Flywheel Rotation Direction . It’s working can be summarized and understand with the following physics equation: Whether ccw (standard) or cw (opposite) rotation, it is always defined as the direction of rotation when looking at the flywheel or output end of the engine…. Left hand, standard or ccw rotation. For electric start small engines, observing the starter motor’s movement, as it engages with the flywheel, can give a clear. A flywheel rotates such that it sweeps out an angle at the rate of [latex] \theta =\omega. Torque on axis of rotation = i.α. See how simple that is!! In which direction should a model steam engine flywheel rotate? For larger moments of inertia and. Rotation of a flywheel a flywheel rotates such that it sweeps out an angle at the rate of \(\theta\) = \(\omega\)t =. When the flywheel rotates around an axis other than the axis of rotation, a gyroscopic moment is generated.
from www.kprecisionllc.com
In which direction should a model steam engine flywheel rotate? Rotation of a flywheel a flywheel rotates such that it sweeps out an angle at the rate of \(\theta\) = \(\omega\)t =. When the flywheel rotates around an axis other than the axis of rotation, a gyroscopic moment is generated. For electric start small engines, observing the starter motor’s movement, as it engages with the flywheel, can give a clear. Torque on axis of rotation = i.α. It’s working can be summarized and understand with the following physics equation: For larger moments of inertia and. A flywheel rotates such that it sweeps out an angle at the rate of [latex] \theta =\omega. Left hand, standard or ccw rotation. See how simple that is!!
CCW / LH Rotation fly wheel
Flywheel Rotation Direction Rotation of a flywheel a flywheel rotates such that it sweeps out an angle at the rate of \(\theta\) = \(\omega\)t =. For electric start small engines, observing the starter motor’s movement, as it engages with the flywheel, can give a clear. Left hand, standard or ccw rotation. For larger moments of inertia and. Whether ccw (standard) or cw (opposite) rotation, it is always defined as the direction of rotation when looking at the flywheel or output end of the engine…. It’s working can be summarized and understand with the following physics equation: A flywheel rotates such that it sweeps out an angle at the rate of [latex] \theta =\omega. Torque on axis of rotation = i.α. In which direction should a model steam engine flywheel rotate? See how simple that is!! Rotation of a flywheel a flywheel rotates such that it sweeps out an angle at the rate of \(\theta\) = \(\omega\)t =. When the flywheel rotates around an axis other than the axis of rotation, a gyroscopic moment is generated.
From askfilo.com
A flywheel rotates with a uniform angular acceleration. Its angular veloc.. Flywheel Rotation Direction For larger moments of inertia and. It’s working can be summarized and understand with the following physics equation: Whether ccw (standard) or cw (opposite) rotation, it is always defined as the direction of rotation when looking at the flywheel or output end of the engine…. Left hand, standard or ccw rotation. Rotation of a flywheel a flywheel rotates such that. Flywheel Rotation Direction.
From www.slideserve.com
PPT Chapter 10 PowerPoint Presentation, free download ID155162 Flywheel Rotation Direction It’s working can be summarized and understand with the following physics equation: For larger moments of inertia and. Torque on axis of rotation = i.α. A flywheel rotates such that it sweeps out an angle at the rate of [latex] \theta =\omega. When the flywheel rotates around an axis other than the axis of rotation, a gyroscopic moment is generated.. Flywheel Rotation Direction.
From www.powerbeeengine.com
PVL Flywheel (Standard or Reverse Rotation) Flywheel Rotation Direction In which direction should a model steam engine flywheel rotate? Torque on axis of rotation = i.α. Whether ccw (standard) or cw (opposite) rotation, it is always defined as the direction of rotation when looking at the flywheel or output end of the engine…. Left hand, standard or ccw rotation. See how simple that is!! For larger moments of inertia. Flywheel Rotation Direction.
From www.chegg.com
Solved If the flywheel is rotating with an angular velocity Flywheel Rotation Direction Rotation of a flywheel a flywheel rotates such that it sweeps out an angle at the rate of \(\theta\) = \(\omega\)t =. Torque on axis of rotation = i.α. For larger moments of inertia and. See how simple that is!! Left hand, standard or ccw rotation. It’s working can be summarized and understand with the following physics equation: In which. Flywheel Rotation Direction.
From www.youtube.com
Small Block Chevy Flywheel Install YouTube Flywheel Rotation Direction Whether ccw (standard) or cw (opposite) rotation, it is always defined as the direction of rotation when looking at the flywheel or output end of the engine…. Rotation of a flywheel a flywheel rotates such that it sweeps out an angle at the rate of \(\theta\) = \(\omega\)t =. For larger moments of inertia and. A flywheel rotates such that. Flywheel Rotation Direction.
From www.youtube.com
A flywheel of diameter 1 m is rotating at 600 r.p.m., the acceleration Flywheel Rotation Direction Rotation of a flywheel a flywheel rotates such that it sweeps out an angle at the rate of \(\theta\) = \(\omega\)t =. Torque on axis of rotation = i.α. In which direction should a model steam engine flywheel rotate? When the flywheel rotates around an axis other than the axis of rotation, a gyroscopic moment is generated. Whether ccw (standard). Flywheel Rotation Direction.
From www.hcvc.com.au
Engine rotation Historic Commercial Vehicle Club of Australia Flywheel Rotation Direction For larger moments of inertia and. Left hand, standard or ccw rotation. It’s working can be summarized and understand with the following physics equation: For electric start small engines, observing the starter motor’s movement, as it engages with the flywheel, can give a clear. Whether ccw (standard) or cw (opposite) rotation, it is always defined as the direction of rotation. Flywheel Rotation Direction.
From fphoto.photoshelter.com
science physics newton's law angular momentum gyroscope Fundamental Flywheel Rotation Direction In which direction should a model steam engine flywheel rotate? Left hand, standard or ccw rotation. A flywheel rotates such that it sweeps out an angle at the rate of [latex] \theta =\omega. See how simple that is!! Torque on axis of rotation = i.α. It’s working can be summarized and understand with the following physics equation: Rotation of a. Flywheel Rotation Direction.
From edurev.in
A flywheel rotate about an axis due to friction proportional to its Flywheel Rotation Direction For larger moments of inertia and. Torque on axis of rotation = i.α. A flywheel rotates such that it sweeps out an angle at the rate of [latex] \theta =\omega. See how simple that is!! When the flywheel rotates around an axis other than the axis of rotation, a gyroscopic moment is generated. It’s working can be summarized and understand. Flywheel Rotation Direction.
From basicautomobile.blogspot.com
What is a Flywheel and How Does It Work? Basicautomobile Flywheel Rotation Direction It’s working can be summarized and understand with the following physics equation: In which direction should a model steam engine flywheel rotate? Left hand, standard or ccw rotation. Torque on axis of rotation = i.α. See how simple that is!! A flywheel rotates such that it sweeps out an angle at the rate of [latex] \theta =\omega. For electric start. Flywheel Rotation Direction.
From fphoto.photoshelter.com
science physics newton's law angular momentum gyroscope Fundamental Flywheel Rotation Direction Whether ccw (standard) or cw (opposite) rotation, it is always defined as the direction of rotation when looking at the flywheel or output end of the engine…. For electric start small engines, observing the starter motor’s movement, as it engages with the flywheel, can give a clear. In which direction should a model steam engine flywheel rotate? Torque on axis. Flywheel Rotation Direction.
From ceas.uc.edu
A Simple Flywheel Research Centers & Labs University Of Cincinnati Flywheel Rotation Direction Whether ccw (standard) or cw (opposite) rotation, it is always defined as the direction of rotation when looking at the flywheel or output end of the engine…. Left hand, standard or ccw rotation. Rotation of a flywheel a flywheel rotates such that it sweeps out an angle at the rate of \(\theta\) = \(\omega\)t =. A flywheel rotates such that. Flywheel Rotation Direction.
From www.numerade.com
SOLVED A flywheel gyroscope of mass M and radius R is spinning with a Flywheel Rotation Direction Left hand, standard or ccw rotation. It’s working can be summarized and understand with the following physics equation: When the flywheel rotates around an axis other than the axis of rotation, a gyroscopic moment is generated. For larger moments of inertia and. Torque on axis of rotation = i.α. Whether ccw (standard) or cw (opposite) rotation, it is always defined. Flywheel Rotation Direction.
From www.chegg.com
Solved The Flywheel Turns Clockwise With A Constant Speed... Flywheel Rotation Direction It’s working can be summarized and understand with the following physics equation: Whether ccw (standard) or cw (opposite) rotation, it is always defined as the direction of rotation when looking at the flywheel or output end of the engine…. When the flywheel rotates around an axis other than the axis of rotation, a gyroscopic moment is generated. A flywheel rotates. Flywheel Rotation Direction.
From www.alibaba.com
Multidirectional Exercise Isoinertial Body Fitness Gym Equipment Flywheel Rotation Direction When the flywheel rotates around an axis other than the axis of rotation, a gyroscopic moment is generated. For electric start small engines, observing the starter motor’s movement, as it engages with the flywheel, can give a clear. Torque on axis of rotation = i.α. Rotation of a flywheel a flywheel rotates such that it sweeps out an angle at. Flywheel Rotation Direction.
From www.numerade.com
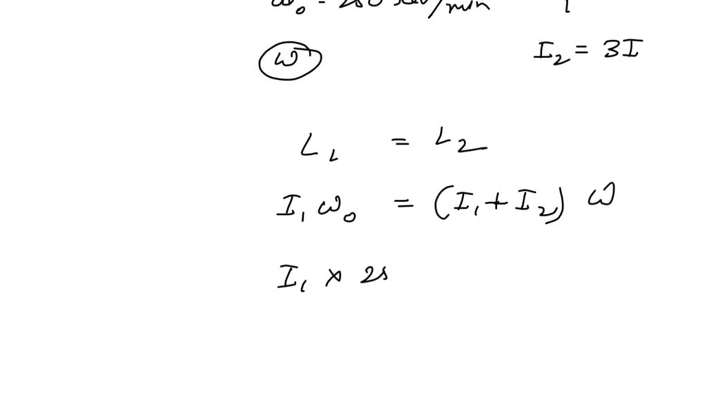
SOLVED A flywheel rotates without friction at an angular speed ω0 Flywheel Rotation Direction Left hand, standard or ccw rotation. For larger moments of inertia and. Whether ccw (standard) or cw (opposite) rotation, it is always defined as the direction of rotation when looking at the flywheel or output end of the engine…. Rotation of a flywheel a flywheel rotates such that it sweeps out an angle at the rate of \(\theta\) = \(\omega\)t. Flywheel Rotation Direction.
From www.researchgate.net
Engine rotating parts Download Scientific Diagram Flywheel Rotation Direction In which direction should a model steam engine flywheel rotate? See how simple that is!! When the flywheel rotates around an axis other than the axis of rotation, a gyroscopic moment is generated. Torque on axis of rotation = i.α. A flywheel rotates such that it sweeps out an angle at the rate of [latex] \theta =\omega. Rotation of a. Flywheel Rotation Direction.
From www.sbmar.com
Understanding SAE Bellhousing and Flywheel Measurements Seaboard Marine Flywheel Rotation Direction Torque on axis of rotation = i.α. It’s working can be summarized and understand with the following physics equation: Rotation of a flywheel a flywheel rotates such that it sweeps out an angle at the rate of \(\theta\) = \(\omega\)t =. When the flywheel rotates around an axis other than the axis of rotation, a gyroscopic moment is generated. For. Flywheel Rotation Direction.
From www.scribd.com
Flywheel PDF Rotation Around A Fixed Axis Rotation Flywheel Rotation Direction In which direction should a model steam engine flywheel rotate? It’s working can be summarized and understand with the following physics equation: For electric start small engines, observing the starter motor’s movement, as it engages with the flywheel, can give a clear. When the flywheel rotates around an axis other than the axis of rotation, a gyroscopic moment is generated.. Flywheel Rotation Direction.
From www.bartleby.com
Answered Circular motion of flywheel axis… bartleby Flywheel Rotation Direction For electric start small engines, observing the starter motor’s movement, as it engages with the flywheel, can give a clear. In which direction should a model steam engine flywheel rotate? Whether ccw (standard) or cw (opposite) rotation, it is always defined as the direction of rotation when looking at the flywheel or output end of the engine…. When the flywheel. Flywheel Rotation Direction.
From www.sbmar.com
Understanding SAE Bellhousing and Flywheel Measurements Seaboard Marine Flywheel Rotation Direction Torque on axis of rotation = i.α. When the flywheel rotates around an axis other than the axis of rotation, a gyroscopic moment is generated. In which direction should a model steam engine flywheel rotate? Rotation of a flywheel a flywheel rotates such that it sweeps out an angle at the rate of \(\theta\) = \(\omega\)t =. It’s working can. Flywheel Rotation Direction.
From www.kprecisionllc.com
CCW / LH Rotation fly wheel Flywheel Rotation Direction Whether ccw (standard) or cw (opposite) rotation, it is always defined as the direction of rotation when looking at the flywheel or output end of the engine…. For larger moments of inertia and. Torque on axis of rotation = i.α. When the flywheel rotates around an axis other than the axis of rotation, a gyroscopic moment is generated. Left hand,. Flywheel Rotation Direction.
From www.youtube.com
Simulation of Flywheel in Ansys Flywheel Rotation in Engine Flywheel Rotation Direction In which direction should a model steam engine flywheel rotate? Whether ccw (standard) or cw (opposite) rotation, it is always defined as the direction of rotation when looking at the flywheel or output end of the engine…. Rotation of a flywheel a flywheel rotates such that it sweeps out an angle at the rate of \(\theta\) = \(\omega\)t =. Left. Flywheel Rotation Direction.
From www.chegg.com
Solved The flywheel rotates with an angular velocity of ? = Flywheel Rotation Direction For electric start small engines, observing the starter motor’s movement, as it engages with the flywheel, can give a clear. In which direction should a model steam engine flywheel rotate? Left hand, standard or ccw rotation. For larger moments of inertia and. It’s working can be summarized and understand with the following physics equation: Torque on axis of rotation =. Flywheel Rotation Direction.
From www.scribd.com
Flywheel Rotation Around A Fixed Axis Torque Flywheel Rotation Direction Torque on axis of rotation = i.α. It’s working can be summarized and understand with the following physics equation: In which direction should a model steam engine flywheel rotate? For electric start small engines, observing the starter motor’s movement, as it engages with the flywheel, can give a clear. Rotation of a flywheel a flywheel rotates such that it sweeps. Flywheel Rotation Direction.
From www.powerbeeengine.com
PVL Flywheel (Standard or Reverse Rotation) Flywheel Rotation Direction When the flywheel rotates around an axis other than the axis of rotation, a gyroscopic moment is generated. In which direction should a model steam engine flywheel rotate? Rotation of a flywheel a flywheel rotates such that it sweeps out an angle at the rate of \(\theta\) = \(\omega\)t =. It’s working can be summarized and understand with the following. Flywheel Rotation Direction.
From www.fluidpowerworld.com
Hydraulic symbology 206 motors and actuators Flywheel Rotation Direction A flywheel rotates such that it sweeps out an angle at the rate of [latex] \theta =\omega. Whether ccw (standard) or cw (opposite) rotation, it is always defined as the direction of rotation when looking at the flywheel or output end of the engine…. Left hand, standard or ccw rotation. When the flywheel rotates around an axis other than the. Flywheel Rotation Direction.
From www.finuse.ru
Janome Overlocker Sewing Machine Tips for Choosing and Using a Serger Flywheel Rotation Direction Torque on axis of rotation = i.α. Left hand, standard or ccw rotation. A flywheel rotates such that it sweeps out an angle at the rate of [latex] \theta =\omega. Rotation of a flywheel a flywheel rotates such that it sweeps out an angle at the rate of \(\theta\) = \(\omega\)t =. For electric start small engines, observing the starter. Flywheel Rotation Direction.
From www.semanticscholar.org
Directional Torque Perception with Brief, Asymmetric Net Rotation of a Flywheel Rotation Direction When the flywheel rotates around an axis other than the axis of rotation, a gyroscopic moment is generated. Whether ccw (standard) or cw (opposite) rotation, it is always defined as the direction of rotation when looking at the flywheel or output end of the engine…. In which direction should a model steam engine flywheel rotate? Rotation of a flywheel a. Flywheel Rotation Direction.
From cometkartsales.com
US820 Stock Flywheel CCW Rotation West Bend US820, 580700 Engine Flywheel Rotation Direction For larger moments of inertia and. Whether ccw (standard) or cw (opposite) rotation, it is always defined as the direction of rotation when looking at the flywheel or output end of the engine…. Torque on axis of rotation = i.α. Left hand, standard or ccw rotation. Rotation of a flywheel a flywheel rotates such that it sweeps out an angle. Flywheel Rotation Direction.
From www.youtube.com
The flywheel of an engine has moment of inertia 1.60kg • m^2 about its Flywheel Rotation Direction For electric start small engines, observing the starter motor’s movement, as it engages with the flywheel, can give a clear. Whether ccw (standard) or cw (opposite) rotation, it is always defined as the direction of rotation when looking at the flywheel or output end of the engine…. For larger moments of inertia and. Rotation of a flywheel a flywheel rotates. Flywheel Rotation Direction.
From www.youtube.com
Balancing Rotating masses flywheels rotors Impellers with IPhone Flywheel Rotation Direction Left hand, standard or ccw rotation. Rotation of a flywheel a flywheel rotates such that it sweeps out an angle at the rate of \(\theta\) = \(\omega\)t =. A flywheel rotates such that it sweeps out an angle at the rate of [latex] \theta =\omega. In which direction should a model steam engine flywheel rotate? For electric start small engines,. Flywheel Rotation Direction.
From richardjswainxo.blob.core.windows.net
Flywheel For Car Hs Code Flywheel Rotation Direction Left hand, standard or ccw rotation. Rotation of a flywheel a flywheel rotates such that it sweeps out an angle at the rate of \(\theta\) = \(\omega\)t =. See how simple that is!! Torque on axis of rotation = i.α. When the flywheel rotates around an axis other than the axis of rotation, a gyroscopic moment is generated. For larger. Flywheel Rotation Direction.
From fphoto.photoshelter.com
science physics newton's law angular momentum gyroscope Fundamental Flywheel Rotation Direction In which direction should a model steam engine flywheel rotate? For larger moments of inertia and. A flywheel rotates such that it sweeps out an angle at the rate of [latex] \theta =\omega. It’s working can be summarized and understand with the following physics equation: Rotation of a flywheel a flywheel rotates such that it sweeps out an angle at. Flywheel Rotation Direction.
From www.numerade.com
SOLVED The elliptical exercise machine has fixed axes of rotation at Flywheel Rotation Direction In which direction should a model steam engine flywheel rotate? For larger moments of inertia and. See how simple that is!! For electric start small engines, observing the starter motor’s movement, as it engages with the flywheel, can give a clear. Left hand, standard or ccw rotation. Rotation of a flywheel a flywheel rotates such that it sweeps out an. Flywheel Rotation Direction.