Hybridization Quiz . A multiple choice practice quiz on electron and molecular geometries, sp, sp2, sp3, sp3d, sp3d2 hybridization, bond angles, dipole moment, and. This online quiz is intended to give you extra practice in identifying the molecular and electron geometry of chemical compounds using vsepr. Moving charges and magnetism questions and answers. Which species does not have sp 3. Click the start quiz button to proceed. If you're behind a web filter, please. If you're seeing this message, it means we're having trouble loading external resources on our website. Lone pairs on heteroatoms are not. Identify the hybridization (sp, sp2, sp3) for each atom that has an arrow pointing towards it. Find other quizzes for chemistry and more on quizizz for free! Hybridization quiz for 10th grade students.
from www.collegesearch.in
If you're seeing this message, it means we're having trouble loading external resources on our website. If you're behind a web filter, please. Which species does not have sp 3. Lone pairs on heteroatoms are not. Moving charges and magnetism questions and answers. Identify the hybridization (sp, sp2, sp3) for each atom that has an arrow pointing towards it. Find other quizzes for chemistry and more on quizizz for free! Click the start quiz button to proceed. Hybridization quiz for 10th grade students. A multiple choice practice quiz on electron and molecular geometries, sp, sp2, sp3, sp3d, sp3d2 hybridization, bond angles, dipole moment, and.
Types of Hybridization Definitions, Examples, Key Features, Steps to
Hybridization Quiz This online quiz is intended to give you extra practice in identifying the molecular and electron geometry of chemical compounds using vsepr. Which species does not have sp 3. Identify the hybridization (sp, sp2, sp3) for each atom that has an arrow pointing towards it. Find other quizzes for chemistry and more on quizizz for free! Lone pairs on heteroatoms are not. If you're seeing this message, it means we're having trouble loading external resources on our website. Click the start quiz button to proceed. Moving charges and magnetism questions and answers. Hybridization quiz for 10th grade students. If you're behind a web filter, please. This online quiz is intended to give you extra practice in identifying the molecular and electron geometry of chemical compounds using vsepr. A multiple choice practice quiz on electron and molecular geometries, sp, sp2, sp3, sp3d, sp3d2 hybridization, bond angles, dipole moment, and.
From chemistrytalk.org
Hybridization and Hybrid Orbitals ChemTalk Hybridization Quiz Click the start quiz button to proceed. If you're seeing this message, it means we're having trouble loading external resources on our website. A multiple choice practice quiz on electron and molecular geometries, sp, sp2, sp3, sp3d, sp3d2 hybridization, bond angles, dipole moment, and. If you're behind a web filter, please. Identify the hybridization (sp, sp2, sp3) for each atom. Hybridization Quiz.
From www.masterorganicchemistry.com
How To Determine Hybridization A Shortcut Master Organic Chemistry Hybridization Quiz Moving charges and magnetism questions and answers. If you're behind a web filter, please. Identify the hybridization (sp, sp2, sp3) for each atom that has an arrow pointing towards it. This online quiz is intended to give you extra practice in identifying the molecular and electron geometry of chemical compounds using vsepr. Lone pairs on heteroatoms are not. Find other. Hybridization Quiz.
From slideplayer.com
Molecular Shapes/ Hybridization Quiz, Midterm Review ppt download Hybridization Quiz Moving charges and magnetism questions and answers. Lone pairs on heteroatoms are not. This online quiz is intended to give you extra practice in identifying the molecular and electron geometry of chemical compounds using vsepr. Find other quizzes for chemistry and more on quizizz for free! Hybridization quiz for 10th grade students. If you're seeing this message, it means we're. Hybridization Quiz.
From www.coursehero.com
[Solved] . Quiz 2A Predict hybridization of each atom (C, N, O) HO Hybridization Quiz Lone pairs on heteroatoms are not. Moving charges and magnetism questions and answers. Find other quizzes for chemistry and more on quizizz for free! Identify the hybridization (sp, sp2, sp3) for each atom that has an arrow pointing towards it. If you're behind a web filter, please. This online quiz is intended to give you extra practice in identifying the. Hybridization Quiz.
From www.purposegames.com
Label Hybridization shapes Quiz Hybridization Quiz Identify the hybridization (sp, sp2, sp3) for each atom that has an arrow pointing towards it. If you're behind a web filter, please. If you're seeing this message, it means we're having trouble loading external resources on our website. This online quiz is intended to give you extra practice in identifying the molecular and electron geometry of chemical compounds using. Hybridization Quiz.
From www.docsity.com
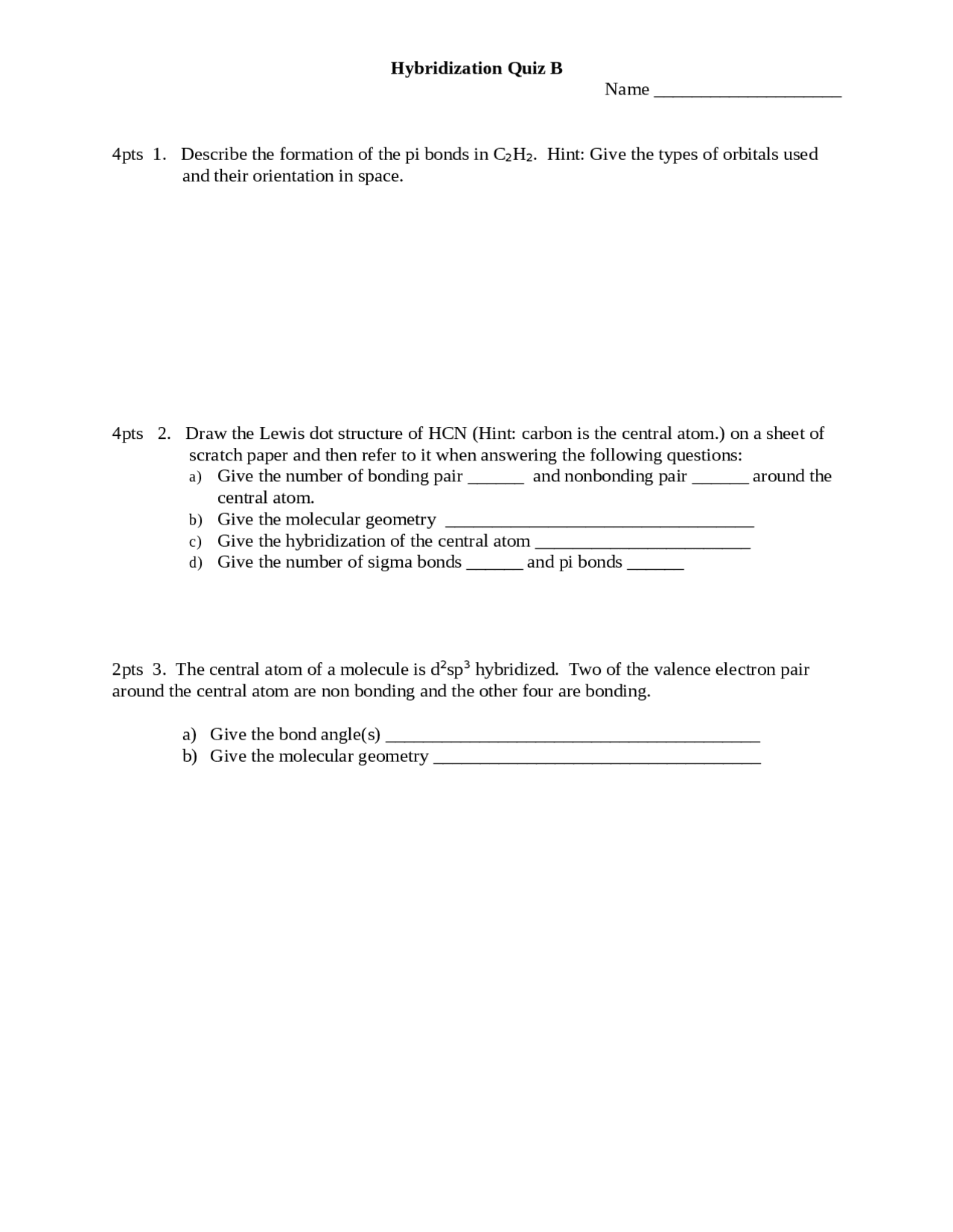
Hybridization Quiz B General Chemistry Lecture I CHEM 151 Docsity Hybridization Quiz Hybridization quiz for 10th grade students. Which species does not have sp 3. If you're behind a web filter, please. Find other quizzes for chemistry and more on quizizz for free! A multiple choice practice quiz on electron and molecular geometries, sp, sp2, sp3, sp3d, sp3d2 hybridization, bond angles, dipole moment, and. This online quiz is intended to give you. Hybridization Quiz.
From www.docsity.com
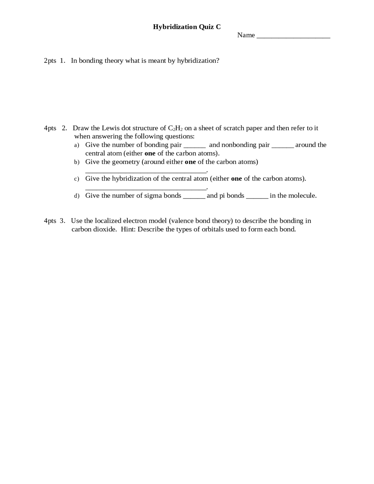
Hybridization Quiz C General Chemistry I CHEM 151 Docsity Hybridization Quiz If you're seeing this message, it means we're having trouble loading external resources on our website. Click the start quiz button to proceed. Moving charges and magnetism questions and answers. Which species does not have sp 3. Lone pairs on heteroatoms are not. Hybridization quiz for 10th grade students. A multiple choice practice quiz on electron and molecular geometries, sp,. Hybridization Quiz.
From www.purposegames.com
hybridization Quiz Hybridization Quiz Hybridization quiz for 10th grade students. This online quiz is intended to give you extra practice in identifying the molecular and electron geometry of chemical compounds using vsepr. Click the start quiz button to proceed. Moving charges and magnetism questions and answers. A multiple choice practice quiz on electron and molecular geometries, sp, sp2, sp3, sp3d, sp3d2 hybridization, bond angles,. Hybridization Quiz.
From chem.libretexts.org
Hybridization Chemistry LibreTexts Hybridization Quiz This online quiz is intended to give you extra practice in identifying the molecular and electron geometry of chemical compounds using vsepr. Find other quizzes for chemistry and more on quizizz for free! Which species does not have sp 3. Lone pairs on heteroatoms are not. A multiple choice practice quiz on electron and molecular geometries, sp, sp2, sp3, sp3d,. Hybridization Quiz.
From www.youtube.com
Quiz 1 KEY AcidBase Chemistry, Hybridization, pKa values, charge, and Hybridization Quiz Click the start quiz button to proceed. Find other quizzes for chemistry and more on quizizz for free! This online quiz is intended to give you extra practice in identifying the molecular and electron geometry of chemical compounds using vsepr. Which species does not have sp 3. If you're seeing this message, it means we're having trouble loading external resources. Hybridization Quiz.
From www.studypool.com
SOLUTION Hybridization quiz Studypool Hybridization Quiz Identify the hybridization (sp, sp2, sp3) for each atom that has an arrow pointing towards it. Which species does not have sp 3. A multiple choice practice quiz on electron and molecular geometries, sp, sp2, sp3, sp3d, sp3d2 hybridization, bond angles, dipole moment, and. Click the start quiz button to proceed. Find other quizzes for chemistry and more on quizizz. Hybridization Quiz.
From www.masterorganicchemistry.com
Bond Hybridization Practice Master Organic Chemistry Hybridization Quiz Hybridization quiz for 10th grade students. Which species does not have sp 3. Lone pairs on heteroatoms are not. If you're behind a web filter, please. Moving charges and magnetism questions and answers. Identify the hybridization (sp, sp2, sp3) for each atom that has an arrow pointing towards it. A multiple choice practice quiz on electron and molecular geometries, sp,. Hybridization Quiz.
From www.docsity.com
Lewis' Hybridization Structures Solved Quiz CHEM 211 Docsity Hybridization Quiz If you're seeing this message, it means we're having trouble loading external resources on our website. Hybridization quiz for 10th grade students. This online quiz is intended to give you extra practice in identifying the molecular and electron geometry of chemical compounds using vsepr. A multiple choice practice quiz on electron and molecular geometries, sp, sp2, sp3, sp3d, sp3d2 hybridization,. Hybridization Quiz.
From www.purposegames.com
Hybridization Quiz Hybridization Quiz This online quiz is intended to give you extra practice in identifying the molecular and electron geometry of chemical compounds using vsepr. A multiple choice practice quiz on electron and molecular geometries, sp, sp2, sp3, sp3d, sp3d2 hybridization, bond angles, dipole moment, and. If you're behind a web filter, please. Identify the hybridization (sp, sp2, sp3) for each atom that. Hybridization Quiz.
From www.masterorganicchemistry.com
How To Determine Hybridization A Shortcut Master Organic Chemistry Hybridization Quiz Which species does not have sp 3. Lone pairs on heteroatoms are not. If you're seeing this message, it means we're having trouble loading external resources on our website. Identify the hybridization (sp, sp2, sp3) for each atom that has an arrow pointing towards it. Click the start quiz button to proceed. Moving charges and magnetism questions and answers. A. Hybridization Quiz.
From www.geeksforgeeks.org
Hybridization Definition, Types, Rules, Examples Hybridization Quiz A multiple choice practice quiz on electron and molecular geometries, sp, sp2, sp3, sp3d, sp3d2 hybridization, bond angles, dipole moment, and. If you're behind a web filter, please. Lone pairs on heteroatoms are not. Moving charges and magnetism questions and answers. Which species does not have sp 3. Identify the hybridization (sp, sp2, sp3) for each atom that has an. Hybridization Quiz.
From www.youtube.com
Hybridization in Ethylene (Quiz) YouTube Hybridization Quiz This online quiz is intended to give you extra practice in identifying the molecular and electron geometry of chemical compounds using vsepr. A multiple choice practice quiz on electron and molecular geometries, sp, sp2, sp3, sp3d, sp3d2 hybridization, bond angles, dipole moment, and. Moving charges and magnetism questions and answers. Lone pairs on heteroatoms are not. Identify the hybridization (sp,. Hybridization Quiz.
From www.studocu.com
Quiz 11 Chapter 16 Hybridization, Southern Blot, Northern Blot, and Hybridization Quiz If you're seeing this message, it means we're having trouble loading external resources on our website. This online quiz is intended to give you extra practice in identifying the molecular and electron geometry of chemical compounds using vsepr. Moving charges and magnetism questions and answers. Find other quizzes for chemistry and more on quizizz for free! Identify the hybridization (sp,. Hybridization Quiz.
From www.signnow.com
Hybridization Worksheet with Answers PDF Complete with ease airSlate Hybridization Quiz Click the start quiz button to proceed. A multiple choice practice quiz on electron and molecular geometries, sp, sp2, sp3, sp3d, sp3d2 hybridization, bond angles, dipole moment, and. Lone pairs on heteroatoms are not. This online quiz is intended to give you extra practice in identifying the molecular and electron geometry of chemical compounds using vsepr. Find other quizzes for. Hybridization Quiz.
From orchidcharm.com
Achieving Successful Orchid Hybridization Quiz and Tips Hybridization Quiz Hybridization quiz for 10th grade students. Find other quizzes for chemistry and more on quizizz for free! A multiple choice practice quiz on electron and molecular geometries, sp, sp2, sp3, sp3d, sp3d2 hybridization, bond angles, dipole moment, and. This online quiz is intended to give you extra practice in identifying the molecular and electron geometry of chemical compounds using vsepr.. Hybridization Quiz.
From studylib.net
MULTIPLE CHOICE QUESTIONS of hybridization Hybridization Quiz Find other quizzes for chemistry and more on quizizz for free! If you're behind a web filter, please. Lone pairs on heteroatoms are not. This online quiz is intended to give you extra practice in identifying the molecular and electron geometry of chemical compounds using vsepr. Hybridization quiz for 10th grade students. Which species does not have sp 3. Moving. Hybridization Quiz.
From www.studypool.com
SOLUTION Orbital hybridization and molecular orbitals quiz Studypool Hybridization Quiz Hybridization quiz for 10th grade students. If you're behind a web filter, please. Which species does not have sp 3. Find other quizzes for chemistry and more on quizizz for free! Moving charges and magnetism questions and answers. If you're seeing this message, it means we're having trouble loading external resources on our website. Lone pairs on heteroatoms are not.. Hybridization Quiz.
From study.com
Quiz & Worksheet DNA Hybridization Hybridization Quiz If you're behind a web filter, please. Find other quizzes for chemistry and more on quizizz for free! This online quiz is intended to give you extra practice in identifying the molecular and electron geometry of chemical compounds using vsepr. Moving charges and magnetism questions and answers. Identify the hybridization (sp, sp2, sp3) for each atom that has an arrow. Hybridization Quiz.
From www.docsity.com
Hybridization Quiz A General Chemistry CHEM 151 Docsity Hybridization Quiz Which species does not have sp 3. Click the start quiz button to proceed. This online quiz is intended to give you extra practice in identifying the molecular and electron geometry of chemical compounds using vsepr. Find other quizzes for chemistry and more on quizizz for free! Lone pairs on heteroatoms are not. If you're seeing this message, it means. Hybridization Quiz.
From general.chemistrysteps.com
Geometry and Hybridization Quiz Chemistry Steps Hybridization Quiz A multiple choice practice quiz on electron and molecular geometries, sp, sp2, sp3, sp3d, sp3d2 hybridization, bond angles, dipole moment, and. Moving charges and magnetism questions and answers. This online quiz is intended to give you extra practice in identifying the molecular and electron geometry of chemical compounds using vsepr. If you're seeing this message, it means we're having trouble. Hybridization Quiz.
From www.youtube.com
Hybridization of Benzene (Quiz) YouTube Hybridization Quiz If you're seeing this message, it means we're having trouble loading external resources on our website. If you're behind a web filter, please. Hybridization quiz for 10th grade students. Click the start quiz button to proceed. This online quiz is intended to give you extra practice in identifying the molecular and electron geometry of chemical compounds using vsepr. Find other. Hybridization Quiz.
From www.youtube.com
PCI5 Hybridization (Quiz) YouTube Hybridization Quiz Click the start quiz button to proceed. This online quiz is intended to give you extra practice in identifying the molecular and electron geometry of chemical compounds using vsepr. Lone pairs on heteroatoms are not. Hybridization quiz for 10th grade students. Which species does not have sp 3. A multiple choice practice quiz on electron and molecular geometries, sp, sp2,. Hybridization Quiz.
From www.collegesearch.in
Types of Hybridization Definitions, Examples, Key Features, Steps to Hybridization Quiz Hybridization quiz for 10th grade students. Moving charges and magnetism questions and answers. This online quiz is intended to give you extra practice in identifying the molecular and electron geometry of chemical compounds using vsepr. Click the start quiz button to proceed. If you're seeing this message, it means we're having trouble loading external resources on our website. If you're. Hybridization Quiz.
From www.collegesearch.in
Types of Hybridization Definitions, Examples, Key Features, Steps to Hybridization Quiz Which species does not have sp 3. If you're seeing this message, it means we're having trouble loading external resources on our website. Hybridization quiz for 10th grade students. Click the start quiz button to proceed. Identify the hybridization (sp, sp2, sp3) for each atom that has an arrow pointing towards it. Lone pairs on heteroatoms are not. If you're. Hybridization Quiz.
From www.studypool.com
SOLUTION Orbital hybridization and molecular orbitals quiz Studypool Hybridization Quiz Identify the hybridization (sp, sp2, sp3) for each atom that has an arrow pointing towards it. Which species does not have sp 3. Lone pairs on heteroatoms are not. Find other quizzes for chemistry and more on quizizz for free! Moving charges and magnetism questions and answers. If you're seeing this message, it means we're having trouble loading external resources. Hybridization Quiz.
From www.studocu.com
Vsepr, Lewis and Hybridization Quiz Studocu Hybridization Quiz Click the start quiz button to proceed. If you're behind a web filter, please. This online quiz is intended to give you extra practice in identifying the molecular and electron geometry of chemical compounds using vsepr. If you're seeing this message, it means we're having trouble loading external resources on our website. Identify the hybridization (sp, sp2, sp3) for each. Hybridization Quiz.
From www.collegesearch.in
Types of Hybridization Definitions, Examples, Key Features, Steps to Hybridization Quiz Which species does not have sp 3. Hybridization quiz for 10th grade students. If you're behind a web filter, please. Lone pairs on heteroatoms are not. A multiple choice practice quiz on electron and molecular geometries, sp, sp2, sp3, sp3d, sp3d2 hybridization, bond angles, dipole moment, and. Find other quizzes for chemistry and more on quizizz for free! Moving charges. Hybridization Quiz.
From www.docsity.com
Hybridization, Bronsted Lowry Acid Quiz 1 CHEM 2310 Docsity Hybridization Quiz Moving charges and magnetism questions and answers. Click the start quiz button to proceed. Identify the hybridization (sp, sp2, sp3) for each atom that has an arrow pointing towards it. Hybridization quiz for 10th grade students. A multiple choice practice quiz on electron and molecular geometries, sp, sp2, sp3, sp3d, sp3d2 hybridization, bond angles, dipole moment, and. Find other quizzes. Hybridization Quiz.
From www.collegesearch.in
Types of Hybridization Definitions, Examples, Key Features, Steps to Hybridization Quiz Identify the hybridization (sp, sp2, sp3) for each atom that has an arrow pointing towards it. Which species does not have sp 3. If you're behind a web filter, please. Hybridization quiz for 10th grade students. Click the start quiz button to proceed. If you're seeing this message, it means we're having trouble loading external resources on our website. This. Hybridization Quiz.
From www.masterorganicchemistry.com
How To Determine Hybridization A Shortcut Master Organic Chemistry Hybridization Quiz Find other quizzes for chemistry and more on quizizz for free! Click the start quiz button to proceed. Hybridization quiz for 10th grade students. If you're behind a web filter, please. Moving charges and magnetism questions and answers. Lone pairs on heteroatoms are not. A multiple choice practice quiz on electron and molecular geometries, sp, sp2, sp3, sp3d, sp3d2 hybridization,. Hybridization Quiz.