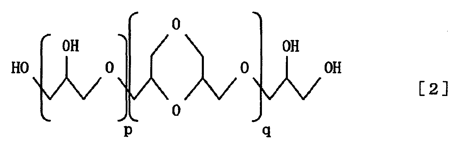
Fatty Acid Ester Of Polyglycerol . Synonyms polyglycerol fatty acid esters, glycerin fatty acid esters; As initial substrates in polyglycerol ester synthesis, we used fatty acid methyl esters (fame) received from individual fatty acids. Polyglycerol esters of fatty acids are produced by the esterification of polyglycerol with food fats and oils or with fatty acids. 475 definition mixed partial esters formed by reacting. Highly refined polyglycerol esters of fatty acids are applied to foods broadly. This study investigates the impact of various chain lengths of hydrophilic polyglycerol fatty acid esters (hpges), namely. I described two examples of the application.
from www.cnchemsino.com
475 definition mixed partial esters formed by reacting. I described two examples of the application. Synonyms polyglycerol fatty acid esters, glycerin fatty acid esters; This study investigates the impact of various chain lengths of hydrophilic polyglycerol fatty acid esters (hpges), namely. Highly refined polyglycerol esters of fatty acids are applied to foods broadly. As initial substrates in polyglycerol ester synthesis, we used fatty acid methyl esters (fame) received from individual fatty acids. Polyglycerol esters of fatty acids are produced by the esterification of polyglycerol with food fats and oils or with fatty acids.
polyglycerol esters of fatty acids;丨e475 food additive emulsifier for
Fatty Acid Ester Of Polyglycerol This study investigates the impact of various chain lengths of hydrophilic polyglycerol fatty acid esters (hpges), namely. Highly refined polyglycerol esters of fatty acids are applied to foods broadly. This study investigates the impact of various chain lengths of hydrophilic polyglycerol fatty acid esters (hpges), namely. Synonyms polyglycerol fatty acid esters, glycerin fatty acid esters; 475 definition mixed partial esters formed by reacting. As initial substrates in polyglycerol ester synthesis, we used fatty acid methyl esters (fame) received from individual fatty acids. I described two examples of the application. Polyglycerol esters of fatty acids are produced by the esterification of polyglycerol with food fats and oils or with fatty acids.
From www.cnchemsino.com
polyglycerol esters of fatty acids;丨e475 food additive emulsifier for Fatty Acid Ester Of Polyglycerol Polyglycerol esters of fatty acids are produced by the esterification of polyglycerol with food fats and oils or with fatty acids. 475 definition mixed partial esters formed by reacting. I described two examples of the application. Synonyms polyglycerol fatty acid esters, glycerin fatty acid esters; Highly refined polyglycerol esters of fatty acids are applied to foods broadly. This study investigates. Fatty Acid Ester Of Polyglycerol.
From brilliantchemi.en.made-in-china.com
Food Additive Emulsifying Agents CAS 67784821 98 Polyglycerol Ester Fatty Acid Ester Of Polyglycerol Polyglycerol esters of fatty acids are produced by the esterification of polyglycerol with food fats and oils or with fatty acids. This study investigates the impact of various chain lengths of hydrophilic polyglycerol fatty acid esters (hpges), namely. I described two examples of the application. Synonyms polyglycerol fatty acid esters, glycerin fatty acid esters; 475 definition mixed partial esters formed. Fatty Acid Ester Of Polyglycerol.
From gengyangchem.en.made-in-china.com
Make Better Taste for Food as Emulsifier Polyglycerol Ester of Fatty Fatty Acid Ester Of Polyglycerol I described two examples of the application. Polyglycerol esters of fatty acids are produced by the esterification of polyglycerol with food fats and oils or with fatty acids. Synonyms polyglycerol fatty acid esters, glycerin fatty acid esters; 475 definition mixed partial esters formed by reacting. Highly refined polyglycerol esters of fatty acids are applied to foods broadly. This study investigates. Fatty Acid Ester Of Polyglycerol.
From www.google.com
EP1568677A1 Polyglycerols, polyglycerol/fatty acid ester, and Fatty Acid Ester Of Polyglycerol This study investigates the impact of various chain lengths of hydrophilic polyglycerol fatty acid esters (hpges), namely. As initial substrates in polyglycerol ester synthesis, we used fatty acid methyl esters (fame) received from individual fatty acids. I described two examples of the application. Highly refined polyglycerol esters of fatty acids are applied to foods broadly. 475 definition mixed partial esters. Fatty Acid Ester Of Polyglycerol.
From www.cnadditives.com
China Customized Polyglycerol Esters Of Fatty Acids CAS NO. 67784821 Fatty Acid Ester Of Polyglycerol Polyglycerol esters of fatty acids are produced by the esterification of polyglycerol with food fats and oils or with fatty acids. I described two examples of the application. Highly refined polyglycerol esters of fatty acids are applied to foods broadly. As initial substrates in polyglycerol ester synthesis, we used fatty acid methyl esters (fame) received from individual fatty acids. 475. Fatty Acid Ester Of Polyglycerol.
From www.animalia-life.club
Structure Of Fatty Acid And Glycerol Fatty Acid Ester Of Polyglycerol This study investigates the impact of various chain lengths of hydrophilic polyglycerol fatty acid esters (hpges), namely. Polyglycerol esters of fatty acids are produced by the esterification of polyglycerol with food fats and oils or with fatty acids. As initial substrates in polyglycerol ester synthesis, we used fatty acid methyl esters (fame) received from individual fatty acids. I described two. Fatty Acid Ester Of Polyglycerol.
From www.mdpi.com
Catalysts Free FullText Epoxidation of Fatty Acid Methyl Esters Fatty Acid Ester Of Polyglycerol As initial substrates in polyglycerol ester synthesis, we used fatty acid methyl esters (fame) received from individual fatty acids. Synonyms polyglycerol fatty acid esters, glycerin fatty acid esters; I described two examples of the application. Polyglycerol esters of fatty acids are produced by the esterification of polyglycerol with food fats and oils or with fatty acids. Highly refined polyglycerol esters. Fatty Acid Ester Of Polyglycerol.
From www.researchgate.net
General scheme of glycerol condensation resulting in polyglycerol Fatty Acid Ester Of Polyglycerol This study investigates the impact of various chain lengths of hydrophilic polyglycerol fatty acid esters (hpges), namely. Polyglycerol esters of fatty acids are produced by the esterification of polyglycerol with food fats and oils or with fatty acids. 475 definition mixed partial esters formed by reacting. Synonyms polyglycerol fatty acid esters, glycerin fatty acid esters; Highly refined polyglycerol esters of. Fatty Acid Ester Of Polyglycerol.
From www.mdpi.com
Cosmetics Free FullText Green Cosmetic Surfactant from Rice Fatty Acid Ester Of Polyglycerol I described two examples of the application. 475 definition mixed partial esters formed by reacting. Highly refined polyglycerol esters of fatty acids are applied to foods broadly. As initial substrates in polyglycerol ester synthesis, we used fatty acid methyl esters (fame) received from individual fatty acids. This study investigates the impact of various chain lengths of hydrophilic polyglycerol fatty acid. Fatty Acid Ester Of Polyglycerol.
From www.chemistrystudent.com
Esters (ALevel) ChemistryStudent Fatty Acid Ester Of Polyglycerol Synonyms polyglycerol fatty acid esters, glycerin fatty acid esters; I described two examples of the application. This study investigates the impact of various chain lengths of hydrophilic polyglycerol fatty acid esters (hpges), namely. As initial substrates in polyglycerol ester synthesis, we used fatty acid methyl esters (fame) received from individual fatty acids. Polyglycerol esters of fatty acids are produced by. Fatty Acid Ester Of Polyglycerol.
From gengyangchem.en.made-in-china.com
Kinds of Use for Food as Emulsifier Polyglycerol Ester of Fatty Acid Fatty Acid Ester Of Polyglycerol Synonyms polyglycerol fatty acid esters, glycerin fatty acid esters; This study investigates the impact of various chain lengths of hydrophilic polyglycerol fatty acid esters (hpges), namely. Highly refined polyglycerol esters of fatty acids are applied to foods broadly. 475 definition mixed partial esters formed by reacting. I described two examples of the application. Polyglycerol esters of fatty acids are produced. Fatty Acid Ester Of Polyglycerol.
From www.researchgate.net
Synthesis of fatty acid esters of polyglycerol. Download Table Fatty Acid Ester Of Polyglycerol Synonyms polyglycerol fatty acid esters, glycerin fatty acid esters; Highly refined polyglycerol esters of fatty acids are applied to foods broadly. Polyglycerol esters of fatty acids are produced by the esterification of polyglycerol with food fats and oils or with fatty acids. 475 definition mixed partial esters formed by reacting. This study investigates the impact of various chain lengths of. Fatty Acid Ester Of Polyglycerol.
From edu.svet.gob.gt
Polyglyceryl3 Polyricinoleate Toxic edu.svet.gob.gt Fatty Acid Ester Of Polyglycerol Highly refined polyglycerol esters of fatty acids are applied to foods broadly. This study investigates the impact of various chain lengths of hydrophilic polyglycerol fatty acid esters (hpges), namely. 475 definition mixed partial esters formed by reacting. Synonyms polyglycerol fatty acid esters, glycerin fatty acid esters; Polyglycerol esters of fatty acids are produced by the esterification of polyglycerol with food. Fatty Acid Ester Of Polyglycerol.
From dataintelo.com
Polyglycerol Esters of Fatty Acid Market Report Global Forecast To 2031 Fatty Acid Ester Of Polyglycerol As initial substrates in polyglycerol ester synthesis, we used fatty acid methyl esters (fame) received from individual fatty acids. I described two examples of the application. Polyglycerol esters of fatty acids are produced by the esterification of polyglycerol with food fats and oils or with fatty acids. This study investigates the impact of various chain lengths of hydrophilic polyglycerol fatty. Fatty Acid Ester Of Polyglycerol.
From www.cnadditives.com
China Customized Polyglycerol Esters Of Fatty Acids CAS NO. 67784821 Fatty Acid Ester Of Polyglycerol Synonyms polyglycerol fatty acid esters, glycerin fatty acid esters; I described two examples of the application. Polyglycerol esters of fatty acids are produced by the esterification of polyglycerol with food fats and oils or with fatty acids. 475 definition mixed partial esters formed by reacting. Highly refined polyglycerol esters of fatty acids are applied to foods broadly. This study investigates. Fatty Acid Ester Of Polyglycerol.
From www.semanticscholar.org
Table 1 from Polyglycerol fatty acid ester surfactantbased Fatty Acid Ester Of Polyglycerol Highly refined polyglycerol esters of fatty acids are applied to foods broadly. This study investigates the impact of various chain lengths of hydrophilic polyglycerol fatty acid esters (hpges), namely. I described two examples of the application. Synonyms polyglycerol fatty acid esters, glycerin fatty acid esters; 475 definition mixed partial esters formed by reacting. As initial substrates in polyglycerol ester synthesis,. Fatty Acid Ester Of Polyglycerol.
From www.cnadditives.com
China Customized Polyglycerol Esters Of Fatty Acids CAS NO. 67784821 Fatty Acid Ester Of Polyglycerol Polyglycerol esters of fatty acids are produced by the esterification of polyglycerol with food fats and oils or with fatty acids. I described two examples of the application. 475 definition mixed partial esters formed by reacting. This study investigates the impact of various chain lengths of hydrophilic polyglycerol fatty acid esters (hpges), namely. Synonyms polyglycerol fatty acid esters, glycerin fatty. Fatty Acid Ester Of Polyglycerol.
From www.cnadditives.com
China Customized Polyglycerol Esters Of Fatty Acids CAS NO. 67784821 Fatty Acid Ester Of Polyglycerol 475 definition mixed partial esters formed by reacting. Highly refined polyglycerol esters of fatty acids are applied to foods broadly. This study investigates the impact of various chain lengths of hydrophilic polyglycerol fatty acid esters (hpges), namely. As initial substrates in polyglycerol ester synthesis, we used fatty acid methyl esters (fame) received from individual fatty acids. I described two examples. Fatty Acid Ester Of Polyglycerol.
From gengyangchem.en.made-in-china.com
Milk Powder for Food Ingredients Polyglycerol Ester of Fatty Acid Fatty Acid Ester Of Polyglycerol Polyglycerol esters of fatty acids are produced by the esterification of polyglycerol with food fats and oils or with fatty acids. This study investigates the impact of various chain lengths of hydrophilic polyglycerol fatty acid esters (hpges), namely. Highly refined polyglycerol esters of fatty acids are applied to foods broadly. As initial substrates in polyglycerol ester synthesis, we used fatty. Fatty Acid Ester Of Polyglycerol.
From pubs.acs.org
Enzymatic Synthesis of Polyglycerol Fatty Acid Esters and Their Fatty Acid Ester Of Polyglycerol I described two examples of the application. Polyglycerol esters of fatty acids are produced by the esterification of polyglycerol with food fats and oils or with fatty acids. Synonyms polyglycerol fatty acid esters, glycerin fatty acid esters; This study investigates the impact of various chain lengths of hydrophilic polyglycerol fatty acid esters (hpges), namely. Highly refined polyglycerol esters of fatty. Fatty Acid Ester Of Polyglycerol.
From www.researchgate.net
Structure of phenolic fatty acid esters. Download Scientific Diagram Fatty Acid Ester Of Polyglycerol 475 definition mixed partial esters formed by reacting. Synonyms polyglycerol fatty acid esters, glycerin fatty acid esters; This study investigates the impact of various chain lengths of hydrophilic polyglycerol fatty acid esters (hpges), namely. As initial substrates in polyglycerol ester synthesis, we used fatty acid methyl esters (fame) received from individual fatty acids. Highly refined polyglycerol esters of fatty acids. Fatty Acid Ester Of Polyglycerol.
From sinowin.en.made-in-china.com
Factory Supply CAS 67784821 Polyglyceryl Ester of Fatty Acid Pgfe Fatty Acid Ester Of Polyglycerol As initial substrates in polyglycerol ester synthesis, we used fatty acid methyl esters (fame) received from individual fatty acids. This study investigates the impact of various chain lengths of hydrophilic polyglycerol fatty acid esters (hpges), namely. Highly refined polyglycerol esters of fatty acids are applied to foods broadly. Synonyms polyglycerol fatty acid esters, glycerin fatty acid esters; I described two. Fatty Acid Ester Of Polyglycerol.
From www.tradekorea.com
Almax9025 (Polyglycerol fatty acid ester) tradekorea Fatty Acid Ester Of Polyglycerol This study investigates the impact of various chain lengths of hydrophilic polyglycerol fatty acid esters (hpges), namely. As initial substrates in polyglycerol ester synthesis, we used fatty acid methyl esters (fame) received from individual fatty acids. Polyglycerol esters of fatty acids are produced by the esterification of polyglycerol with food fats and oils or with fatty acids. I described two. Fatty Acid Ester Of Polyglycerol.
From gengyangchem.en.made-in-china.com
China Manufacturer Food Emulsifier Polyglycerol Esters of Fatty Acids Fatty Acid Ester Of Polyglycerol As initial substrates in polyglycerol ester synthesis, we used fatty acid methyl esters (fame) received from individual fatty acids. I described two examples of the application. This study investigates the impact of various chain lengths of hydrophilic polyglycerol fatty acid esters (hpges), namely. 475 definition mixed partial esters formed by reacting. Polyglycerol esters of fatty acids are produced by the. Fatty Acid Ester Of Polyglycerol.
From informacionpublica.svet.gob.gt
An Overview On Ecofriendly Polyglycerol Esters Of Fatty Fatty Acid Ester Of Polyglycerol Polyglycerol esters of fatty acids are produced by the esterification of polyglycerol with food fats and oils or with fatty acids. Highly refined polyglycerol esters of fatty acids are applied to foods broadly. Synonyms polyglycerol fatty acid esters, glycerin fatty acid esters; I described two examples of the application. 475 definition mixed partial esters formed by reacting. This study investigates. Fatty Acid Ester Of Polyglycerol.
From www.researchgate.net
Scheme 5. Structures of some fatty acid ester and amide gelators Fatty Acid Ester Of Polyglycerol Synonyms polyglycerol fatty acid esters, glycerin fatty acid esters; 475 definition mixed partial esters formed by reacting. Highly refined polyglycerol esters of fatty acids are applied to foods broadly. Polyglycerol esters of fatty acids are produced by the esterification of polyglycerol with food fats and oils or with fatty acids. I described two examples of the application. As initial substrates. Fatty Acid Ester Of Polyglycerol.
From www.researchgate.net
Common fatty acids palmitic (C160); estearic (C180); oleic (C181 Fatty Acid Ester Of Polyglycerol Highly refined polyglycerol esters of fatty acids are applied to foods broadly. I described two examples of the application. Synonyms polyglycerol fatty acid esters, glycerin fatty acid esters; Polyglycerol esters of fatty acids are produced by the esterification of polyglycerol with food fats and oils or with fatty acids. 475 definition mixed partial esters formed by reacting. This study investigates. Fatty Acid Ester Of Polyglycerol.
From www.tandfonline.com
Development of polyglycerol fatty acid esterbased lowenergy Fatty Acid Ester Of Polyglycerol Polyglycerol esters of fatty acids are produced by the esterification of polyglycerol with food fats and oils or with fatty acids. I described two examples of the application. As initial substrates in polyglycerol ester synthesis, we used fatty acid methyl esters (fame) received from individual fatty acids. Synonyms polyglycerol fatty acid esters, glycerin fatty acid esters; This study investigates the. Fatty Acid Ester Of Polyglycerol.
From www.mdpi.com
Foods Free FullText Effect of Different Polymerization Degrees and Fatty Acid Ester Of Polyglycerol Highly refined polyglycerol esters of fatty acids are applied to foods broadly. Polyglycerol esters of fatty acids are produced by the esterification of polyglycerol with food fats and oils or with fatty acids. I described two examples of the application. 475 definition mixed partial esters formed by reacting. This study investigates the impact of various chain lengths of hydrophilic polyglycerol. Fatty Acid Ester Of Polyglycerol.
From sinowin.en.made-in-china.com
E475 Cake Food Emulsifier Poly Glycerin Fatty Acid Ester for Ice Cream Fatty Acid Ester Of Polyglycerol Polyglycerol esters of fatty acids are produced by the esterification of polyglycerol with food fats and oils or with fatty acids. 475 definition mixed partial esters formed by reacting. This study investigates the impact of various chain lengths of hydrophilic polyglycerol fatty acid esters (hpges), namely. Synonyms polyglycerol fatty acid esters, glycerin fatty acid esters; Highly refined polyglycerol esters of. Fatty Acid Ester Of Polyglycerol.
From www.semanticscholar.org
Figure 2 from Polyglycerol fatty acid ester surfactantbased Fatty Acid Ester Of Polyglycerol This study investigates the impact of various chain lengths of hydrophilic polyglycerol fatty acid esters (hpges), namely. I described two examples of the application. Polyglycerol esters of fatty acids are produced by the esterification of polyglycerol with food fats and oils or with fatty acids. As initial substrates in polyglycerol ester synthesis, we used fatty acid methyl esters (fame) received. Fatty Acid Ester Of Polyglycerol.
From sinsurfoodadditive.en.made-in-china.com
Food Ingredients High Quality Emulsifier CAS 67784821 Polyglycerol Fatty Acid Ester Of Polyglycerol I described two examples of the application. This study investigates the impact of various chain lengths of hydrophilic polyglycerol fatty acid esters (hpges), namely. Polyglycerol esters of fatty acids are produced by the esterification of polyglycerol with food fats and oils or with fatty acids. Synonyms polyglycerol fatty acid esters, glycerin fatty acid esters; Highly refined polyglycerol esters of fatty. Fatty Acid Ester Of Polyglycerol.
From gengyangchem.en.made-in-china.com
Make Milk with Better Taste as Emulsifier Polyglycerol Ester of Fatty Fatty Acid Ester Of Polyglycerol This study investigates the impact of various chain lengths of hydrophilic polyglycerol fatty acid esters (hpges), namely. Synonyms polyglycerol fatty acid esters, glycerin fatty acid esters; I described two examples of the application. Highly refined polyglycerol esters of fatty acids are applied to foods broadly. Polyglycerol esters of fatty acids are produced by the esterification of polyglycerol with food fats. Fatty Acid Ester Of Polyglycerol.
From www.researchgate.net
Structural formula of polyglycerol polyricinoleate, adapted from Fatty Acid Ester Of Polyglycerol Polyglycerol esters of fatty acids are produced by the esterification of polyglycerol with food fats and oils or with fatty acids. Highly refined polyglycerol esters of fatty acids are applied to foods broadly. 475 definition mixed partial esters formed by reacting. I described two examples of the application. This study investigates the impact of various chain lengths of hydrophilic polyglycerol. Fatty Acid Ester Of Polyglycerol.
From www.linkedin.com
Application Brief Introduction of polyglycerol fatty acid ester Fatty Acid Ester Of Polyglycerol 475 definition mixed partial esters formed by reacting. This study investigates the impact of various chain lengths of hydrophilic polyglycerol fatty acid esters (hpges), namely. Polyglycerol esters of fatty acids are produced by the esterification of polyglycerol with food fats and oils or with fatty acids. I described two examples of the application. As initial substrates in polyglycerol ester synthesis,. Fatty Acid Ester Of Polyglycerol.