Directions To River Crossing . Find local businesses, view maps and get driving directions in google maps. Find nearby businesses, restaurants and hotels. Keep your eyes on the far bank, don’t look down into the water. Crossing a river or stream while hiking or backpacking is a challenge with inherent risk. However, with the right gear, preparation,. Easily add multiple stops, see live traffic and road conditions. Official mapquest website, find driving directions, maps, live traffic updates and road conditions. So the next time you need to know how to cross a river, here are few things you should (and shouldn’t) do to stay safe. Shibuya crossing is a world famous and iconic intersection in shibuya, tokyo. Step by step directions for your drive or walk. Walk diagonally downstream facing the current. The scramble is famous for being the busiest.
from www.alamy.com
Find nearby businesses, restaurants and hotels. Walk diagonally downstream facing the current. Step by step directions for your drive or walk. Find local businesses, view maps and get driving directions in google maps. Easily add multiple stops, see live traffic and road conditions. Shibuya crossing is a world famous and iconic intersection in shibuya, tokyo. So the next time you need to know how to cross a river, here are few things you should (and shouldn’t) do to stay safe. Keep your eyes on the far bank, don’t look down into the water. The scramble is famous for being the busiest. Official mapquest website, find driving directions, maps, live traffic updates and road conditions.
Three way traffic. Two directions of traffic using Dartford River
Directions To River Crossing Shibuya crossing is a world famous and iconic intersection in shibuya, tokyo. Official mapquest website, find driving directions, maps, live traffic updates and road conditions. Keep your eyes on the far bank, don’t look down into the water. The scramble is famous for being the busiest. However, with the right gear, preparation,. Step by step directions for your drive or walk. Crossing a river or stream while hiking or backpacking is a challenge with inherent risk. So the next time you need to know how to cross a river, here are few things you should (and shouldn’t) do to stay safe. Easily add multiple stops, see live traffic and road conditions. Walk diagonally downstream facing the current. Shibuya crossing is a world famous and iconic intersection in shibuya, tokyo. Find nearby businesses, restaurants and hotels. Find local businesses, view maps and get driving directions in google maps.
From www.thinkfun.com
River Crossing® Thinkfun Directions To River Crossing Keep your eyes on the far bank, don’t look down into the water. However, with the right gear, preparation,. Easily add multiple stops, see live traffic and road conditions. Step by step directions for your drive or walk. Find nearby businesses, restaurants and hotels. Walk diagonally downstream facing the current. Crossing a river or stream while hiking or backpacking is. Directions To River Crossing.
From truewaykids.com
Games Archives Trueway Kids Directions To River Crossing Find local businesses, view maps and get driving directions in google maps. However, with the right gear, preparation,. Easily add multiple stops, see live traffic and road conditions. Crossing a river or stream while hiking or backpacking is a challenge with inherent risk. So the next time you need to know how to cross a river, here are few things. Directions To River Crossing.
From teviscup.org
River Crossing The Tevis Cup Directions To River Crossing The scramble is famous for being the busiest. Keep your eyes on the far bank, don’t look down into the water. Crossing a river or stream while hiking or backpacking is a challenge with inherent risk. Official mapquest website, find driving directions, maps, live traffic updates and road conditions. Find local businesses, view maps and get driving directions in google. Directions To River Crossing.
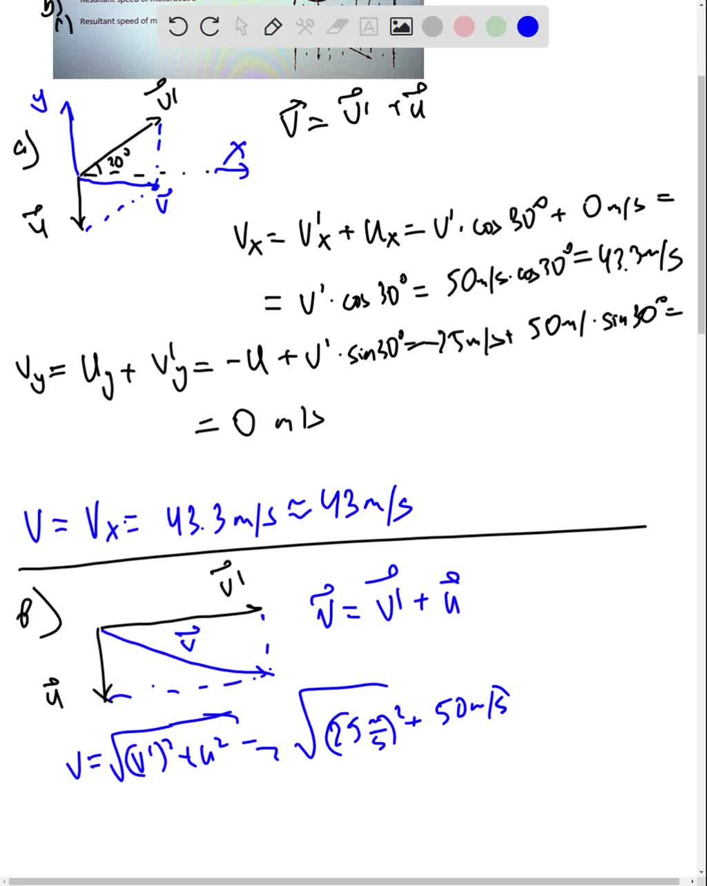
From www.numerade.com
SOLVED The diagram shows the top view of three motorboats crossing Directions To River Crossing So the next time you need to know how to cross a river, here are few things you should (and shouldn’t) do to stay safe. The scramble is famous for being the busiest. Keep your eyes on the far bank, don’t look down into the water. Easily add multiple stops, see live traffic and road conditions. Shibuya crossing is a. Directions To River Crossing.
From www.freakouts.com
River Crossing Freakouts Adventures Directions To River Crossing Crossing a river or stream while hiking or backpacking is a challenge with inherent risk. Find local businesses, view maps and get driving directions in google maps. Shibuya crossing is a world famous and iconic intersection in shibuya, tokyo. Official mapquest website, find driving directions, maps, live traffic updates and road conditions. Keep your eyes on the far bank, don’t. Directions To River Crossing.
From www.victoriana.com
Öffner Handelshochschule Schätzen river crossing puzzle solution Dorf Directions To River Crossing However, with the right gear, preparation,. Official mapquest website, find driving directions, maps, live traffic updates and road conditions. Crossing a river or stream while hiking or backpacking is a challenge with inherent risk. Find local businesses, view maps and get driving directions in google maps. Walk diagonally downstream facing the current. Find nearby businesses, restaurants and hotels. Easily add. Directions To River Crossing.
From www.capewrathultra.com
Guidance on river crossings for participants — Cape Wrath Ultra® Directions To River Crossing So the next time you need to know how to cross a river, here are few things you should (and shouldn’t) do to stay safe. The scramble is famous for being the busiest. Find local businesses, view maps and get driving directions in google maps. Shibuya crossing is a world famous and iconic intersection in shibuya, tokyo. Easily add multiple. Directions To River Crossing.
From canberrabushwalkingclub.mybilby.com
River Crossing Training now fully booked, waitlisting Sun 26t... Directions To River Crossing Find nearby businesses, restaurants and hotels. Keep your eyes on the far bank, don’t look down into the water. Walk diagonally downstream facing the current. Official mapquest website, find driving directions, maps, live traffic updates and road conditions. Step by step directions for your drive or walk. However, with the right gear, preparation,. Crossing a river or stream while hiking. Directions To River Crossing.
From www.oenz.co.nz
River Crossing Courses OENZ Outdoor Education New Zealand Directions To River Crossing Step by step directions for your drive or walk. Official mapquest website, find driving directions, maps, live traffic updates and road conditions. So the next time you need to know how to cross a river, here are few things you should (and shouldn’t) do to stay safe. Find nearby businesses, restaurants and hotels. Crossing a river or stream while hiking. Directions To River Crossing.
From www.youtube.com
Boats Crossing River The river crossing Riddle How much time is Directions To River Crossing Official mapquest website, find driving directions, maps, live traffic updates and road conditions. Keep your eyes on the far bank, don’t look down into the water. Crossing a river or stream while hiking or backpacking is a challenge with inherent risk. Walk diagonally downstream facing the current. The scramble is famous for being the busiest. However, with the right gear,. Directions To River Crossing.
From capewrathultra.squarespace.com
Guidance on river crossings for participants — Cape Wrath Ultra® Directions To River Crossing Walk diagonally downstream facing the current. Easily add multiple stops, see live traffic and road conditions. Find nearby businesses, restaurants and hotels. However, with the right gear, preparation,. The scramble is famous for being the busiest. So the next time you need to know how to cross a river, here are few things you should (and shouldn’t) do to stay. Directions To River Crossing.
From en.islcollective.com
A River Crossing Puzzle general voca… English ESL worksheets pdf & doc Directions To River Crossing Keep your eyes on the far bank, don’t look down into the water. Find nearby businesses, restaurants and hotels. Official mapquest website, find driving directions, maps, live traffic updates and road conditions. Easily add multiple stops, see live traffic and road conditions. So the next time you need to know how to cross a river, here are few things you. Directions To River Crossing.
From www.manminchurch.se
etc colaborator Cardinal river crossing puzzle şcoală Susteen Între Directions To River Crossing Shibuya crossing is a world famous and iconic intersection in shibuya, tokyo. Find local businesses, view maps and get driving directions in google maps. Easily add multiple stops, see live traffic and road conditions. Crossing a river or stream while hiking or backpacking is a challenge with inherent risk. Keep your eyes on the far bank, don’t look down into. Directions To River Crossing.
From i69ohiorivercrossing.com
Section 1 Kentucky I69 Ohio River Crossing Directions To River Crossing Find local businesses, view maps and get driving directions in google maps. Find nearby businesses, restaurants and hotels. Shibuya crossing is a world famous and iconic intersection in shibuya, tokyo. Easily add multiple stops, see live traffic and road conditions. Crossing a river or stream while hiking or backpacking is a challenge with inherent risk. Step by step directions for. Directions To River Crossing.
From www.reddit.com
[OC][Art] River Crossing Battlemap r/DnD Directions To River Crossing Find local businesses, view maps and get driving directions in google maps. Keep your eyes on the far bank, don’t look down into the water. However, with the right gear, preparation,. Find nearby businesses, restaurants and hotels. Walk diagonally downstream facing the current. Easily add multiple stops, see live traffic and road conditions. So the next time you need to. Directions To River Crossing.
From www.alamy.com
Three way traffic. Two directions of traffic using Dartford River Directions To River Crossing Walk diagonally downstream facing the current. The scramble is famous for being the busiest. Keep your eyes on the far bank, don’t look down into the water. Official mapquest website, find driving directions, maps, live traffic updates and road conditions. Shibuya crossing is a world famous and iconic intersection in shibuya, tokyo. Step by step directions for your drive or. Directions To River Crossing.
From i69ohiorivercrossing.com
Lane Closures on US 41 to Prepare for Traffic Shift I69 Ohio River Directions To River Crossing The scramble is famous for being the busiest. So the next time you need to know how to cross a river, here are few things you should (and shouldn’t) do to stay safe. Keep your eyes on the far bank, don’t look down into the water. Step by step directions for your drive or walk. Find nearby businesses, restaurants and. Directions To River Crossing.
From www.trawell.in
River Crossing, Dandeli Timings, Accessibility, Best Time to Visit Directions To River Crossing Step by step directions for your drive or walk. Walk diagonally downstream facing the current. So the next time you need to know how to cross a river, here are few things you should (and shouldn’t) do to stay safe. Keep your eyes on the far bank, don’t look down into the water. Official mapquest website, find driving directions, maps,. Directions To River Crossing.
From www.alamy.com
Three way traffic. Two directions of traffic using Dartford River Directions To River Crossing Find local businesses, view maps and get driving directions in google maps. Crossing a river or stream while hiking or backpacking is a challenge with inherent risk. Shibuya crossing is a world famous and iconic intersection in shibuya, tokyo. So the next time you need to know how to cross a river, here are few things you should (and shouldn’t). Directions To River Crossing.
From www.deviantart.com
DnD Map River Crossing by oixxo on DeviantArt Directions To River Crossing The scramble is famous for being the busiest. Step by step directions for your drive or walk. However, with the right gear, preparation,. Easily add multiple stops, see live traffic and road conditions. Find nearby businesses, restaurants and hotels. Find local businesses, view maps and get driving directions in google maps. Official mapquest website, find driving directions, maps, live traffic. Directions To River Crossing.
From www.ausa.org
Mind the RiverCrossing Gap AUSA Directions To River Crossing So the next time you need to know how to cross a river, here are few things you should (and shouldn’t) do to stay safe. However, with the right gear, preparation,. Walk diagonally downstream facing the current. Crossing a river or stream while hiking or backpacking is a challenge with inherent risk. Keep your eyes on the far bank, don’t. Directions To River Crossing.
From www.youtube.com
Boat Crossing a River Problems YouTube Directions To River Crossing Crossing a river or stream while hiking or backpacking is a challenge with inherent risk. Find local businesses, view maps and get driving directions in google maps. Find nearby businesses, restaurants and hotels. Walk diagonally downstream facing the current. Official mapquest website, find driving directions, maps, live traffic updates and road conditions. Step by step directions for your drive or. Directions To River Crossing.
From www.alamy.com
Three way traffic. Two directions of traffic using Dartford River Directions To River Crossing So the next time you need to know how to cross a river, here are few things you should (and shouldn’t) do to stay safe. Step by step directions for your drive or walk. However, with the right gear, preparation,. Easily add multiple stops, see live traffic and road conditions. Official mapquest website, find driving directions, maps, live traffic updates. Directions To River Crossing.
From www.deviantart.com
Old River Crossing Battle Map by Hassly on DeviantArt Directions To River Crossing Step by step directions for your drive or walk. Official mapquest website, find driving directions, maps, live traffic updates and road conditions. Keep your eyes on the far bank, don’t look down into the water. Shibuya crossing is a world famous and iconic intersection in shibuya, tokyo. So the next time you need to know how to cross a river,. Directions To River Crossing.
From www.mountaineering.scot
River crossings Mountaineering Scotland Directions To River Crossing The scramble is famous for being the busiest. Find nearby businesses, restaurants and hotels. Official mapquest website, find driving directions, maps, live traffic updates and road conditions. Keep your eyes on the far bank, don’t look down into the water. However, with the right gear, preparation,. So the next time you need to know how to cross a river, here. Directions To River Crossing.
From www.chegg.com
Solved 46. Here we see top views of three motorboats Directions To River Crossing Step by step directions for your drive or walk. Crossing a river or stream while hiking or backpacking is a challenge with inherent risk. Walk diagonally downstream facing the current. Keep your eyes on the far bank, don’t look down into the water. Find nearby businesses, restaurants and hotels. Easily add multiple stops, see live traffic and road conditions. The. Directions To River Crossing.
From www.capewrathultra.com
Guidance on river crossings for participants — Cape Wrath Ultra® Directions To River Crossing Easily add multiple stops, see live traffic and road conditions. Walk diagonally downstream facing the current. Shibuya crossing is a world famous and iconic intersection in shibuya, tokyo. Keep your eyes on the far bank, don’t look down into the water. Crossing a river or stream while hiking or backpacking is a challenge with inherent risk. However, with the right. Directions To River Crossing.
From www.rivercrossingatkeystone.com
River Crossing at Keystone Apartments Quality Apartments, IN 46240 Directions To River Crossing Shibuya crossing is a world famous and iconic intersection in shibuya, tokyo. Walk diagonally downstream facing the current. Easily add multiple stops, see live traffic and road conditions. So the next time you need to know how to cross a river, here are few things you should (and shouldn’t) do to stay safe. Keep your eyes on the far bank,. Directions To River Crossing.
From capewrathultra.squarespace.com
Guidance on river crossings for participants — Cape Wrath Ultra® Directions To River Crossing So the next time you need to know how to cross a river, here are few things you should (and shouldn’t) do to stay safe. Easily add multiple stops, see live traffic and road conditions. Shibuya crossing is a world famous and iconic intersection in shibuya, tokyo. Keep your eyes on the far bank, don’t look down into the water.. Directions To River Crossing.
From www.alamy.com
Three way traffic. Two directions of traffic using Dartford River Directions To River Crossing Crossing a river or stream while hiking or backpacking is a challenge with inherent risk. Shibuya crossing is a world famous and iconic intersection in shibuya, tokyo. The scramble is famous for being the busiest. Step by step directions for your drive or walk. However, with the right gear, preparation,. Find nearby businesses, restaurants and hotels. Walk diagonally downstream facing. Directions To River Crossing.
From mattbell.org
River crossing Directions To River Crossing Shibuya crossing is a world famous and iconic intersection in shibuya, tokyo. Easily add multiple stops, see live traffic and road conditions. Keep your eyes on the far bank, don’t look down into the water. Official mapquest website, find driving directions, maps, live traffic updates and road conditions. Find nearby businesses, restaurants and hotels. Step by step directions for your. Directions To River Crossing.
From www.pinterest.com
River Crossing Puzzle Raft limit 100 kg puzzle River, Fun puzzles Directions To River Crossing Keep your eyes on the far bank, don’t look down into the water. The scramble is famous for being the busiest. Find local businesses, view maps and get driving directions in google maps. Easily add multiple stops, see live traffic and road conditions. Find nearby businesses, restaurants and hotels. Official mapquest website, find driving directions, maps, live traffic updates and. Directions To River Crossing.
From www.leadstrat.com
Leadership Strategies » Blog Archive Team Building Activity "Crossing Directions To River Crossing Step by step directions for your drive or walk. Shibuya crossing is a world famous and iconic intersection in shibuya, tokyo. So the next time you need to know how to cross a river, here are few things you should (and shouldn’t) do to stay safe. The scramble is famous for being the busiest. However, with the right gear, preparation,.. Directions To River Crossing.
From www.alamy.com
Three way traffic. Two directions of traffic using Dartford River Directions To River Crossing Keep your eyes on the far bank, don’t look down into the water. Crossing a river or stream while hiking or backpacking is a challenge with inherent risk. Easily add multiple stops, see live traffic and road conditions. So the next time you need to know how to cross a river, here are few things you should (and shouldn’t) do. Directions To River Crossing.
From donsteward.blogspot.com
MEDIAN Don Steward mathematics teaching river crossing Directions To River Crossing So the next time you need to know how to cross a river, here are few things you should (and shouldn’t) do to stay safe. Walk diagonally downstream facing the current. However, with the right gear, preparation,. Crossing a river or stream while hiking or backpacking is a challenge with inherent risk. Keep your eyes on the far bank, don’t. Directions To River Crossing.