Differential Coefficient In Hindi Meaning . Differential coefficient meaning in hindi (हिन्दी मे मीनिंग ) is अवकल गुणांक.english definition of differential coefficient : The instantaneous change of one quantity relative. It refers to the derivative of a function y = f (x) at any given point x = a, denoted as f’ (a). This video lecture total differential coefficient in hindi will help engineering and basic. Differential coefficient मीनिंग इन हिंदी: 3.3k views 2 years ago #differentiation #proof #numberxtra. This concept plays a crucial role in the jee exam and other competitive examinations. भिन्न गुणांक अवकल गुणांक.differential coefficient के अनुवाद के उदाहरण के वाक्य देखें, उच्चारण. In physics, the differential coefficient of a function f(x) is what is now called its derivative df(x)/dx, the (not necessarily constant) multiplicative. चर गुणांकों वाले द्वितीय कोटि के आंशिक अवकल समीकरण (second order partial differential equation with variable coefficient) इस video में sin (x) का. The word or phrase differential coefficient refers to the result of mathematical differentiation;
from www.youtube.com
चर गुणांकों वाले द्वितीय कोटि के आंशिक अवकल समीकरण (second order partial differential equation with variable coefficient) इस video में sin (x) का. The instantaneous change of one quantity relative. भिन्न गुणांक अवकल गुणांक.differential coefficient के अनुवाद के उदाहरण के वाक्य देखें, उच्चारण. It refers to the derivative of a function y = f (x) at any given point x = a, denoted as f’ (a). This concept plays a crucial role in the jee exam and other competitive examinations. The word or phrase differential coefficient refers to the result of mathematical differentiation; 3.3k views 2 years ago #differentiation #proof #numberxtra. This video lecture total differential coefficient in hindi will help engineering and basic. Differential coefficient meaning in hindi (हिन्दी मे मीनिंग ) is अवकल गुणांक.english definition of differential coefficient :
coefficient। coefficient in hindi । what is coefficient।गुणांक क्या है
Differential Coefficient In Hindi Meaning It refers to the derivative of a function y = f (x) at any given point x = a, denoted as f’ (a). This video lecture total differential coefficient in hindi will help engineering and basic. Differential coefficient मीनिंग इन हिंदी: इस video में sin (x) का. This concept plays a crucial role in the jee exam and other competitive examinations. 3.3k views 2 years ago #differentiation #proof #numberxtra. It refers to the derivative of a function y = f (x) at any given point x = a, denoted as f’ (a). चर गुणांकों वाले द्वितीय कोटि के आंशिक अवकल समीकरण (second order partial differential equation with variable coefficient) In physics, the differential coefficient of a function f(x) is what is now called its derivative df(x)/dx, the (not necessarily constant) multiplicative. The instantaneous change of one quantity relative. भिन्न गुणांक अवकल गुणांक.differential coefficient के अनुवाद के उदाहरण के वाक्य देखें, उच्चारण. The word or phrase differential coefficient refers to the result of mathematical differentiation; Differential coefficient meaning in hindi (हिन्दी मे मीनिंग ) is अवकल गुणांक.english definition of differential coefficient :
From www.youtube.com
Class 11 Maths Find the Differential Coefficient (Part 1 Differential Coefficient In Hindi Meaning Differential coefficient meaning in hindi (हिन्दी मे मीनिंग ) is अवकल गुणांक.english definition of differential coefficient : The instantaneous change of one quantity relative. It refers to the derivative of a function y = f (x) at any given point x = a, denoted as f’ (a). This video lecture total differential coefficient in hindi will help engineering and basic.. Differential Coefficient In Hindi Meaning.
From www.youtube.com
Differential coefficient with respect to x Maths for chemist in hindi Differential Coefficient In Hindi Meaning भिन्न गुणांक अवकल गुणांक.differential coefficient के अनुवाद के उदाहरण के वाक्य देखें, उच्चारण. 3.3k views 2 years ago #differentiation #proof #numberxtra. चर गुणांकों वाले द्वितीय कोटि के आंशिक अवकल समीकरण (second order partial differential equation with variable coefficient) This video lecture total differential coefficient in hindi will help engineering and basic. The word or phrase differential coefficient refers to the. Differential Coefficient In Hindi Meaning.
From www.youtube.com
Higher Order Differential Equation With Constant Coefficient Rules For Differential Coefficient In Hindi Meaning The instantaneous change of one quantity relative. इस video में sin (x) का. 3.3k views 2 years ago #differentiation #proof #numberxtra. चर गुणांकों वाले द्वितीय कोटि के आंशिक अवकल समीकरण (second order partial differential equation with variable coefficient) It refers to the derivative of a function y = f (x) at any given point x = a, denoted as f’. Differential Coefficient In Hindi Meaning.
From www.youtube.com
Linear Differential equation with constant coefficient in Hindi Part 3 Differential Coefficient In Hindi Meaning Differential coefficient meaning in hindi (हिन्दी मे मीनिंग ) is अवकल गुणांक.english definition of differential coefficient : This concept plays a crucial role in the jee exam and other competitive examinations. इस video में sin (x) का. Differential coefficient मीनिंग इन हिंदी: It refers to the derivative of a function y = f (x) at any given point x =. Differential Coefficient In Hindi Meaning.
From www.youtube.com
Higher order differential Equation with Constant Coefficient ll Differential Coefficient In Hindi Meaning This video lecture total differential coefficient in hindi will help engineering and basic. इस video में sin (x) का. 3.3k views 2 years ago #differentiation #proof #numberxtra. The instantaneous change of one quantity relative. चर गुणांकों वाले द्वितीय कोटि के आंशिक अवकल समीकरण (second order partial differential equation with variable coefficient) भिन्न गुणांक अवकल गुणांक.differential coefficient के अनुवाद के उदाहरण. Differential Coefficient In Hindi Meaning.
From www.gauthmath.com
Solved Find the differential coefficient of 1/x^4 [algebra] Differential Coefficient In Hindi Meaning This concept plays a crucial role in the jee exam and other competitive examinations. Differential coefficient meaning in hindi (हिन्दी मे मीनिंग ) is अवकल गुणांक.english definition of differential coefficient : 3.3k views 2 years ago #differentiation #proof #numberxtra. It refers to the derivative of a function y = f (x) at any given point x = a, denoted as. Differential Coefficient In Hindi Meaning.
From hxemcyfzb.blob.core.windows.net
Differential Leukocyte Count Meaning In Hindi at Penelope Cook blog Differential Coefficient In Hindi Meaning The instantaneous change of one quantity relative. This video lecture total differential coefficient in hindi will help engineering and basic. Differential coefficient meaning in hindi (हिन्दी मे मीनिंग ) is अवकल गुणांक.english definition of differential coefficient : The word or phrase differential coefficient refers to the result of mathematical differentiation; It refers to the derivative of a function y =. Differential Coefficient In Hindi Meaning.
From www.teachoo.com
Differential coefficient of sec (tan^(−1) x) w.r.t x is Class 12 MCQ Differential Coefficient In Hindi Meaning इस video में sin (x) का. Differential coefficient मीनिंग इन हिंदी: This concept plays a crucial role in the jee exam and other competitive examinations. 3.3k views 2 years ago #differentiation #proof #numberxtra. The word or phrase differential coefficient refers to the result of mathematical differentiation; This video lecture total differential coefficient in hindi will help engineering and basic. चर. Differential Coefficient In Hindi Meaning.
From brainly.in
find the differential coefficient of Brainly.in Differential Coefficient In Hindi Meaning This video lecture total differential coefficient in hindi will help engineering and basic. 3.3k views 2 years ago #differentiation #proof #numberxtra. Differential coefficient मीनिंग इन हिंदी: इस video में sin (x) का. It refers to the derivative of a function y = f (x) at any given point x = a, denoted as f’ (a). चर गुणांकों वाले द्वितीय कोटि. Differential Coefficient In Hindi Meaning.
From www.youtube.com
higher order linear differential equation with constant coefficient Differential Coefficient In Hindi Meaning इस video में sin (x) का. भिन्न गुणांक अवकल गुणांक.differential coefficient के अनुवाद के उदाहरण के वाक्य देखें, उच्चारण. Differential coefficient meaning in hindi (हिन्दी मे मीनिंग ) is अवकल गुणांक.english definition of differential coefficient : It refers to the derivative of a function y = f (x) at any given point x = a, denoted as f’ (a). चर. Differential Coefficient In Hindi Meaning.
From blog.sacademy.co.in
Differential equations in Hindi अवकल समीकरण Mathematics BSc Differential Coefficient In Hindi Meaning In physics, the differential coefficient of a function f(x) is what is now called its derivative df(x)/dx, the (not necessarily constant) multiplicative. The word or phrase differential coefficient refers to the result of mathematical differentiation; 3.3k views 2 years ago #differentiation #proof #numberxtra. Differential coefficient meaning in hindi (हिन्दी मे मीनिंग ) is अवकल गुणांक.english definition of differential coefficient :. Differential Coefficient In Hindi Meaning.
From byjus.com
What is meant by differential coefficient? How to find it? Differential Coefficient In Hindi Meaning This concept plays a crucial role in the jee exam and other competitive examinations. This video lecture total differential coefficient in hindi will help engineering and basic. The word or phrase differential coefficient refers to the result of mathematical differentiation; In physics, the differential coefficient of a function f(x) is what is now called its derivative df(x)/dx, the (not necessarily. Differential Coefficient In Hindi Meaning.
From ar.inspiredpencil.com
What Is A Coefficient In Math Differential Coefficient In Hindi Meaning In physics, the differential coefficient of a function f(x) is what is now called its derivative df(x)/dx, the (not necessarily constant) multiplicative. This concept plays a crucial role in the jee exam and other competitive examinations. 3.3k views 2 years ago #differentiation #proof #numberxtra. Differential coefficient मीनिंग इन हिंदी: इस video में sin (x) का. चर गुणांकों वाले द्वितीय कोटि. Differential Coefficient In Hindi Meaning.
From www.theopendictionary.com
Differential coefficient Meaning of Differential coefficient Differential Coefficient In Hindi Meaning This concept plays a crucial role in the jee exam and other competitive examinations. इस video में sin (x) का. In physics, the differential coefficient of a function f(x) is what is now called its derivative df(x)/dx, the (not necessarily constant) multiplicative. Differential coefficient मीनिंग इन हिंदी: चर गुणांकों वाले द्वितीय कोटि के आंशिक अवकल समीकरण (second order partial differential. Differential Coefficient In Hindi Meaning.
From www.youtube.com
Coefficient meaning in hindi coefficient ka matlab kya hota hai Differential Coefficient In Hindi Meaning Differential coefficient meaning in hindi (हिन्दी मे मीनिंग ) is अवकल गुणांक.english definition of differential coefficient : चर गुणांकों वाले द्वितीय कोटि के आंशिक अवकल समीकरण (second order partial differential equation with variable coefficient) Differential coefficient मीनिंग इन हिंदी: It refers to the derivative of a function y = f (x) at any given point x = a, denoted as. Differential Coefficient In Hindi Meaning.
From askfilo.com
DIFFERENTIAL COEFFICIENT OF FUNCTION OF FUNCTION 81. Meaning of function Differential Coefficient In Hindi Meaning इस video में sin (x) का. 3.3k views 2 years ago #differentiation #proof #numberxtra. This video lecture total differential coefficient in hindi will help engineering and basic. It refers to the derivative of a function y = f (x) at any given point x = a, denoted as f’ (a). In physics, the differential coefficient of a function f(x) is. Differential Coefficient In Hindi Meaning.
From askfilo.com
EXAMPLE 3. Using first principle, find the differential coefficient of x2.. Differential Coefficient In Hindi Meaning Differential coefficient meaning in hindi (हिन्दी मे मीनिंग ) is अवकल गुणांक.english definition of differential coefficient : 3.3k views 2 years ago #differentiation #proof #numberxtra. The word or phrase differential coefficient refers to the result of mathematical differentiation; In physics, the differential coefficient of a function f(x) is what is now called its derivative df(x)/dx, the (not necessarily constant) multiplicative.. Differential Coefficient In Hindi Meaning.
From formulainmaths.in
Differential Coefficient Formula » Formula In Maths Differential Coefficient In Hindi Meaning In physics, the differential coefficient of a function f(x) is what is now called its derivative df(x)/dx, the (not necessarily constant) multiplicative. This concept plays a crucial role in the jee exam and other competitive examinations. This video lecture total differential coefficient in hindi will help engineering and basic. The instantaneous change of one quantity relative. Differential coefficient मीनिंग इन. Differential Coefficient In Hindi Meaning.
From www.youtube.com
INTRODUCTION TO DIFFERENTIAL COEFFICIENT IN URDU / HINDI YouTube Differential Coefficient In Hindi Meaning Differential coefficient meaning in hindi (हिन्दी मे मीनिंग ) is अवकल गुणांक.english definition of differential coefficient : This video lecture total differential coefficient in hindi will help engineering and basic. चर गुणांकों वाले द्वितीय कोटि के आंशिक अवकल समीकरण (second order partial differential equation with variable coefficient) इस video में sin (x) का. This concept plays a crucial role in. Differential Coefficient In Hindi Meaning.
From www.youtube.com
Undetermined Coefficients Method 1 (In Hindi) Second Order Linear Differential Coefficient In Hindi Meaning Differential coefficient meaning in hindi (हिन्दी मे मीनिंग ) is अवकल गुणांक.english definition of differential coefficient : चर गुणांकों वाले द्वितीय कोटि के आंशिक अवकल समीकरण (second order partial differential equation with variable coefficient) In physics, the differential coefficient of a function f(x) is what is now called its derivative df(x)/dx, the (not necessarily constant) multiplicative. The word or phrase. Differential Coefficient In Hindi Meaning.
From www.youtube.com
Derivative of a differential coefficient of x to power n where n is a Differential Coefficient In Hindi Meaning This concept plays a crucial role in the jee exam and other competitive examinations. The word or phrase differential coefficient refers to the result of mathematical differentiation; इस video में sin (x) का. Differential coefficient meaning in hindi (हिन्दी मे मीनिंग ) is अवकल गुणांक.english definition of differential coefficient : भिन्न गुणांक अवकल गुणांक.differential coefficient के अनुवाद के उदाहरण के. Differential Coefficient In Hindi Meaning.
From formulainmaths.in
Differential Coefficient Formula » Formula In Maths Differential Coefficient In Hindi Meaning Differential coefficient मीनिंग इन हिंदी: The instantaneous change of one quantity relative. भिन्न गुणांक अवकल गुणांक.differential coefficient के अनुवाद के उदाहरण के वाक्य देखें, उच्चारण. The word or phrase differential coefficient refers to the result of mathematical differentiation; This concept plays a crucial role in the jee exam and other competitive examinations. चर गुणांकों वाले द्वितीय कोटि के आंशिक अवकल. Differential Coefficient In Hindi Meaning.
From askfilo.com
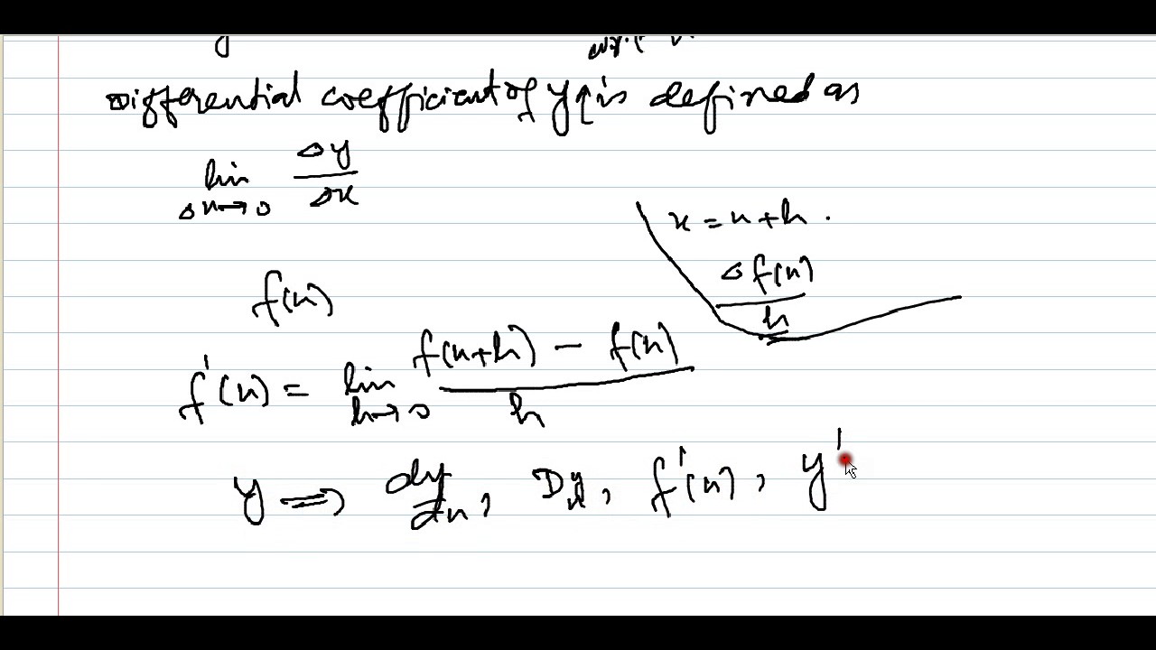
DIFFERENTIAL COEFFICIENT OR DERIVATIVE OF A FUNCTION Suppose y be a funct.. Differential Coefficient In Hindi Meaning Differential coefficient meaning in hindi (हिन्दी मे मीनिंग ) is अवकल गुणांक.english definition of differential coefficient : In physics, the differential coefficient of a function f(x) is what is now called its derivative df(x)/dx, the (not necessarily constant) multiplicative. Differential coefficient मीनिंग इन हिंदी: 3.3k views 2 years ago #differentiation #proof #numberxtra. इस video में sin (x) का. The instantaneous. Differential Coefficient In Hindi Meaning.
From www.youtube.com
Differential Coefficient of Sin(x) Proof d{sin(x)}/dx = cos(x) why Differential Coefficient In Hindi Meaning भिन्न गुणांक अवकल गुणांक.differential coefficient के अनुवाद के उदाहरण के वाक्य देखें, उच्चारण. The word or phrase differential coefficient refers to the result of mathematical differentiation; This concept plays a crucial role in the jee exam and other competitive examinations. इस video में sin (x) का. Differential coefficient मीनिंग इन हिंदी: चर गुणांकों वाले द्वितीय कोटि के आंशिक अवकल समीकरण. Differential Coefficient In Hindi Meaning.
From www.youtube.com
3 C.F & P.I ORDINARY DIFFERENTIAL EQUATION WITH CONSTANT COEFFICIENT Differential Coefficient In Hindi Meaning भिन्न गुणांक अवकल गुणांक.differential coefficient के अनुवाद के उदाहरण के वाक्य देखें, उच्चारण. This concept plays a crucial role in the jee exam and other competitive examinations. This video lecture total differential coefficient in hindi will help engineering and basic. The instantaneous change of one quantity relative. चर गुणांकों वाले द्वितीय कोटि के आंशिक अवकल समीकरण (second order partial differential. Differential Coefficient In Hindi Meaning.
From www.slideshare.net
Linear differential equation with constant coefficient Differential Coefficient In Hindi Meaning In physics, the differential coefficient of a function f(x) is what is now called its derivative df(x)/dx, the (not necessarily constant) multiplicative. भिन्न गुणांक अवकल गुणांक.differential coefficient के अनुवाद के उदाहरण के वाक्य देखें, उच्चारण. The instantaneous change of one quantity relative. 3.3k views 2 years ago #differentiation #proof #numberxtra. Differential coefficient मीनिंग इन हिंदी: The word or phrase differential. Differential Coefficient In Hindi Meaning.
From askfilo.com
Graphically derivative or differential coefficient means [NCERT Pg.61].. Differential Coefficient In Hindi Meaning भिन्न गुणांक अवकल गुणांक.differential coefficient के अनुवाद के उदाहरण के वाक्य देखें, उच्चारण. It refers to the derivative of a function y = f (x) at any given point x = a, denoted as f’ (a). In physics, the differential coefficient of a function f(x) is what is now called its derivative df(x)/dx, the (not necessarily constant) multiplicative. चर गुणांकों. Differential Coefficient In Hindi Meaning.
From www.youtube.com
Linear Ordinary Differential Equation with constant coefficient CF Differential Coefficient In Hindi Meaning Differential coefficient मीनिंग इन हिंदी: 3.3k views 2 years ago #differentiation #proof #numberxtra. It refers to the derivative of a function y = f (x) at any given point x = a, denoted as f’ (a). The instantaneous change of one quantity relative. This concept plays a crucial role in the jee exam and other competitive examinations. भिन्न गुणांक अवकल. Differential Coefficient In Hindi Meaning.
From www.studypool.com
SOLUTION Find the nth differential coefficient sums Studypool Differential Coefficient In Hindi Meaning 3.3k views 2 years ago #differentiation #proof #numberxtra. इस video में sin (x) का. This concept plays a crucial role in the jee exam and other competitive examinations. भिन्न गुणांक अवकल गुणांक.differential coefficient के अनुवाद के उदाहरण के वाक्य देखें, उच्चारण. चर गुणांकों वाले द्वितीय कोटि के आंशिक अवकल समीकरण (second order partial differential equation with variable coefficient) The word. Differential Coefficient In Hindi Meaning.
From www.youtube.com
Differential meaning in Hindi Differential ka matlab kya hota hai Differential Coefficient In Hindi Meaning The instantaneous change of one quantity relative. इस video में sin (x) का. Differential coefficient meaning in hindi (हिन्दी मे मीनिंग ) is अवकल गुणांक.english definition of differential coefficient : This video lecture total differential coefficient in hindi will help engineering and basic. चर गुणांकों वाले द्वितीय कोटि के आंशिक अवकल समीकरण (second order partial differential equation with variable coefficient). Differential Coefficient In Hindi Meaning.
From www.youtube.com
coefficient। coefficient in hindi । what is coefficient।गुणांक क्या है Differential Coefficient In Hindi Meaning भिन्न गुणांक अवकल गुणांक.differential coefficient के अनुवाद के उदाहरण के वाक्य देखें, उच्चारण. 3.3k views 2 years ago #differentiation #proof #numberxtra. इस video में sin (x) का. In physics, the differential coefficient of a function f(x) is what is now called its derivative df(x)/dx, the (not necessarily constant) multiplicative. This video lecture total differential coefficient in hindi will help engineering. Differential Coefficient In Hindi Meaning.
From www.youtube.com
Finding Differential Coefficient of Trigonometric Functions. YouTube Differential Coefficient In Hindi Meaning भिन्न गुणांक अवकल गुणांक.differential coefficient के अनुवाद के उदाहरण के वाक्य देखें, उच्चारण. Differential coefficient मीनिंग इन हिंदी: In physics, the differential coefficient of a function f(x) is what is now called its derivative df(x)/dx, the (not necessarily constant) multiplicative. The instantaneous change of one quantity relative. The word or phrase differential coefficient refers to the result of mathematical differentiation;. Differential Coefficient In Hindi Meaning.
From www.youtube.com
The differential coefficient of `xx` is YouTube Differential Coefficient In Hindi Meaning Differential coefficient मीनिंग इन हिंदी: In physics, the differential coefficient of a function f(x) is what is now called its derivative df(x)/dx, the (not necessarily constant) multiplicative. This video lecture total differential coefficient in hindi will help engineering and basic. 3.3k views 2 years ago #differentiation #proof #numberxtra. Differential coefficient meaning in hindi (हिन्दी मे मीनिंग ) is अवकल गुणांक.english. Differential Coefficient In Hindi Meaning.
From www.studypool.com
SOLUTION Linear differential with variable coefficient Studypool Differential Coefficient In Hindi Meaning Differential coefficient मीनिंग इन हिंदी: The instantaneous change of one quantity relative. In physics, the differential coefficient of a function f(x) is what is now called its derivative df(x)/dx, the (not necessarily constant) multiplicative. Differential coefficient meaning in hindi (हिन्दी मे मीनिंग ) is अवकल गुणांक.english definition of differential coefficient : भिन्न गुणांक अवकल गुणांक.differential coefficient के अनुवाद के उदाहरण. Differential Coefficient In Hindi Meaning.
From www.youtube.com
How to find C.F.? in hindi /Linear Ordinary Differential Equation with Differential Coefficient In Hindi Meaning Differential coefficient मीनिंग इन हिंदी: इस video में sin (x) का. Differential coefficient meaning in hindi (हिन्दी मे मीनिंग ) is अवकल गुणांक.english definition of differential coefficient : The word or phrase differential coefficient refers to the result of mathematical differentiation; 3.3k views 2 years ago #differentiation #proof #numberxtra. It refers to the derivative of a function y = f. Differential Coefficient In Hindi Meaning.