Roughness Of Hose . Water distribution systems pipe roughness coefficients water properties (assumed) γ gρ µ. The following table is summarizing. The roughness is actually a measurement of all the asperities at the surface of a material, especially a pipe where it will oppose the flow of fluid. Roughness for different materials can be determined by experiments. Absolute roughness the roughness of a pipe is. This table lists the roughness coefficients of specific roughness, hazen. The roughness value, usually denoted as e, is used in the calculating the relative roughness of a pipe against the size of its diameter. 53:171 water resources engineering lesson 23:
from sturgeonshouse.ipbhost.com
This table lists the roughness coefficients of specific roughness, hazen. Absolute roughness the roughness of a pipe is. The roughness is actually a measurement of all the asperities at the surface of a material, especially a pipe where it will oppose the flow of fluid. Roughness for different materials can be determined by experiments. 53:171 water resources engineering lesson 23: The roughness value, usually denoted as e, is used in the calculating the relative roughness of a pipe against the size of its diameter. The following table is summarizing. Water distribution systems pipe roughness coefficients water properties (assumed) γ gρ µ.
Machine Finishes Chart Open Discussion Sturgeon's House
Roughness Of Hose Roughness for different materials can be determined by experiments. This table lists the roughness coefficients of specific roughness, hazen. Water distribution systems pipe roughness coefficients water properties (assumed) γ gρ µ. The roughness is actually a measurement of all the asperities at the surface of a material, especially a pipe where it will oppose the flow of fluid. The roughness value, usually denoted as e, is used in the calculating the relative roughness of a pipe against the size of its diameter. The following table is summarizing. 53:171 water resources engineering lesson 23: Absolute roughness the roughness of a pipe is. Roughness for different materials can be determined by experiments.
From mungfali.com
Pipe Roughness Chart Roughness Of Hose The following table is summarizing. The roughness is actually a measurement of all the asperities at the surface of a material, especially a pipe where it will oppose the flow of fluid. The roughness value, usually denoted as e, is used in the calculating the relative roughness of a pipe against the size of its diameter. This table lists the. Roughness Of Hose.
From www.alibaba.com
Two Wire Braided High Pressure Hydraulic Rubber Hose Manufacturer Buy Roughness Of Hose Absolute roughness the roughness of a pipe is. The roughness is actually a measurement of all the asperities at the surface of a material, especially a pipe where it will oppose the flow of fluid. Roughness for different materials can be determined by experiments. The following table is summarizing. The roughness value, usually denoted as e, is used in the. Roughness Of Hose.
From www.alibaba.com
China Wanflex 1/2"2" Synthetic Rubber Hose Roughness Buy Rubber Hose Roughness Of Hose This table lists the roughness coefficients of specific roughness, hazen. Water distribution systems pipe roughness coefficients water properties (assumed) γ gρ µ. Absolute roughness the roughness of a pipe is. Roughness for different materials can be determined by experiments. The roughness is actually a measurement of all the asperities at the surface of a material, especially a pipe where it. Roughness Of Hose.
From neutrium.net
Pressure Loss in Hoses Neutrium Roughness Of Hose This table lists the roughness coefficients of specific roughness, hazen. The roughness is actually a measurement of all the asperities at the surface of a material, especially a pipe where it will oppose the flow of fluid. Roughness for different materials can be determined by experiments. 53:171 water resources engineering lesson 23: Water distribution systems pipe roughness coefficients water properties. Roughness Of Hose.
From www.elastomerrubber.com
Single Braided NBR Nitrile Rubber Oil Hose Smooth Surface Hardness 65 Roughness Of Hose The roughness is actually a measurement of all the asperities at the surface of a material, especially a pipe where it will oppose the flow of fluid. Water distribution systems pipe roughness coefficients water properties (assumed) γ gρ µ. 53:171 water resources engineering lesson 23: This table lists the roughness coefficients of specific roughness, hazen. Roughness for different materials can. Roughness Of Hose.
From hengyuflex.en.made-in-china.com
Direct Source 6 Inch Rubber Hose Roughness Lightweight Suction or Roughness Of Hose Absolute roughness the roughness of a pipe is. Water distribution systems pipe roughness coefficients water properties (assumed) γ gρ µ. Roughness for different materials can be determined by experiments. The roughness value, usually denoted as e, is used in the calculating the relative roughness of a pipe against the size of its diameter. The roughness is actually a measurement of. Roughness Of Hose.
From hydraulichose.cn
Hydraulic Hose Reinforcement How Important Is It? Sinopulse hose Roughness Of Hose Roughness for different materials can be determined by experiments. Absolute roughness the roughness of a pipe is. 53:171 water resources engineering lesson 23: This table lists the roughness coefficients of specific roughness, hazen. The following table is summarizing. Water distribution systems pipe roughness coefficients water properties (assumed) γ gρ µ. The roughness is actually a measurement of all the asperities. Roughness Of Hose.
From sturgeonshouse.ipbhost.com
Machine Finishes Chart Open Discussion Sturgeon's House Roughness Of Hose Roughness for different materials can be determined by experiments. Absolute roughness the roughness of a pipe is. The roughness value, usually denoted as e, is used in the calculating the relative roughness of a pipe against the size of its diameter. 53:171 water resources engineering lesson 23: The roughness is actually a measurement of all the asperities at the surface. Roughness Of Hose.
From www.alibaba.com
China Wanflex 1/2"2" Synthetic Rubber Hose Roughness Buy Rubber Hose Roughness Of Hose Absolute roughness the roughness of a pipe is. The roughness is actually a measurement of all the asperities at the surface of a material, especially a pipe where it will oppose the flow of fluid. Water distribution systems pipe roughness coefficients water properties (assumed) γ gρ µ. Roughness for different materials can be determined by experiments. This table lists the. Roughness Of Hose.
From mungfali.com
Roughness Table Roughness Of Hose The roughness value, usually denoted as e, is used in the calculating the relative roughness of a pipe against the size of its diameter. Roughness for different materials can be determined by experiments. The following table is summarizing. Absolute roughness the roughness of a pipe is. The roughness is actually a measurement of all the asperities at the surface of. Roughness Of Hose.
From engineerexcel.com
Pipe Roughness A Complete Guide EngineerExcel Roughness Of Hose This table lists the roughness coefficients of specific roughness, hazen. Absolute roughness the roughness of a pipe is. Roughness for different materials can be determined by experiments. The roughness value, usually denoted as e, is used in the calculating the relative roughness of a pipe against the size of its diameter. The roughness is actually a measurement of all the. Roughness Of Hose.
From www.alamy.com
Roughness map concrete, Roughness map plaster texture, Roughness Roughness Of Hose Roughness for different materials can be determined by experiments. Water distribution systems pipe roughness coefficients water properties (assumed) γ gρ µ. Absolute roughness the roughness of a pipe is. The roughness value, usually denoted as e, is used in the calculating the relative roughness of a pipe against the size of its diameter. The following table is summarizing. 53:171 water. Roughness Of Hose.
From dokumen.tips
Roughness Value of Rubber Hose Roughness Of Hose This table lists the roughness coefficients of specific roughness, hazen. Roughness for different materials can be determined by experiments. Water distribution systems pipe roughness coefficients water properties (assumed) γ gρ µ. The roughness value, usually denoted as e, is used in the calculating the relative roughness of a pipe against the size of its diameter. The following table is summarizing.. Roughness Of Hose.
From www.alibaba.com
Two Wire Braided High Pressure Hydraulic Rubber Hose Manufacturer Buy Roughness Of Hose This table lists the roughness coefficients of specific roughness, hazen. Absolute roughness the roughness of a pipe is. The roughness is actually a measurement of all the asperities at the surface of a material, especially a pipe where it will oppose the flow of fluid. The roughness value, usually denoted as e, is used in the calculating the relative roughness. Roughness Of Hose.
From www.oneida-air.com
4 inch x 25 foot HighPressure SD Urethane Dust Collection FlexHose Roughness Of Hose The following table is summarizing. Roughness for different materials can be determined by experiments. The roughness value, usually denoted as e, is used in the calculating the relative roughness of a pipe against the size of its diameter. This table lists the roughness coefficients of specific roughness, hazen. Water distribution systems pipe roughness coefficients water properties (assumed) γ gρ µ.. Roughness Of Hose.
From www.alibaba.com
Matt Surface Roughness Pvc Mixed With Rubber Air Hose Buy Surface Roughness Of Hose Roughness for different materials can be determined by experiments. The roughness value, usually denoted as e, is used in the calculating the relative roughness of a pipe against the size of its diameter. Water distribution systems pipe roughness coefficients water properties (assumed) γ gρ µ. The following table is summarizing. The roughness is actually a measurement of all the asperities. Roughness Of Hose.
From www.solutionspile.com
[Solved] The 250 ftlong hose is made of a material havi Roughness Of Hose Water distribution systems pipe roughness coefficients water properties (assumed) γ gρ µ. The roughness value, usually denoted as e, is used in the calculating the relative roughness of a pipe against the size of its diameter. The roughness is actually a measurement of all the asperities at the surface of a material, especially a pipe where it will oppose the. Roughness Of Hose.
From www.alibaba.com
Hydraulic Rubber Hose Roughness Buy Rubber Hose Roughness,Rubber Hose Roughness Of Hose Roughness for different materials can be determined by experiments. Water distribution systems pipe roughness coefficients water properties (assumed) γ gρ µ. The following table is summarizing. 53:171 water resources engineering lesson 23: The roughness is actually a measurement of all the asperities at the surface of a material, especially a pipe where it will oppose the flow of fluid. This. Roughness Of Hose.
From www.scribd.com
Roughness Value of Rubber Hose PDF Roughness Of Hose Absolute roughness the roughness of a pipe is. Roughness for different materials can be determined by experiments. The roughness value, usually denoted as e, is used in the calculating the relative roughness of a pipe against the size of its diameter. This table lists the roughness coefficients of specific roughness, hazen. 53:171 water resources engineering lesson 23: Water distribution systems. Roughness Of Hose.
From www.acrubberfactory.com
China high temperature flexible rubber hose radiator rubber hose rubber Roughness Of Hose The roughness value, usually denoted as e, is used in the calculating the relative roughness of a pipe against the size of its diameter. 53:171 water resources engineering lesson 23: The following table is summarizing. Roughness for different materials can be determined by experiments. This table lists the roughness coefficients of specific roughness, hazen. The roughness is actually a measurement. Roughness Of Hose.
From www.researchgate.net
Farshad's average absolute surface roughness chart for commonly used Roughness Of Hose This table lists the roughness coefficients of specific roughness, hazen. The following table is summarizing. The roughness is actually a measurement of all the asperities at the surface of a material, especially a pipe where it will oppose the flow of fluid. 53:171 water resources engineering lesson 23: Water distribution systems pipe roughness coefficients water properties (assumed) γ gρ µ.. Roughness Of Hose.
From www.slideserve.com
PPT Pipe Sizing Basics PowerPoint Presentation, free download ID760528 Roughness Of Hose 53:171 water resources engineering lesson 23: The roughness is actually a measurement of all the asperities at the surface of a material, especially a pipe where it will oppose the flow of fluid. Roughness for different materials can be determined by experiments. The following table is summarizing. The roughness value, usually denoted as e, is used in the calculating the. Roughness Of Hose.
From www.researchgate.net
Selfadhesive foam gasket applied to flange. Download Scientific Diagram Roughness Of Hose Water distribution systems pipe roughness coefficients water properties (assumed) γ gρ µ. 53:171 water resources engineering lesson 23: The following table is summarizing. The roughness is actually a measurement of all the asperities at the surface of a material, especially a pipe where it will oppose the flow of fluid. Roughness for different materials can be determined by experiments. This. Roughness Of Hose.
From www.indiamart.com
Wire Reinforced Hose at Rs 210/meter(s) PVC Hoses Jyoti Rubber Roughness Of Hose This table lists the roughness coefficients of specific roughness, hazen. The roughness value, usually denoted as e, is used in the calculating the relative roughness of a pipe against the size of its diameter. 53:171 water resources engineering lesson 23: Absolute roughness the roughness of a pipe is. Roughness for different materials can be determined by experiments. The following table. Roughness Of Hose.
From www.tradeindia.com
Heavy Duty Pvc Suction Hose Pipe Size Different Sizes Available at Roughness Of Hose The roughness value, usually denoted as e, is used in the calculating the relative roughness of a pipe against the size of its diameter. Absolute roughness the roughness of a pipe is. This table lists the roughness coefficients of specific roughness, hazen. 53:171 water resources engineering lesson 23: Roughness for different materials can be determined by experiments. The roughness is. Roughness Of Hose.
From www.alibaba.com
Surface Roughness Rubber Buy Surface Roughness Rubber,Surface Roughness Of Hose The roughness value, usually denoted as e, is used in the calculating the relative roughness of a pipe against the size of its diameter. 53:171 water resources engineering lesson 23: This table lists the roughness coefficients of specific roughness, hazen. Absolute roughness the roughness of a pipe is. The roughness is actually a measurement of all the asperities at the. Roughness Of Hose.
From bceweb.org
Relative Roughness Chart A Visual Reference of Charts Chart Master Roughness Of Hose 53:171 water resources engineering lesson 23: The following table is summarizing. The roughness is actually a measurement of all the asperities at the surface of a material, especially a pipe where it will oppose the flow of fluid. Water distribution systems pipe roughness coefficients water properties (assumed) γ gρ µ. Roughness for different materials can be determined by experiments. The. Roughness Of Hose.
From www.alibaba.com
Matt Surface Roughness Pvc Mixed With Rubber Air Hose Buy Surface Roughness Of Hose Water distribution systems pipe roughness coefficients water properties (assumed) γ gρ µ. Roughness for different materials can be determined by experiments. Absolute roughness the roughness of a pipe is. 53:171 water resources engineering lesson 23: The following table is summarizing. The roughness value, usually denoted as e, is used in the calculating the relative roughness of a pipe against the. Roughness Of Hose.
From www.engineersedge.com
Pipe Roughness Coefficients Table Charts HazenWilliams Coefficient Roughness Of Hose The roughness is actually a measurement of all the asperities at the surface of a material, especially a pipe where it will oppose the flow of fluid. Absolute roughness the roughness of a pipe is. Roughness for different materials can be determined by experiments. This table lists the roughness coefficients of specific roughness, hazen. 53:171 water resources engineering lesson 23:. Roughness Of Hose.
From engineerexcel.com
Moody Chart for Estimating Friction Factors EngineerExcel Roughness Of Hose Roughness for different materials can be determined by experiments. This table lists the roughness coefficients of specific roughness, hazen. Absolute roughness the roughness of a pipe is. Water distribution systems pipe roughness coefficients water properties (assumed) γ gρ µ. The roughness value, usually denoted as e, is used in the calculating the relative roughness of a pipe against the size. Roughness Of Hose.
From www.alibaba.com
China Wanflex 1/2"2" Synthetic Rubber Hose Roughness Buy Rubber Hose Roughness Of Hose Water distribution systems pipe roughness coefficients water properties (assumed) γ gρ µ. The roughness is actually a measurement of all the asperities at the surface of a material, especially a pipe where it will oppose the flow of fluid. Absolute roughness the roughness of a pipe is. This table lists the roughness coefficients of specific roughness, hazen. The roughness value,. Roughness Of Hose.
From www.slurrypipes.com.au
Low Friction Slurry Pipes UHMWPE Pipe Suppliers Call Us On 03 Roughness Of Hose 53:171 water resources engineering lesson 23: This table lists the roughness coefficients of specific roughness, hazen. The roughness value, usually denoted as e, is used in the calculating the relative roughness of a pipe against the size of its diameter. Absolute roughness the roughness of a pipe is. Roughness for different materials can be determined by experiments. Water distribution systems. Roughness Of Hose.
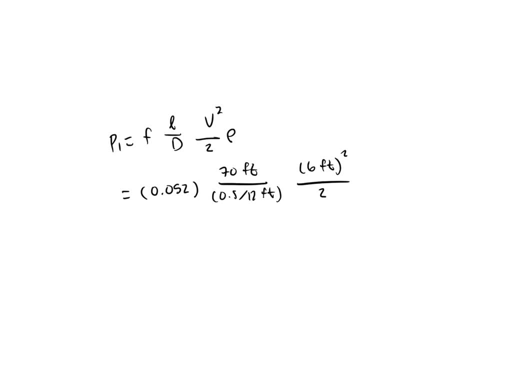
From www.numerade.com
SOLVEDA 70 ftlong, 0.5 in.diameter hose with a roughness of ε= 0. Roughness Of Hose Absolute roughness the roughness of a pipe is. Water distribution systems pipe roughness coefficients water properties (assumed) γ gρ µ. The roughness value, usually denoted as e, is used in the calculating the relative roughness of a pipe against the size of its diameter. The following table is summarizing. Roughness for different materials can be determined by experiments. The roughness. Roughness Of Hose.
From www.alibaba.com
1.5 Inch Surface Roughness Oil Resistant Synthetic Rubber Hose Buy Roughness Of Hose The roughness is actually a measurement of all the asperities at the surface of a material, especially a pipe where it will oppose the flow of fluid. Absolute roughness the roughness of a pipe is. Roughness for different materials can be determined by experiments. This table lists the roughness coefficients of specific roughness, hazen. The roughness value, usually denoted as. Roughness Of Hose.
From olivepipe.en.made-in-china.com
1 1.5 2 3 Inch 50mm Soft Small Diameter Braided Flexible Concrete Pump Roughness Of Hose The roughness value, usually denoted as e, is used in the calculating the relative roughness of a pipe against the size of its diameter. Absolute roughness the roughness of a pipe is. The roughness is actually a measurement of all the asperities at the surface of a material, especially a pipe where it will oppose the flow of fluid. 53:171. Roughness Of Hose.