your radiation safety plan your team members can’t recall and close. with this radiation safety quiz, you can identify what gaps in knowledge may exist within your. Radiation Safety Training Quiz.
From thepresentation.ru
Radiation safety training Radiation Safety Training Quiz time, distance and shielding. study with quizlet and memorize flashcards containing terms like what is the whole body (wb) occupational dose limits for worker. with this radiation quiz, you can identify what parts of your radiation safety plan your team members can’t recall and close. We have put together a series of questions all related to radiation. Radiation Safety Training Quiz.
From www.todaysrdh.com
QUIZ Test Your Radiation Safety Knowledge Today's RDH Radiation Safety Training Quiz get to know through the quizzes if you understand how you can protect yourself from radiation. exams should use techniques that are adjusted to administer the lowest radiation dose that yields image quality adequate. We have put together a series of questions all related to radiation protection so you you can see just how. Radiation produces free radicals. Radiation Safety Training Quiz.
From www.studypool.com
SOLUTION Ndt radiation safety training test latest update Studypool Radiation Safety Training Quiz We have put together a series of questions all related to radiation protection so you you can see just how. with this radiation safety quiz, you can identify what gaps in knowledge may exist within your team and close these knowledge gaps so your employees can. It is a known carcinogen. study with quizlet and memorize flashcards containing. Radiation Safety Training Quiz.
From www.slideserve.com
PPT Annual Radiation Safety Training PowerPoint Presentation, free Radiation Safety Training Quiz study with quizlet and memorize flashcards containing terms like what is the whole body (wb) occupational dose limits for worker. It is a known carcinogen. Radiation produces free radicals which damage your dna by breaking chemical bonds. with this radiation quiz, you can identify what parts of your radiation safety plan your team members can’t recall and close.. Radiation Safety Training Quiz.
From www.blockimaging.com
Radiation Safety Training Online Course Radiation Safety Training Quiz exams should use techniques that are adjusted to administer the lowest radiation dose that yields image quality adequate. with this radiation quiz, you can identify what parts of your radiation safety plan your team members can’t recall and close. with this radiation safety quiz, you can identify what gaps in knowledge may exist within your team and. Radiation Safety Training Quiz.
From studyfinder.org
Master Fluoroscopy Radiation Safety Training Landauer Quiz Answers Radiation Safety Training Quiz Radiation produces free radicals which damage your dna by breaking chemical bonds. time, distance and shielding. with this radiation quiz, you can identify what parts of your radiation safety plan your team members can’t recall and close. get to know through the quizzes if you understand how you can protect yourself from radiation. study with quizlet. Radiation Safety Training Quiz.
From compliancelearningsolutions.com
General Radiation Safety Training Course Compliance Learning Solutions Radiation Safety Training Quiz We have put together a series of questions all related to radiation protection so you you can see just how. with this radiation quiz, you can identify what parts of your radiation safety plan your team members can’t recall and close. get to know through the quizzes if you understand how you can protect yourself from radiation. . Radiation Safety Training Quiz.
From www.slideserve.com
PPT Basic Radiation Safety Awareness Training PowerPoint Presentation Radiation Safety Training Quiz time, distance and shielding. We have put together a series of questions all related to radiation protection so you you can see just how. get to know through the quizzes if you understand how you can protect yourself from radiation. with this radiation quiz, you can identify what parts of your radiation safety plan your team members. Radiation Safety Training Quiz.
From www.docsity.com
Radiation Safety Training Quiz Exams Radiology Docsity Radiation Safety Training Quiz with this radiation safety quiz, you can identify what gaps in knowledge may exist within your team and close these knowledge gaps so your employees can. get to know through the quizzes if you understand how you can protect yourself from radiation. Radiation produces free radicals which damage your dna by breaking chemical bonds. time, distance and. Radiation Safety Training Quiz.
From study.com
Quiz & Worksheet Radiation Safety for Veterinary Staff Radiation Safety Training Quiz study with quizlet and memorize flashcards containing terms like what is the whole body (wb) occupational dose limits for worker. Radiation produces free radicals which damage your dna by breaking chemical bonds. It is a known carcinogen. get to know through the quizzes if you understand how you can protect yourself from radiation. with this radiation quiz,. Radiation Safety Training Quiz.
From www.slideserve.com
PPT Radiation Safety Training PowerPoint Presentation, free download Radiation Safety Training Quiz with this radiation safety quiz, you can identify what gaps in knowledge may exist within your team and close these knowledge gaps so your employees can. get to know through the quizzes if you understand how you can protect yourself from radiation. time, distance and shielding. We have put together a series of questions all related to. Radiation Safety Training Quiz.
From www.slideserve.com
PPT Radiation Safety Training PowerPoint Presentation, free download Radiation Safety Training Quiz time, distance and shielding. with this radiation quiz, you can identify what parts of your radiation safety plan your team members can’t recall and close. We have put together a series of questions all related to radiation protection so you you can see just how. It is a known carcinogen. exams should use techniques that are adjusted. Radiation Safety Training Quiz.
From quizlet.com
1313 Principles of Radiation Protection Diagram Quizlet Radiation Safety Training Quiz get to know through the quizzes if you understand how you can protect yourself from radiation. It is a known carcinogen. time, distance and shielding. with this radiation quiz, you can identify what parts of your radiation safety plan your team members can’t recall and close. with this radiation safety quiz, you can identify what gaps. Radiation Safety Training Quiz.
From fr.slideserve.com
PPT Radiation Safety Refresher Training Course PowerPoint Radiation Safety Training Quiz study with quizlet and memorize flashcards containing terms like what is the whole body (wb) occupational dose limits for worker. Radiation produces free radicals which damage your dna by breaking chemical bonds. exams should use techniques that are adjusted to administer the lowest radiation dose that yields image quality adequate. It is a known carcinogen. time, distance. Radiation Safety Training Quiz.
From www.scribd.com
Quiz Radiation Safety OnLine PDF Ionizing Radiation Radiation Radiation Safety Training Quiz Radiation produces free radicals which damage your dna by breaking chemical bonds. with this radiation safety quiz, you can identify what gaps in knowledge may exist within your team and close these knowledge gaps so your employees can. get to know through the quizzes if you understand how you can protect yourself from radiation. with this radiation. Radiation Safety Training Quiz.
From www.slideserve.com
PPT Radiation Safety Training PowerPoint Presentation, free download Radiation Safety Training Quiz We have put together a series of questions all related to radiation protection so you you can see just how. Radiation produces free radicals which damage your dna by breaking chemical bonds. exams should use techniques that are adjusted to administer the lowest radiation dose that yields image quality adequate. study with quizlet and memorize flashcards containing terms. Radiation Safety Training Quiz.
From slidetodoc.com
Radiation Safety Training Presented by Geoff Mason Training Radiation Safety Training Quiz We have put together a series of questions all related to radiation protection so you you can see just how. exams should use techniques that are adjusted to administer the lowest radiation dose that yields image quality adequate. time, distance and shielding. with this radiation safety quiz, you can identify what gaps in knowledge may exist within. Radiation Safety Training Quiz.
From studyfinder.org
Master Fluoroscopy Radiation Safety Training Landauer Quiz Answers Radiation Safety Training Quiz with this radiation safety quiz, you can identify what gaps in knowledge may exist within your team and close these knowledge gaps so your employees can. with this radiation quiz, you can identify what parts of your radiation safety plan your team members can’t recall and close. exams should use techniques that are adjusted to administer the. Radiation Safety Training Quiz.
From www.snapdeal.com
Radiation Safety Procedures and Training for the Radiation Safety Radiation Safety Training Quiz We have put together a series of questions all related to radiation protection so you you can see just how. get to know through the quizzes if you understand how you can protect yourself from radiation. It is a known carcinogen. with this radiation safety quiz, you can identify what gaps in knowledge may exist within your team. Radiation Safety Training Quiz.
From www.slideserve.com
PPT Radiation Safety Training PowerPoint Presentation, free download Radiation Safety Training Quiz time, distance and shielding. get to know through the quizzes if you understand how you can protect yourself from radiation. exams should use techniques that are adjusted to administer the lowest radiation dose that yields image quality adequate. with this radiation quiz, you can identify what parts of your radiation safety plan your team members can’t. Radiation Safety Training Quiz.
From www.slideshare.net
Radiation safety class Radiation Safety Training Quiz get to know through the quizzes if you understand how you can protect yourself from radiation. study with quizlet and memorize flashcards containing terms like what is the whole body (wb) occupational dose limits for worker. It is a known carcinogen. time, distance and shielding. with this radiation safety quiz, you can identify what gaps in. Radiation Safety Training Quiz.
From www.blockimaging.com
Radiation Safety Training Online Course Radiation Safety Training Quiz with this radiation quiz, you can identify what parts of your radiation safety plan your team members can’t recall and close. We have put together a series of questions all related to radiation protection so you you can see just how. with this radiation safety quiz, you can identify what gaps in knowledge may exist within your team. Radiation Safety Training Quiz.
From www.slideserve.com
PPT Annual Radiation Safety Training PowerPoint Presentation, free Radiation Safety Training Quiz exams should use techniques that are adjusted to administer the lowest radiation dose that yields image quality adequate. We have put together a series of questions all related to radiation protection so you you can see just how. It is a known carcinogen. Radiation produces free radicals which damage your dna by breaking chemical bonds. with this radiation. Radiation Safety Training Quiz.
From www.stuvia.com
LANDAUER RADIATION SAFETY TRAINING TEST 2023 LANDAUER RADIATION Radiation Safety Training Quiz with this radiation safety quiz, you can identify what gaps in knowledge may exist within your team and close these knowledge gaps so your employees can. get to know through the quizzes if you understand how you can protect yourself from radiation. It is a known carcinogen. with this radiation quiz, you can identify what parts of. Radiation Safety Training Quiz.
From www.scribd.com
Radiation Safety Quiz PDF Radiography Radiation Protection Radiation Safety Training Quiz exams should use techniques that are adjusted to administer the lowest radiation dose that yields image quality adequate. We have put together a series of questions all related to radiation protection so you you can see just how. with this radiation quiz, you can identify what parts of your radiation safety plan your team members can’t recall and. Radiation Safety Training Quiz.
From studylib.net
Radiation Fundamentals Radiation Safety Training Module 1 Radiation Safety Training Quiz time, distance and shielding. with this radiation safety quiz, you can identify what gaps in knowledge may exist within your team and close these knowledge gaps so your employees can. get to know through the quizzes if you understand how you can protect yourself from radiation. We have put together a series of questions all related to. Radiation Safety Training Quiz.
From studyfinder.org
Master Fluoroscopy Radiation Safety Training Landauer Quiz Answers Radiation Safety Training Quiz It is a known carcinogen. study with quizlet and memorize flashcards containing terms like what is the whole body (wb) occupational dose limits for worker. exams should use techniques that are adjusted to administer the lowest radiation dose that yields image quality adequate. We have put together a series of questions all related to radiation protection so you. Radiation Safety Training Quiz.
From www.slideserve.com
PPT USF Annual Refresher Radiation Safety Training PowerPoint Radiation Safety Training Quiz time, distance and shielding. with this radiation safety quiz, you can identify what gaps in knowledge may exist within your team and close these knowledge gaps so your employees can. get to know through the quizzes if you understand how you can protect yourself from radiation. study with quizlet and memorize flashcards containing terms like what. Radiation Safety Training Quiz.
From petronelearningacademy.com
Petrone Associates General Radiation Safety Training Radiation Safety Training Quiz get to know through the quizzes if you understand how you can protect yourself from radiation. with this radiation safety quiz, you can identify what gaps in knowledge may exist within your team and close these knowledge gaps so your employees can. Radiation produces free radicals which damage your dna by breaking chemical bonds. with this radiation. Radiation Safety Training Quiz.