How To Calculate The Power Of Pump . — in this article we learn how to perform pump calculations in both imperial and metric units to assess pumping performance following the. A pump has to deliver 100 m3/h of water at 2 bar g and 20c, from a tank at atmospheric pressure. — this calculator facilitates the estimation of pump power, providing a straightforward tool for professionals and. P = power depend on: Kw, h = head, m, q = flow, m3/hr, sg = specific gravity, η= pump efficiency, decimal. step by step example of calculation of pump power. pump power calculator in imperial units/si units. — in this article discussed about pump basic formulas with examples like pump power calculation formula, specific speed of centrifugal pump and. — the pump power calculator helps estimate the horsepower required for a pump based on the pressure and flow rate. The calculator below can used to calculate the hydraulic and shaft power of a pump:
from www.youtube.com
pump power calculator in imperial units/si units. P = power depend on: A pump has to deliver 100 m3/h of water at 2 bar g and 20c, from a tank at atmospheric pressure. step by step example of calculation of pump power. — this calculator facilitates the estimation of pump power, providing a straightforward tool for professionals and. — in this article we learn how to perform pump calculations in both imperial and metric units to assess pumping performance following the. The calculator below can used to calculate the hydraulic and shaft power of a pump: Kw, h = head, m, q = flow, m3/hr, sg = specific gravity, η= pump efficiency, decimal. — the pump power calculator helps estimate the horsepower required for a pump based on the pressure and flow rate. — in this article discussed about pump basic formulas with examples like pump power calculation formula, specific speed of centrifugal pump and.
Fluid Power Hydraulic Power Calculation Example YouTube
How To Calculate The Power Of Pump — in this article discussed about pump basic formulas with examples like pump power calculation formula, specific speed of centrifugal pump and. — this calculator facilitates the estimation of pump power, providing a straightforward tool for professionals and. pump power calculator in imperial units/si units. — in this article we learn how to perform pump calculations in both imperial and metric units to assess pumping performance following the. — in this article discussed about pump basic formulas with examples like pump power calculation formula, specific speed of centrifugal pump and. A pump has to deliver 100 m3/h of water at 2 bar g and 20c, from a tank at atmospheric pressure. Kw, h = head, m, q = flow, m3/hr, sg = specific gravity, η= pump efficiency, decimal. P = power depend on: step by step example of calculation of pump power. — the pump power calculator helps estimate the horsepower required for a pump based on the pressure and flow rate. The calculator below can used to calculate the hydraulic and shaft power of a pump:
From hydraulicpumpwopakura.blogspot.com
Hydraulic Pump Hydraulic Pump Power Calculation How To Calculate The Power Of Pump A pump has to deliver 100 m3/h of water at 2 bar g and 20c, from a tank at atmospheric pressure. The calculator below can used to calculate the hydraulic and shaft power of a pump: P = power depend on: — in this article discussed about pump basic formulas with examples like pump power calculation formula, specific speed. How To Calculate The Power Of Pump.
From www.mepengineersclub.com
Pump Calculations, Flow Rate, RPM, Head Pressure, & Impeller Diameter How To Calculate The Power Of Pump — this calculator facilitates the estimation of pump power, providing a straightforward tool for professionals and. A pump has to deliver 100 m3/h of water at 2 bar g and 20c, from a tank at atmospheric pressure. step by step example of calculation of pump power. — in this article discussed about pump basic formulas with examples. How To Calculate The Power Of Pump.
From www.chegg.com
Calculate the power(HP) of the pump using the How To Calculate The Power Of Pump pump power calculator in imperial units/si units. — in this article discussed about pump basic formulas with examples like pump power calculation formula, specific speed of centrifugal pump and. A pump has to deliver 100 m3/h of water at 2 bar g and 20c, from a tank at atmospheric pressure. — the pump power calculator helps estimate. How To Calculate The Power Of Pump.
From www.youtube.com
Pump Horsepower Calculation HVAC Chilled Water YouTube How To Calculate The Power Of Pump The calculator below can used to calculate the hydraulic and shaft power of a pump: Kw, h = head, m, q = flow, m3/hr, sg = specific gravity, η= pump efficiency, decimal. — in this article we learn how to perform pump calculations in both imperial and metric units to assess pumping performance following the. P = power depend. How To Calculate The Power Of Pump.
From www.wikihow.com
How to Calculate Water Pump Horsepower 14 Steps (with Pictures) How To Calculate The Power Of Pump — in this article discussed about pump basic formulas with examples like pump power calculation formula, specific speed of centrifugal pump and. A pump has to deliver 100 m3/h of water at 2 bar g and 20c, from a tank at atmospheric pressure. P = power depend on: step by step example of calculation of pump power. . How To Calculate The Power Of Pump.
From webmotor.org
How To Calculate Power Of Motor For The Pump How To Calculate The Power Of Pump step by step example of calculation of pump power. — in this article we learn how to perform pump calculations in both imperial and metric units to assess pumping performance following the. — in this article discussed about pump basic formulas with examples like pump power calculation formula, specific speed of centrifugal pump and. — this. How To Calculate The Power Of Pump.
From dxoqgpgnv.blob.core.windows.net
Centrifugal Pump Power Equation at Daniel Lampe blog How To Calculate The Power Of Pump — in this article we learn how to perform pump calculations in both imperial and metric units to assess pumping performance following the. step by step example of calculation of pump power. — in this article discussed about pump basic formulas with examples like pump power calculation formula, specific speed of centrifugal pump and. Kw, h =. How To Calculate The Power Of Pump.
From skutojovaschematic.z4.web.core.windows.net
How To Calculate Motor Power For Pump How To Calculate The Power Of Pump — the pump power calculator helps estimate the horsepower required for a pump based on the pressure and flow rate. step by step example of calculation of pump power. — in this article discussed about pump basic formulas with examples like pump power calculation formula, specific speed of centrifugal pump and. The calculator below can used to. How To Calculate The Power Of Pump.
From www.youtube.com
Calculating Pump Delivery Pressure and Power Consumption YouTube How To Calculate The Power Of Pump — in this article we learn how to perform pump calculations in both imperial and metric units to assess pumping performance following the. A pump has to deliver 100 m3/h of water at 2 bar g and 20c, from a tank at atmospheric pressure. The calculator below can used to calculate the hydraulic and shaft power of a pump:. How To Calculate The Power Of Pump.
From www.scribd.com
Pump Power Calculation How To Calculate The Power Of Pump — in this article we learn how to perform pump calculations in both imperial and metric units to assess pumping performance following the. — in this article discussed about pump basic formulas with examples like pump power calculation formula, specific speed of centrifugal pump and. — the pump power calculator helps estimate the horsepower required for a. How To Calculate The Power Of Pump.
From www.slideshare.net
Pumps and types of pumps in detail How To Calculate The Power Of Pump — in this article discussed about pump basic formulas with examples like pump power calculation formula, specific speed of centrifugal pump and. The calculator below can used to calculate the hydraulic and shaft power of a pump: pump power calculator in imperial units/si units. Kw, h = head, m, q = flow, m3/hr, sg = specific gravity, η=. How To Calculate The Power Of Pump.
From www.youtube.com
Heads and Efficiencies of Centrifugal Pump Centrifugal pump Fluid How To Calculate The Power Of Pump Kw, h = head, m, q = flow, m3/hr, sg = specific gravity, η= pump efficiency, decimal. — in this article discussed about pump basic formulas with examples like pump power calculation formula, specific speed of centrifugal pump and. P = power depend on: pump power calculator in imperial units/si units. — the pump power calculator helps. How To Calculate The Power Of Pump.
From www.youtube.com
Lesson3 How to calculate pump flow LPM ! Hydraulic Pump’s flow How To Calculate The Power Of Pump The calculator below can used to calculate the hydraulic and shaft power of a pump: A pump has to deliver 100 m3/h of water at 2 bar g and 20c, from a tank at atmospheric pressure. — this calculator facilitates the estimation of pump power, providing a straightforward tool for professionals and. Kw, h = head, m, q =. How To Calculate The Power Of Pump.
From hydraulicpumptsumasui.blogspot.com
Hydraulic Pump Hydraulic Pump Kw Calculation How To Calculate The Power Of Pump — in this article discussed about pump basic formulas with examples like pump power calculation formula, specific speed of centrifugal pump and. pump power calculator in imperial units/si units. step by step example of calculation of pump power. — the pump power calculator helps estimate the horsepower required for a pump based on the pressure and. How To Calculate The Power Of Pump.
From www.youtube.com
Pump Power & Motor Power Calculations Pump efficiency calculation How To Calculate The Power Of Pump — in this article we learn how to perform pump calculations in both imperial and metric units to assess pumping performance following the. P = power depend on: — in this article discussed about pump basic formulas with examples like pump power calculation formula, specific speed of centrifugal pump and. A pump has to deliver 100 m3/h of. How To Calculate The Power Of Pump.
From www.numerade.com
Calculate the power of an electric pump in horsepower, which can lift How To Calculate The Power Of Pump — in this article we learn how to perform pump calculations in both imperial and metric units to assess pumping performance following the. step by step example of calculation of pump power. P = power depend on: — in this article discussed about pump basic formulas with examples like pump power calculation formula, specific speed of centrifugal. How To Calculate The Power Of Pump.
From www.youtube.com
Pump Input Power Calculation Formula How to Calculate Pump Input How To Calculate The Power Of Pump — in this article we learn how to perform pump calculations in both imperial and metric units to assess pumping performance following the. pump power calculator in imperial units/si units. — this calculator facilitates the estimation of pump power, providing a straightforward tool for professionals and. Kw, h = head, m, q = flow, m3/hr, sg =. How To Calculate The Power Of Pump.
From www.youtube.com
Fluid Power Pump Theoretical Flow Rate YouTube How To Calculate The Power Of Pump Kw, h = head, m, q = flow, m3/hr, sg = specific gravity, η= pump efficiency, decimal. — in this article we learn how to perform pump calculations in both imperial and metric units to assess pumping performance following the. P = power depend on: pump power calculator in imperial units/si units. The calculator below can used to. How To Calculate The Power Of Pump.
From www.slideserve.com
PPT Water Pumps PowerPoint Presentation, free download ID388698 How To Calculate The Power Of Pump — this calculator facilitates the estimation of pump power, providing a straightforward tool for professionals and. P = power depend on: pump power calculator in imperial units/si units. — the pump power calculator helps estimate the horsepower required for a pump based on the pressure and flow rate. — in this article we learn how to. How To Calculate The Power Of Pump.
From pumphonebiwa.blogspot.com
Pump Pump Equations How To Calculate The Power Of Pump — this calculator facilitates the estimation of pump power, providing a straightforward tool for professionals and. pump power calculator in imperial units/si units. — the pump power calculator helps estimate the horsepower required for a pump based on the pressure and flow rate. The calculator below can used to calculate the hydraulic and shaft power of a. How To Calculate The Power Of Pump.
From www.wikihow.com
How to Calculate Water Pump Horsepower 14 Steps (with Pictures) How To Calculate The Power Of Pump — in this article we learn how to perform pump calculations in both imperial and metric units to assess pumping performance following the. pump power calculator in imperial units/si units. P = power depend on: A pump has to deliver 100 m3/h of water at 2 bar g and 20c, from a tank at atmospheric pressure. —. How To Calculate The Power Of Pump.
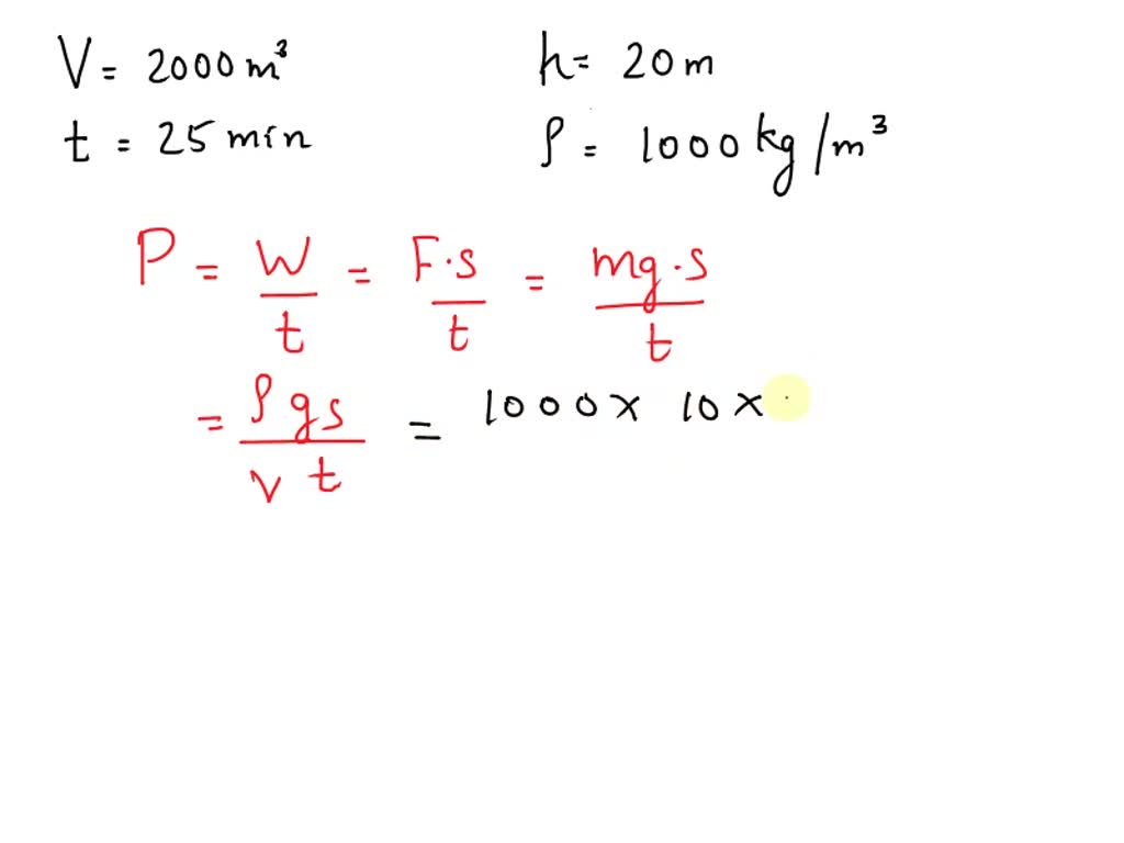
From www.numerade.com
SOLVED Calculate the power required, to pump 50,000 liters of water How To Calculate The Power Of Pump pump power calculator in imperial units/si units. Kw, h = head, m, q = flow, m3/hr, sg = specific gravity, η= pump efficiency, decimal. A pump has to deliver 100 m3/h of water at 2 bar g and 20c, from a tank at atmospheric pressure. — this calculator facilitates the estimation of pump power, providing a straightforward tool. How To Calculate The Power Of Pump.
From www.youtube.com
Fluid Power Hydraulic Power Calculation Example YouTube How To Calculate The Power Of Pump pump power calculator in imperial units/si units. step by step example of calculation of pump power. P = power depend on: — the pump power calculator helps estimate the horsepower required for a pump based on the pressure and flow rate. — in this article we learn how to perform pump calculations in both imperial and. How To Calculate The Power Of Pump.
From www.youtube.com
Bernoulli Equation With Fluid Pump and Friction (Find Pump Pressure How To Calculate The Power Of Pump The calculator below can used to calculate the hydraulic and shaft power of a pump: A pump has to deliver 100 m3/h of water at 2 bar g and 20c, from a tank at atmospheric pressure. pump power calculator in imperial units/si units. Kw, h = head, m, q = flow, m3/hr, sg = specific gravity, η= pump efficiency,. How To Calculate The Power Of Pump.
From www.youtube.com
Pump NPSH and Power Calculations Example YouTube How To Calculate The Power Of Pump A pump has to deliver 100 m3/h of water at 2 bar g and 20c, from a tank at atmospheric pressure. step by step example of calculation of pump power. Kw, h = head, m, q = flow, m3/hr, sg = specific gravity, η= pump efficiency, decimal. — in this article we learn how to perform pump calculations. How To Calculate The Power Of Pump.
From insensesarktdschematic.z19.web.core.windows.net
How To Calculate Pump Power How To Calculate The Power Of Pump — in this article we learn how to perform pump calculations in both imperial and metric units to assess pumping performance following the. A pump has to deliver 100 m3/h of water at 2 bar g and 20c, from a tank at atmospheric pressure. — this calculator facilitates the estimation of pump power, providing a straightforward tool for. How To Calculate The Power Of Pump.
From www.wikihow.com
How to Calculate Water Pump Horsepower 14 Steps (with Pictures) How To Calculate The Power Of Pump The calculator below can used to calculate the hydraulic and shaft power of a pump: — in this article we learn how to perform pump calculations in both imperial and metric units to assess pumping performance following the. — the pump power calculator helps estimate the horsepower required for a pump based on the pressure and flow rate.. How To Calculate The Power Of Pump.
From chemicalengineeringsite.in
Centrifugal Pump Affinity Laws Calculation Chemical Engineering Site How To Calculate The Power Of Pump pump power calculator in imperial units/si units. A pump has to deliver 100 m3/h of water at 2 bar g and 20c, from a tank at atmospheric pressure. — this calculator facilitates the estimation of pump power, providing a straightforward tool for professionals and. step by step example of calculation of pump power. — in this. How To Calculate The Power Of Pump.
From seppanvschematic.z4.web.core.windows.net
How To Calculate Power Required For Pump How To Calculate The Power Of Pump Kw, h = head, m, q = flow, m3/hr, sg = specific gravity, η= pump efficiency, decimal. — the pump power calculator helps estimate the horsepower required for a pump based on the pressure and flow rate. The calculator below can used to calculate the hydraulic and shaft power of a pump: A pump has to deliver 100 m3/h. How To Calculate The Power Of Pump.
From blog.wellaware.us
How to Calculate (and Improve) Pump Efficiency How To Calculate The Power Of Pump Kw, h = head, m, q = flow, m3/hr, sg = specific gravity, η= pump efficiency, decimal. P = power depend on: — this calculator facilitates the estimation of pump power, providing a straightforward tool for professionals and. — the pump power calculator helps estimate the horsepower required for a pump based on the pressure and flow rate.. How To Calculate The Power Of Pump.
From shupingcnschematic.z13.web.core.windows.net
How To Calculate Motor Power For Pump How To Calculate The Power Of Pump — this calculator facilitates the estimation of pump power, providing a straightforward tool for professionals and. The calculator below can used to calculate the hydraulic and shaft power of a pump: — in this article discussed about pump basic formulas with examples like pump power calculation formula, specific speed of centrifugal pump and. — the pump power. How To Calculate The Power Of Pump.
From wiringdbtynfw1.z22.web.core.windows.net
How To Calculate Pumping Power How To Calculate The Power Of Pump — in this article discussed about pump basic formulas with examples like pump power calculation formula, specific speed of centrifugal pump and. A pump has to deliver 100 m3/h of water at 2 bar g and 20c, from a tank at atmospheric pressure. — in this article we learn how to perform pump calculations in both imperial and. How To Calculate The Power Of Pump.
From cruditat6bschematic.z13.web.core.windows.net
How To Calculate Motor Power For Pump How To Calculate The Power Of Pump The calculator below can used to calculate the hydraulic and shaft power of a pump: — in this article we learn how to perform pump calculations in both imperial and metric units to assess pumping performance following the. step by step example of calculation of pump power. — the pump power calculator helps estimate the horsepower required. How To Calculate The Power Of Pump.
From fixlibraryauskommenk1.z13.web.core.windows.net
Calculate Hydraulic Horsepower For Pumps How To Calculate The Power Of Pump P = power depend on: step by step example of calculation of pump power. — this calculator facilitates the estimation of pump power, providing a straightforward tool for professionals and. Kw, h = head, m, q = flow, m3/hr, sg = specific gravity, η= pump efficiency, decimal. — in this article we learn how to perform pump. How To Calculate The Power Of Pump.
From www.chegg.com
Solved Question 1 Calculate the power required to pump How To Calculate The Power Of Pump — the pump power calculator helps estimate the horsepower required for a pump based on the pressure and flow rate. The calculator below can used to calculate the hydraulic and shaft power of a pump: step by step example of calculation of pump power. pump power calculator in imperial units/si units. — in this article we. How To Calculate The Power Of Pump.