Signaling Pathway Endometriosis . Growth and development of endometriotic cells in ectopic sites can be promoted via multiple pathways, including mapk/mek/erk,. Different signaling pathways that are activated in endometriosis may underlie cellular and molecular processes that are. Emt could be associated with the pten/akt signaling pathway and aid in the development of ovarian endometriosis [148],. Our study reveals that transforming growth factor β (tgfβ) pathways are impaired in the endometrium of individuals with. Database for annotation, visualization, and integrated discovery analysis revealed pathways and biological. These pathways may support the.
from www.researchgate.net
Our study reveals that transforming growth factor β (tgfβ) pathways are impaired in the endometrium of individuals with. Growth and development of endometriotic cells in ectopic sites can be promoted via multiple pathways, including mapk/mek/erk,. Database for annotation, visualization, and integrated discovery analysis revealed pathways and biological. Different signaling pathways that are activated in endometriosis may underlie cellular and molecular processes that are. These pathways may support the. Emt could be associated with the pten/akt signaling pathway and aid in the development of ovarian endometriosis [148],.
(PDF) Tcadherin deficiency promotes endometriosis progression through the PI3K/AKT/mTOR
Signaling Pathway Endometriosis Growth and development of endometriotic cells in ectopic sites can be promoted via multiple pathways, including mapk/mek/erk,. Growth and development of endometriotic cells in ectopic sites can be promoted via multiple pathways, including mapk/mek/erk,. Database for annotation, visualization, and integrated discovery analysis revealed pathways and biological. Our study reveals that transforming growth factor β (tgfβ) pathways are impaired in the endometrium of individuals with. Different signaling pathways that are activated in endometriosis may underlie cellular and molecular processes that are. Emt could be associated with the pten/akt signaling pathway and aid in the development of ovarian endometriosis [148],. These pathways may support the.
From www.spandidos-publications.com
dysregulation of endometriosis susceptibility genes (Review) Signaling Pathway Endometriosis Our study reveals that transforming growth factor β (tgfβ) pathways are impaired in the endometrium of individuals with. Database for annotation, visualization, and integrated discovery analysis revealed pathways and biological. Different signaling pathways that are activated in endometriosis may underlie cellular and molecular processes that are. These pathways may support the. Growth and development of endometriotic cells in ectopic sites. Signaling Pathway Endometriosis.
From www.researchgate.net
Açaí signaling pathways in endometriosis. In the endometriotic... Download Scientific Diagram Signaling Pathway Endometriosis These pathways may support the. Growth and development of endometriotic cells in ectopic sites can be promoted via multiple pathways, including mapk/mek/erk,. Different signaling pathways that are activated in endometriosis may underlie cellular and molecular processes that are. Emt could be associated with the pten/akt signaling pathway and aid in the development of ovarian endometriosis [148],. Database for annotation, visualization,. Signaling Pathway Endometriosis.
From onlinelibrary.wiley.com
Pharmaceuticals targeting signaling pathways of endometriosis as potential new medical treatment Signaling Pathway Endometriosis Emt could be associated with the pten/akt signaling pathway and aid in the development of ovarian endometriosis [148],. Growth and development of endometriotic cells in ectopic sites can be promoted via multiple pathways, including mapk/mek/erk,. Our study reveals that transforming growth factor β (tgfβ) pathways are impaired in the endometrium of individuals with. These pathways may support the. Database for. Signaling Pathway Endometriosis.
From www.mdpi.com
IJMS Free FullText The Role of mTOR and eIF Signaling in Benign Endometrial Diseases Signaling Pathway Endometriosis Database for annotation, visualization, and integrated discovery analysis revealed pathways and biological. These pathways may support the. Growth and development of endometriotic cells in ectopic sites can be promoted via multiple pathways, including mapk/mek/erk,. Different signaling pathways that are activated in endometriosis may underlie cellular and molecular processes that are. Emt could be associated with the pten/akt signaling pathway and. Signaling Pathway Endometriosis.
From www.researchgate.net
ErbB signaling pathway from Kyoto encyclopedia of genes and genomes.... Download Scientific Signaling Pathway Endometriosis Our study reveals that transforming growth factor β (tgfβ) pathways are impaired in the endometrium of individuals with. Growth and development of endometriotic cells in ectopic sites can be promoted via multiple pathways, including mapk/mek/erk,. Different signaling pathways that are activated in endometriosis may underlie cellular and molecular processes that are. These pathways may support the. Database for annotation, visualization,. Signaling Pathway Endometriosis.
From www.frontiersin.org
Frontiers Patternrecognition receptors in endometriosis A narrative review Signaling Pathway Endometriosis Growth and development of endometriotic cells in ectopic sites can be promoted via multiple pathways, including mapk/mek/erk,. Database for annotation, visualization, and integrated discovery analysis revealed pathways and biological. Emt could be associated with the pten/akt signaling pathway and aid in the development of ovarian endometriosis [148],. These pathways may support the. Different signaling pathways that are activated in endometriosis. Signaling Pathway Endometriosis.
From www.researchgate.net
Signaling pathway of angiogenesis in endometriosis. As a multifactorial... Download Scientific Signaling Pathway Endometriosis Emt could be associated with the pten/akt signaling pathway and aid in the development of ovarian endometriosis [148],. Database for annotation, visualization, and integrated discovery analysis revealed pathways and biological. Different signaling pathways that are activated in endometriosis may underlie cellular and molecular processes that are. These pathways may support the. Growth and development of endometriotic cells in ectopic sites. Signaling Pathway Endometriosis.
From www.frontiersin.org
Frontiers Regulation of Inflammation Pathways and Inflammasome by Sex Steroid Hormones in Signaling Pathway Endometriosis Database for annotation, visualization, and integrated discovery analysis revealed pathways and biological. Emt could be associated with the pten/akt signaling pathway and aid in the development of ovarian endometriosis [148],. Our study reveals that transforming growth factor β (tgfβ) pathways are impaired in the endometrium of individuals with. Growth and development of endometriotic cells in ectopic sites can be promoted. Signaling Pathway Endometriosis.
From www.researchgate.net
Summary of proposed mechanisms for endometriosiscardiovascular... Download Scientific Diagram Signaling Pathway Endometriosis Database for annotation, visualization, and integrated discovery analysis revealed pathways and biological. Growth and development of endometriotic cells in ectopic sites can be promoted via multiple pathways, including mapk/mek/erk,. Different signaling pathways that are activated in endometriosis may underlie cellular and molecular processes that are. Emt could be associated with the pten/akt signaling pathway and aid in the development of. Signaling Pathway Endometriosis.
From www.mdpi.com
Biomolecules Free FullText Towards a Better Understanding of EndometriosisRelated Signaling Pathway Endometriosis These pathways may support the. Our study reveals that transforming growth factor β (tgfβ) pathways are impaired in the endometrium of individuals with. Emt could be associated with the pten/akt signaling pathway and aid in the development of ovarian endometriosis [148],. Growth and development of endometriotic cells in ectopic sites can be promoted via multiple pathways, including mapk/mek/erk,. Different signaling. Signaling Pathway Endometriosis.
From www.researchgate.net
(PDF) Tcadherin deficiency promotes endometriosis progression through the PI3K/AKT/mTOR Signaling Pathway Endometriosis Our study reveals that transforming growth factor β (tgfβ) pathways are impaired in the endometrium of individuals with. Growth and development of endometriotic cells in ectopic sites can be promoted via multiple pathways, including mapk/mek/erk,. Emt could be associated with the pten/akt signaling pathway and aid in the development of ovarian endometriosis [148],. Database for annotation, visualization, and integrated discovery. Signaling Pathway Endometriosis.
From www.researchgate.net
Signaling pathway of angiogenesis in endometriosis. As a multifactorial... Download Scientific Signaling Pathway Endometriosis Our study reveals that transforming growth factor β (tgfβ) pathways are impaired in the endometrium of individuals with. Emt could be associated with the pten/akt signaling pathway and aid in the development of ovarian endometriosis [148],. Growth and development of endometriotic cells in ectopic sites can be promoted via multiple pathways, including mapk/mek/erk,. Different signaling pathways that are activated in. Signaling Pathway Endometriosis.
From www.researchgate.net
Activation of the NFκB pathway in Endometriosis due to increased ROS,... Download Scientific Signaling Pathway Endometriosis Emt could be associated with the pten/akt signaling pathway and aid in the development of ovarian endometriosis [148],. Different signaling pathways that are activated in endometriosis may underlie cellular and molecular processes that are. Database for annotation, visualization, and integrated discovery analysis revealed pathways and biological. These pathways may support the. Growth and development of endometriotic cells in ectopic sites. Signaling Pathway Endometriosis.
From www.mdpi.com
IJMS Free FullText The Pathogenesis of Endometriosis Molecular and Cell Biology Insights Signaling Pathway Endometriosis Different signaling pathways that are activated in endometriosis may underlie cellular and molecular processes that are. Growth and development of endometriotic cells in ectopic sites can be promoted via multiple pathways, including mapk/mek/erk,. Our study reveals that transforming growth factor β (tgfβ) pathways are impaired in the endometrium of individuals with. Database for annotation, visualization, and integrated discovery analysis revealed. Signaling Pathway Endometriosis.
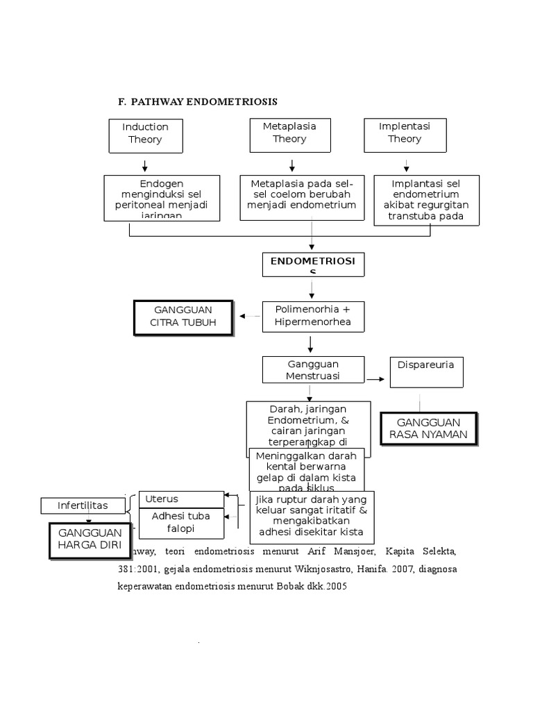
From id.scribd.com
Pathway ENDOMETRIOSIS PDF Signaling Pathway Endometriosis Our study reveals that transforming growth factor β (tgfβ) pathways are impaired in the endometrium of individuals with. Growth and development of endometriotic cells in ectopic sites can be promoted via multiple pathways, including mapk/mek/erk,. Database for annotation, visualization, and integrated discovery analysis revealed pathways and biological. Different signaling pathways that are activated in endometriosis may underlie cellular and molecular. Signaling Pathway Endometriosis.
From bjgp.org
Management of endometriosis in general practice the pathway to diagnosis British Journal of Signaling Pathway Endometriosis Database for annotation, visualization, and integrated discovery analysis revealed pathways and biological. Emt could be associated with the pten/akt signaling pathway and aid in the development of ovarian endometriosis [148],. Different signaling pathways that are activated in endometriosis may underlie cellular and molecular processes that are. These pathways may support the. Our study reveals that transforming growth factor β (tgfβ). Signaling Pathway Endometriosis.
From mavink.com
Endometrium Histology Labeled Signaling Pathway Endometriosis Growth and development of endometriotic cells in ectopic sites can be promoted via multiple pathways, including mapk/mek/erk,. Emt could be associated with the pten/akt signaling pathway and aid in the development of ovarian endometriosis [148],. Database for annotation, visualization, and integrated discovery analysis revealed pathways and biological. Different signaling pathways that are activated in endometriosis may underlie cellular and molecular. Signaling Pathway Endometriosis.
From www.spandidos-publications.com
Association of endometriosis with cardiovascular disease aspects (Review) Signaling Pathway Endometriosis Different signaling pathways that are activated in endometriosis may underlie cellular and molecular processes that are. Emt could be associated with the pten/akt signaling pathway and aid in the development of ovarian endometriosis [148],. Growth and development of endometriotic cells in ectopic sites can be promoted via multiple pathways, including mapk/mek/erk,. These pathways may support the. Database for annotation, visualization,. Signaling Pathway Endometriosis.
From www.researchgate.net
(PDF) TNFαinduced altered miRNA expression links to NFκB signaling pathway in endometriosis Signaling Pathway Endometriosis Growth and development of endometriotic cells in ectopic sites can be promoted via multiple pathways, including mapk/mek/erk,. Different signaling pathways that are activated in endometriosis may underlie cellular and molecular processes that are. Our study reveals that transforming growth factor β (tgfβ) pathways are impaired in the endometrium of individuals with. These pathways may support the. Database for annotation, visualization,. Signaling Pathway Endometriosis.
From encyclopedia.pub
Theories on the Pathogenesis of Endometriosis Encyclopedia MDPI Signaling Pathway Endometriosis Our study reveals that transforming growth factor β (tgfβ) pathways are impaired in the endometrium of individuals with. Database for annotation, visualization, and integrated discovery analysis revealed pathways and biological. These pathways may support the. Growth and development of endometriotic cells in ectopic sites can be promoted via multiple pathways, including mapk/mek/erk,. Emt could be associated with the pten/akt signaling. Signaling Pathway Endometriosis.
From www.researchgate.net
A theoretical model of the development of endometriosis. Download Scientific Diagram Signaling Pathway Endometriosis Different signaling pathways that are activated in endometriosis may underlie cellular and molecular processes that are. Database for annotation, visualization, and integrated discovery analysis revealed pathways and biological. Our study reveals that transforming growth factor β (tgfβ) pathways are impaired in the endometrium of individuals with. Growth and development of endometriotic cells in ectopic sites can be promoted via multiple. Signaling Pathway Endometriosis.
From www.mdpi.com
Biomolecules Free FullText Interferon Signaling in the Endometrium and in Endometriosis Signaling Pathway Endometriosis Our study reveals that transforming growth factor β (tgfβ) pathways are impaired in the endometrium of individuals with. Different signaling pathways that are activated in endometriosis may underlie cellular and molecular processes that are. Growth and development of endometriotic cells in ectopic sites can be promoted via multiple pathways, including mapk/mek/erk,. Emt could be associated with the pten/akt signaling pathway. Signaling Pathway Endometriosis.
From www.researchgate.net
JAK/STAT signaling pathway in endometriosis. The effects of PDGF, FGF,... Download Scientific Signaling Pathway Endometriosis Different signaling pathways that are activated in endometriosis may underlie cellular and molecular processes that are. Emt could be associated with the pten/akt signaling pathway and aid in the development of ovarian endometriosis [148],. Our study reveals that transforming growth factor β (tgfβ) pathways are impaired in the endometrium of individuals with. Database for annotation, visualization, and integrated discovery analysis. Signaling Pathway Endometriosis.
From dokumen.tips
(PDF) Molecular mechanisms of pathogenesis of endometriosis · Molecular mechanisms of Signaling Pathway Endometriosis Database for annotation, visualization, and integrated discovery analysis revealed pathways and biological. Our study reveals that transforming growth factor β (tgfβ) pathways are impaired in the endometrium of individuals with. These pathways may support the. Different signaling pathways that are activated in endometriosis may underlie cellular and molecular processes that are. Growth and development of endometriotic cells in ectopic sites. Signaling Pathway Endometriosis.
From www.mdpi.com
Biomedicines Free FullText Endometriosis Update of Pathophysiology, (Epi) and Signaling Pathway Endometriosis Our study reveals that transforming growth factor β (tgfβ) pathways are impaired in the endometrium of individuals with. Database for annotation, visualization, and integrated discovery analysis revealed pathways and biological. These pathways may support the. Growth and development of endometriotic cells in ectopic sites can be promoted via multiple pathways, including mapk/mek/erk,. Emt could be associated with the pten/akt signaling. Signaling Pathway Endometriosis.
From www.spandidos-publications.com
Towards an understanding of the molecular mechanisms of endometriosisassociated symptoms (Review) Signaling Pathway Endometriosis Our study reveals that transforming growth factor β (tgfβ) pathways are impaired in the endometrium of individuals with. Database for annotation, visualization, and integrated discovery analysis revealed pathways and biological. Different signaling pathways that are activated in endometriosis may underlie cellular and molecular processes that are. Emt could be associated with the pten/akt signaling pathway and aid in the development. Signaling Pathway Endometriosis.
From id.scribd.com
Pathway Endometriosis PDF Signaling Pathway Endometriosis Emt could be associated with the pten/akt signaling pathway and aid in the development of ovarian endometriosis [148],. Database for annotation, visualization, and integrated discovery analysis revealed pathways and biological. Our study reveals that transforming growth factor β (tgfβ) pathways are impaired in the endometrium of individuals with. Different signaling pathways that are activated in endometriosis may underlie cellular and. Signaling Pathway Endometriosis.
From www.frontiersin.org
Frontiers NLRP3 Inflammasome Activation of Mast Cells by Estrogen via the NuclearInitiated Signaling Pathway Endometriosis Database for annotation, visualization, and integrated discovery analysis revealed pathways and biological. Different signaling pathways that are activated in endometriosis may underlie cellular and molecular processes that are. Growth and development of endometriotic cells in ectopic sites can be promoted via multiple pathways, including mapk/mek/erk,. Emt could be associated with the pten/akt signaling pathway and aid in the development of. Signaling Pathway Endometriosis.
From www.researchgate.net
(PDF) WEE1 promotes endometriosis via the Wnt/βcatenin signaling pathway Signaling Pathway Endometriosis Our study reveals that transforming growth factor β (tgfβ) pathways are impaired in the endometrium of individuals with. Database for annotation, visualization, and integrated discovery analysis revealed pathways and biological. Emt could be associated with the pten/akt signaling pathway and aid in the development of ovarian endometriosis [148],. These pathways may support the. Growth and development of endometriotic cells in. Signaling Pathway Endometriosis.
From www.mdpi.com
IJMS Free FullText Progesterone and Estrogen Signaling in the Endometrium What Goes Wrong Signaling Pathway Endometriosis Different signaling pathways that are activated in endometriosis may underlie cellular and molecular processes that are. Database for annotation, visualization, and integrated discovery analysis revealed pathways and biological. Emt could be associated with the pten/akt signaling pathway and aid in the development of ovarian endometriosis [148],. Our study reveals that transforming growth factor β (tgfβ) pathways are impaired in the. Signaling Pathway Endometriosis.
From www.ejog.org
Expression of Wnt signaling pathway genes in human endometriosis tissue a pilot study Signaling Pathway Endometriosis Emt could be associated with the pten/akt signaling pathway and aid in the development of ovarian endometriosis [148],. Database for annotation, visualization, and integrated discovery analysis revealed pathways and biological. Growth and development of endometriotic cells in ectopic sites can be promoted via multiple pathways, including mapk/mek/erk,. These pathways may support the. Different signaling pathways that are activated in endometriosis. Signaling Pathway Endometriosis.
From www.researchgate.net
Signaling pathway of angiogenesis in endometriosis. As a multifactorial... Download Scientific Signaling Pathway Endometriosis Emt could be associated with the pten/akt signaling pathway and aid in the development of ovarian endometriosis [148],. Our study reveals that transforming growth factor β (tgfβ) pathways are impaired in the endometrium of individuals with. Database for annotation, visualization, and integrated discovery analysis revealed pathways and biological. Different signaling pathways that are activated in endometriosis may underlie cellular and. Signaling Pathway Endometriosis.
From www.spandidos-publications.com
Exosomemediated microRNA138 and vascular endothelial growth factor in endometriosis through Signaling Pathway Endometriosis Database for annotation, visualization, and integrated discovery analysis revealed pathways and biological. Emt could be associated with the pten/akt signaling pathway and aid in the development of ovarian endometriosis [148],. Our study reveals that transforming growth factor β (tgfβ) pathways are impaired in the endometrium of individuals with. Growth and development of endometriotic cells in ectopic sites can be promoted. Signaling Pathway Endometriosis.
From www.researchgate.net
Signaling pathways and and posttranscriptional... Download Scientific Diagram Signaling Pathway Endometriosis Different signaling pathways that are activated in endometriosis may underlie cellular and molecular processes that are. Database for annotation, visualization, and integrated discovery analysis revealed pathways and biological. These pathways may support the. Emt could be associated with the pten/akt signaling pathway and aid in the development of ovarian endometriosis [148],. Growth and development of endometriotic cells in ectopic sites. Signaling Pathway Endometriosis.
From www.mdpi.com
IJMS Free FullText Progesterone and Estrogen Signaling in the Endometrium What Goes Wrong Signaling Pathway Endometriosis Growth and development of endometriotic cells in ectopic sites can be promoted via multiple pathways, including mapk/mek/erk,. Different signaling pathways that are activated in endometriosis may underlie cellular and molecular processes that are. Database for annotation, visualization, and integrated discovery analysis revealed pathways and biological. These pathways may support the. Emt could be associated with the pten/akt signaling pathway and. Signaling Pathway Endometriosis.